Номер 24, страница 137 - гдз по алгебре 11 класс сборник задач Арефьева, Пирютко

Алгебра, 11 класс Сборник задач, авторы: Арефьева Ирина Глебовна, Пирютко Ольга Николаевна, издательство Народная асвета, Минск, 2020, белого цвета

Авторы: Арефьева И. Г., Пирютко О. Н.

Тип: Сборник задач

Издательство: Народная асвета

Год издания: 2020 - 2026

Уровень обучения: базовый и повышенный

Цвет обложки: белый с графиком

Допущено Министерством образования Республики Беларусь

Популярные ГДЗ в 11 классе

Глава 4. Системы уравнений и неравенств. Параграф 14. Задачи с параметрами. Линейные уравнения с параметрами - номер 24, страница 137.

№24 (с. 137)
Условие. №24 (с. 137)
скриншот условия
Алгебра, 11 класс Сборник задач, авторы: Арефьева Ирина Глебовна, Пирютко Ольга Николаевна, издательство Народная асвета, Минск, 2020, белого цвета, страница 137, номер 24, Условие

14.24. Решите относительно x уравнение:

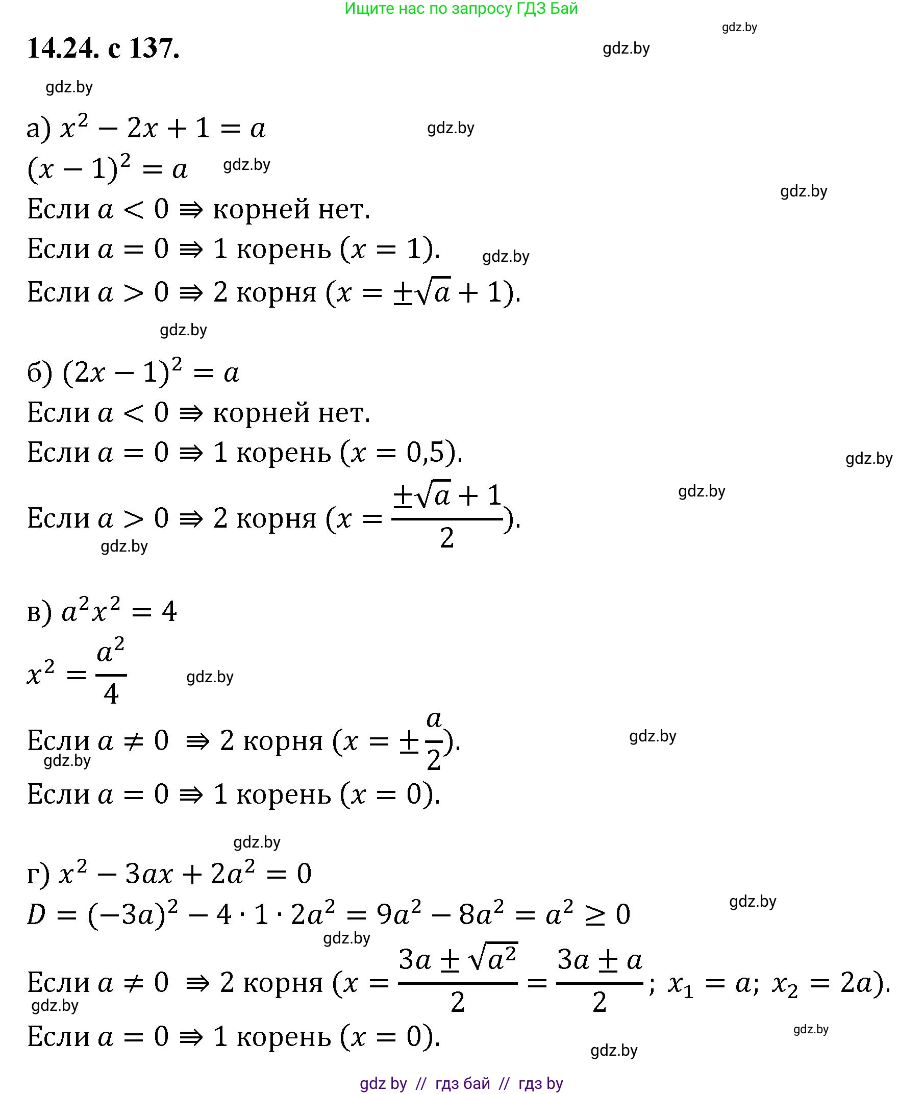
