Номер 28, страница 137 - гдз по алгебре 11 класс сборник задач Арефьева, Пирютко

Алгебра, 11 класс Сборник задач, авторы: Арефьева Ирина Глебовна, Пирютко Ольга Николаевна, издательство Народная асвета, Минск, 2020, белого цвета

Авторы: Арефьева И. Г., Пирютко О. Н.

Тип: Сборник задач

Издательство: Народная асвета

Год издания: 2020 - 2026

Уровень обучения: базовый и повышенный

Цвет обложки: белый с графиком

Допущено Министерством образования Республики Беларусь

Популярные ГДЗ в 11 классе

Глава 4. Системы уравнений и неравенств. Параграф 14. Задачи с параметрами. Линейные уравнения с параметрами - номер 28, страница 137.

№28 (с. 137)
Условие. №28 (с. 137)
скриншот условия
Алгебра, 11 класс Сборник задач, авторы: Арефьева Ирина Глебовна, Пирютко Ольга Николаевна, издательство Народная асвета, Минск, 2020, белого цвета, страница 137, номер 28, Условие