а) $x^2 - 2x + 1 = a;$

б) $(2x - 1)^2 = a;$

в) $a^2x^2 - 4 = 0;$

г) $x^2 - 3ax + 2a^2 = 0;$

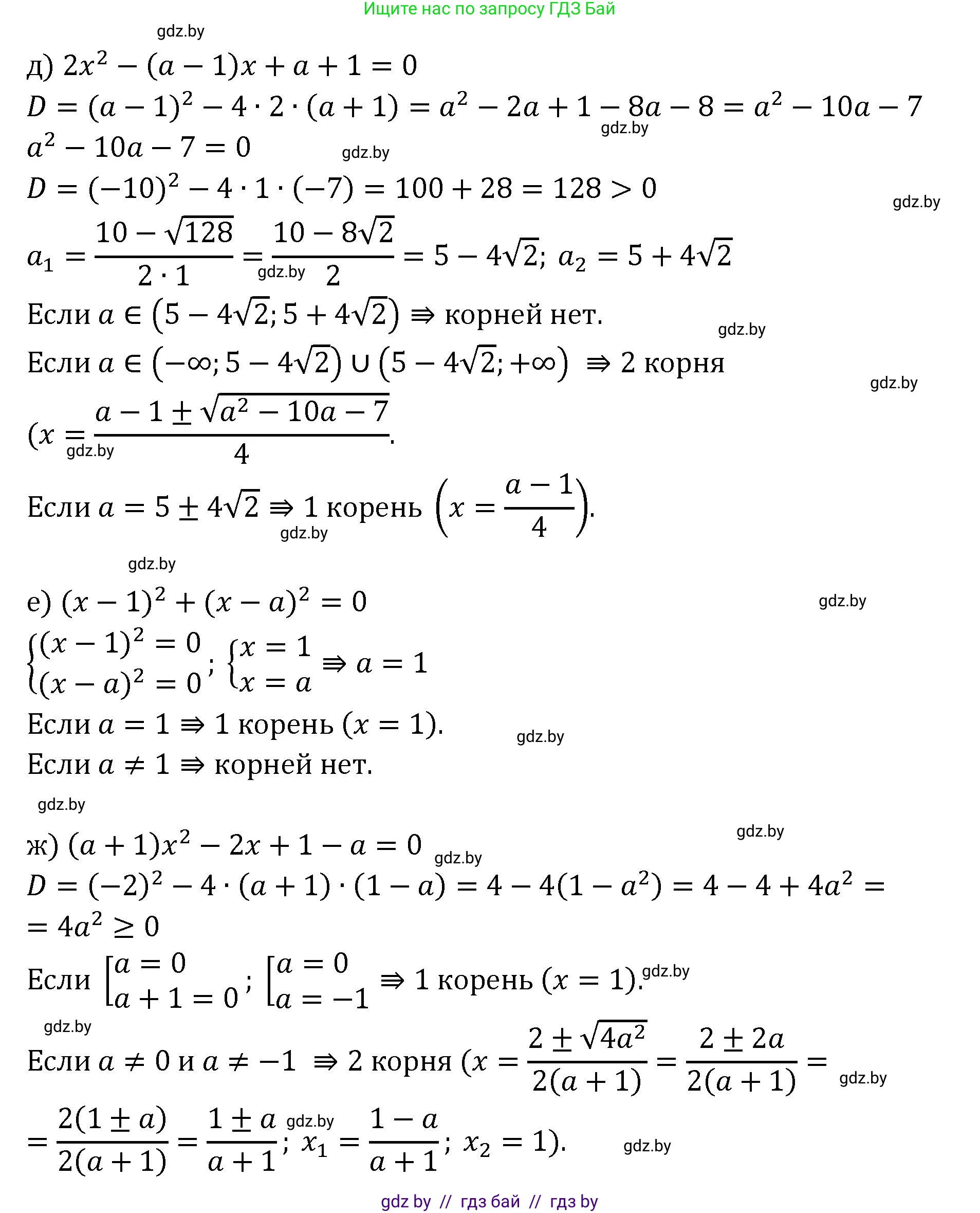
д) $2x^2 - (a - 1)x + a + 1 = 0;$

е) $(x - 1)^2 + (x - a)^2 = 0;$

ж) $(a + 1)x^2 - 2x + 1 - a = 0;$

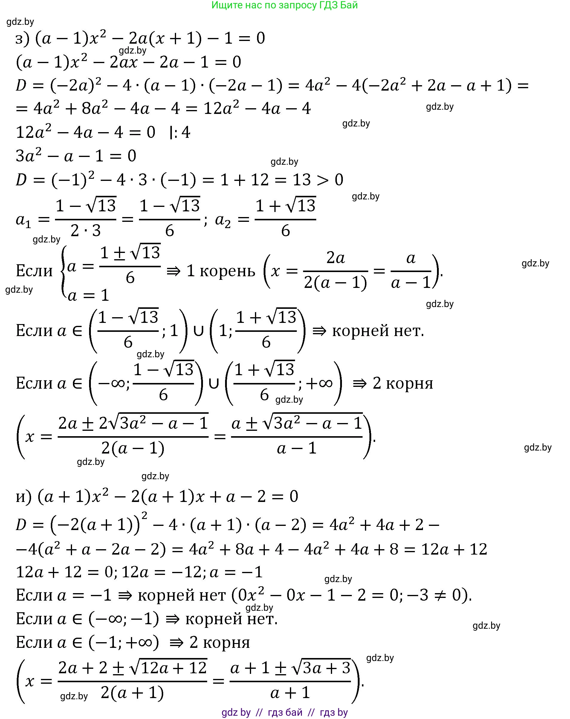
з) $(a - 1)x^2 - 2a(x + 1) - 1 = 0;$

и) $(a + 1)x^2 - 2(a + 1)x + a - 2 = 0;$

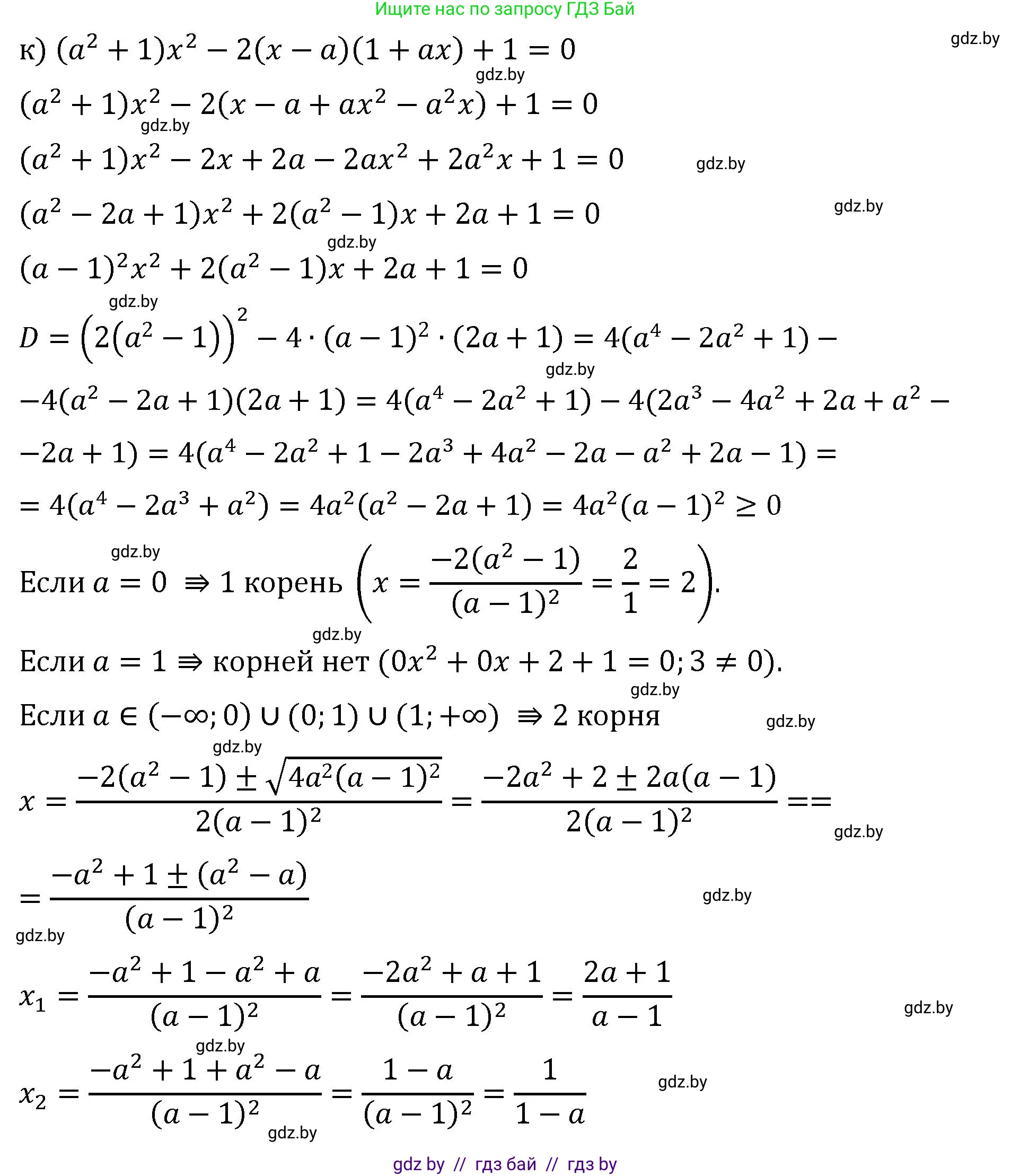
к) $(a^2 + 1)x^2 - 2(x - a)(1 + ax) + 1 = 0.$

Решение. №24 (с. 137)
Алгебра, 11 класс Сборник задач, авторы: Арефьева Ирина Глебовна, Пирютко Ольга Николаевна, издательство Народная асвета, Минск, 2020, белого цвета, страница 137, номер 24, Решение Алгебра, 11 класс Сборник задач, авторы: Арефьева Ирина Глебовна, Пирютко Ольга Николаевна, издательство Народная асвета, Минск, 2020, белого цвета, страница 137, номер 24, Решение (продолжение 2)
Решение 2. №24 (с. 137)

а) Исходное уравнение: $x^2 - 2x + 1 = a$. Левая часть является полным квадратом: $(x-1)^2 = a$. Для того чтобы уравнение имело действительные решения, правая часть должна быть неотрицательной, то есть $a \ge 0$. Если $a \ge 0$, то $x-1 = \pm\sqrt{a}$, откуда $x = 1 \pm\sqrt{a}$. Если $a < 0$, действительных корней нет, так как квадрат действительного числа не может быть отрицательным.
Ответ: при $a < 0$ действительных корней нет; при $a \ge 0$ корни $x = 1 \pm \sqrt{a}$.

б) Исходное уравнение: $(2x-1)^2 = a$. Аналогично предыдущему пункту, уравнение имеет действительные решения при $a \ge 0$. Если $a \ge 0$, извлекаем квадратный корень из обеих частей: $2x-1 = \pm\sqrt{a}$. Переносим 1 вправо: $2x = 1 \pm\sqrt{a}$. Делим на 2: $x = \frac{1 \pm \sqrt{a}}{2}$. Если $a < 0$, действительных корней нет.
Ответ: при $a < 0$ действительных корней нет; при $a \ge 0$ корни $x = \frac{1 \pm \sqrt{a}}{2}$.

в) Исходное уравнение: $a^2x^2 - 4 = 0$. Необходимо рассмотреть два случая для параметра $a$.
1. Если $a = 0$, уравнение принимает вид $0 \cdot x^2 - 4 = 0$, то есть $-4 = 0$. Это неверное равенство, следовательно, при $a=0$ решений нет.
2. Если $a \neq 0$, переносим 4 вправо: $a^2x^2 = 4$. Делим на $a^2$: $x^2 = \frac{4}{a^2}$. Извлекаем корень: $x = \pm\sqrt{\frac{4}{a^2}} = \pm\frac{2}{|a|}$. Так как перед дробью стоит знак $\pm$, то $x = \pm\frac{2}{a}$ будет тем же самым множеством решений.
Ответ: при $a=0$ корней нет; при $a \neq 0$ корни $x = \pm \frac{2}{a}$.

г) Исходное уравнение: $x^2 - 3ax + 2a^2 = 0$. Это квадратное уравнение относительно $x$. Его можно решить, разложив левую часть на множители. По теореме Виета, ищем два числа, сумма которых равна $3a$, а произведение $2a^2$. Эти числа — $a$ и $2a$. Таким образом, уравнение можно записать в виде: $(x-a)(x-2a) = 0$. Произведение равно нулю, если один из множителей равен нулю, откуда получаем два корня: $x_1 = a$ и $x_2 = 2a$.
Ответ: $x_1 = a$, $x_2 = 2a$.

д) Исходное уравнение: $2x^2 - (a-1)x + a+1 = 0$. Это квадратное уравнение относительно $x$. Найдем его дискриминант $D$: $D = (-(a-1))^2 - 4 \cdot 2 \cdot (a+1) = (a-1)^2 - 8(a+1) = (a^2 - 2a + 1) - (8a + 8) = a^2 - 10a - 7$. Уравнение имеет действительные корни при $D \ge 0$. Решим неравенство $a^2 - 10a - 7 \ge 0$. Корни уравнения $a^2 - 10a - 7 = 0$: $a_{1,2} = \frac{10 \pm \sqrt{100-4(1)(-7)}}{2} = \frac{10 \pm \sqrt{128}}{2} = 5 \pm 4\sqrt{2}$. Неравенство выполняется при $a \in (-\infty, 5 - 4\sqrt{2}] \cup [5 + 4\sqrt{2}, \infty)$. При этих значениях $a$ корни уравнения находятся по формуле: $x = \frac{a-1 \pm \sqrt{a^2 - 10a - 7}}{4}$.
Ответ: при $a \in (5 - 4\sqrt{2}, 5 + 4\sqrt{2})$ действительных корней нет; при $a \in (-\infty, 5 - 4\sqrt{2}] \cup [5 + 4\sqrt{2}, \infty)$ корни $x = \frac{a-1 \pm \sqrt{a^2 - 10a - 7}}{4}$.

е) Исходное уравнение: $(x-1)^2 + (x-a)^2 = 0$. Сумма квадратов двух действительных чисел равна нулю тогда и только тогда, когда каждое из этих чисел равно нулю. Следовательно, должны выполняться два условия одновременно: 1) $(x-1)^2 = 0 \implies x-1=0 \implies x=1$. 2) $(x-a)^2 = 0 \implies x-a=0 \implies x=a$. Оба условия могут быть выполнены только в том случае, если $a=1$. Тогда решением будет $x=1$. Если $a \neq 1$, система не имеет решений.
Ответ: при $a=1$ корень $x=1$; при $a \neq 1$ корней нет.

ж) Исходное уравнение: $(a+1)x^2 - 2x + 1 - a = 0$. Коэффициент при $x^2$ зависит от параметра $a$.
1. Если $a+1=0$, то есть $a=-1$, уравнение становится линейным: $-2x + 1 - (-1) = 0 \implies -2x + 2 = 0 \implies x=1$.
2. Если $a \neq -1$, уравнение является квадратным. Найдем дискриминант: $D = (-2)^2 - 4(a+1)(1-a) = 4 - 4(1-a^2) = 4 - 4 + 4a^2 = 4a^2 = (2a)^2$. Дискриминант всегда неотрицателен. Корни: $x = \frac{2 \pm \sqrt{4a^2}}{2(a+1)} = \frac{2 \pm 2a}{2(a+1)}$. $x_1 = \frac{2+2a}{2(a+1)} = \frac{2(1+a)}{2(a+1)} = 1$. $x_2 = \frac{2-2a}{2(a+1)} = \frac{2(1-a)}{2(1+a)} = \frac{1-a}{1+a}$. Для второго корня выделим целую часть: $\frac{1-a}{1+a} = \frac{-(a+1)+2}{a+1} = -1 + \frac{2}{a+1}$.
Ответ: при $a=-1$ корень $x=1$; при $a \neq -1$ корни $x_1=1$ и $x_2=\frac{2}{a+1}-1$.

з) Исходное уравнение: $(a-1)x^2 - 2a(x+1) - 1 = 0$. Раскроем скобки: $(a-1)x^2 - 2ax - 2a - 1 = 0$.
1. Если $a-1=0$, то есть $a=1$, уравнение становится линейным: $-2(1)x - 2(1) - 1 = 0 \implies -2x - 3 = 0 \implies x = -\frac{3}{2}$. Выделим целую часть: $-\frac{3}{2} = -1\frac{1}{2}$.
2. Если $a \neq 1$, решаем квадратное уравнение. Дискриминант $D = (-2a)^2 - 4(a-1)(-(2a+1)) = 4a^2 + 4(2a^2 - a - 1) = 12a^2 - 4a - 4 = 4(3a^2 - a - 1)$. Действительные корни существуют при $D \ge 0$, то есть $3a^2 - a - 1 \ge 0$. Это выполняется при $a \in (-\infty, \frac{1-\sqrt{13}}{6}] \cup [\frac{1+\sqrt{13}}{6}, \infty)$. Корни: $x = \frac{2a \pm \sqrt{4(3a^2-a-1)}}{2(a-1)} = \frac{a \pm \sqrt{3a^2-a-1}}{a-1}$.
Ответ: при $a=1$ корень $x=-1\frac{1}{2}$; при $a \in (-\infty, \frac{1-\sqrt{13}}{6}] \cup [\frac{1+\sqrt{13}}{6}, \infty)$ и $a \neq 1$ корни $x = \frac{a \pm \sqrt{3a^2-a-1}}{a-1}$; при $a \in (\frac{1-\sqrt{13}}{6}, \frac{1+\sqrt{13}}{6})$ действительных корней нет.

и) Исходное уравнение: $(a+1)x^2 - 2(a+1)x + a - 2 = 0$.
1. Если $a+1=0$, то есть $a=-1$, уравнение принимает вид $0 \cdot x^2 - 0 \cdot x - 1 - 2 = 0 \implies -3=0$. Это неверно, решений нет.
2. Если $a \neq -1$, решаем квадратное уравнение. Используем формулу для четного второго коэффициента ($k = -(a+1)$): $D/4 = k^2 - ac = (-(a+1))^2 - (a+1)(a-2) = (a+1)[(a+1)-(a-2)] = 3(a+1)$. Действительные корни существуют при $D/4 \ge 0 \implies 3(a+1) \ge 0 \implies a \ge -1$. Учитывая, что $a \neq -1$, получаем $a > -1$. Корни: $x = \frac{a+1 \pm \sqrt{3(a+1)}}{a+1} = 1 \pm \frac{\sqrt{3(a+1)}}{a+1} = 1 \pm \sqrt{\frac{3(a+1)}{(a+1)^2}} = 1 \pm \sqrt{\frac{3}{a+1}}$.
Ответ: при $a \le -1$ действительных корней нет; при $a > -1$ корни $x = 1 \pm \sqrt{\frac{3}{a+1}}$.

к) Исходное уравнение: $(a^2+1)x^2 - 2(x-a)(1+ax) + 1 = 0$. Преобразуем уравнение: $(a^2+1)x^2 - 2(x+ax^2-a-a^2x) + 1 = 0$ $(a^2+1-2a)x^2 + (2a^2-2)x + (2a+1) = 0$ $(a-1)^2 x^2 + 2(a^2-1)x + (2a+1) = 0$.
1. Если $a-1=0$, то есть $a=1$, получаем $0 + 0 + 3 = 0$. Решений нет.
2. Если $a \neq 1$, решаем квадратное уравнение. $D/4 = (a^2-1)^2 - (a-1)^2(2a+1) = (a-1)^2[(a+1)^2 - (2a+1)] = (a-1)^2[a^2+2a+1-2a-1] = (a-1)^2 a^2 = (a(a-1))^2$. Корни: $x = \frac{-(a^2-1) \pm \sqrt{(a(a-1))^2}}{(a-1)^2} = \frac{-(a-1)(a+1) \pm a(a-1)}{(a-1)^2} = \frac{-(a+1) \pm a}{a-1}$. $x_1 = \frac{-(a+1)+a}{a-1} = \frac{-1}{a-1} = \frac{1}{1-a}$. $x_2 = \frac{-(a+1)-a}{a-1} = \frac{-2a-1}{a-1}$. Выделим целую часть во втором корне: $\frac{-2a-1}{a-1} = \frac{-2(a-1)-3}{a-1} = -2 - \frac{3}{a-1}$.
Ответ: при $a=1$ корней нет; при $a \neq 1$ корни $x_1=\frac{1}{1-a}$, $x_2=-2-\frac{3}{a-1}$.

Помогло решение? Оставьте отзыв в комментариях ниже.

Присоединяйтесь к Телеграм-группе @gdz_by_belarus

Присоединиться

Мы подготовили для вас ответ c подробным объяснением домашего задания по алгебре за 11 класс, для упражнения номер 24 расположенного на странице 137 к сборнику задач 2020 года издания для учащихся школ и гимназий.

Теперь на нашем сайте ГДЗ.ТОП вы всегда легко и бесплатно найдёте условие с правильным ответом на вопрос «Как решить ДЗ» и «Как сделать» задание по алгебре к упражнению №24 (с. 137), авторов: Арефьева (Ирина Глебовна), Пирютко (Ольга Николаевна), базовый и повышенный уровень обучения учебного пособия издательства Народная асвета.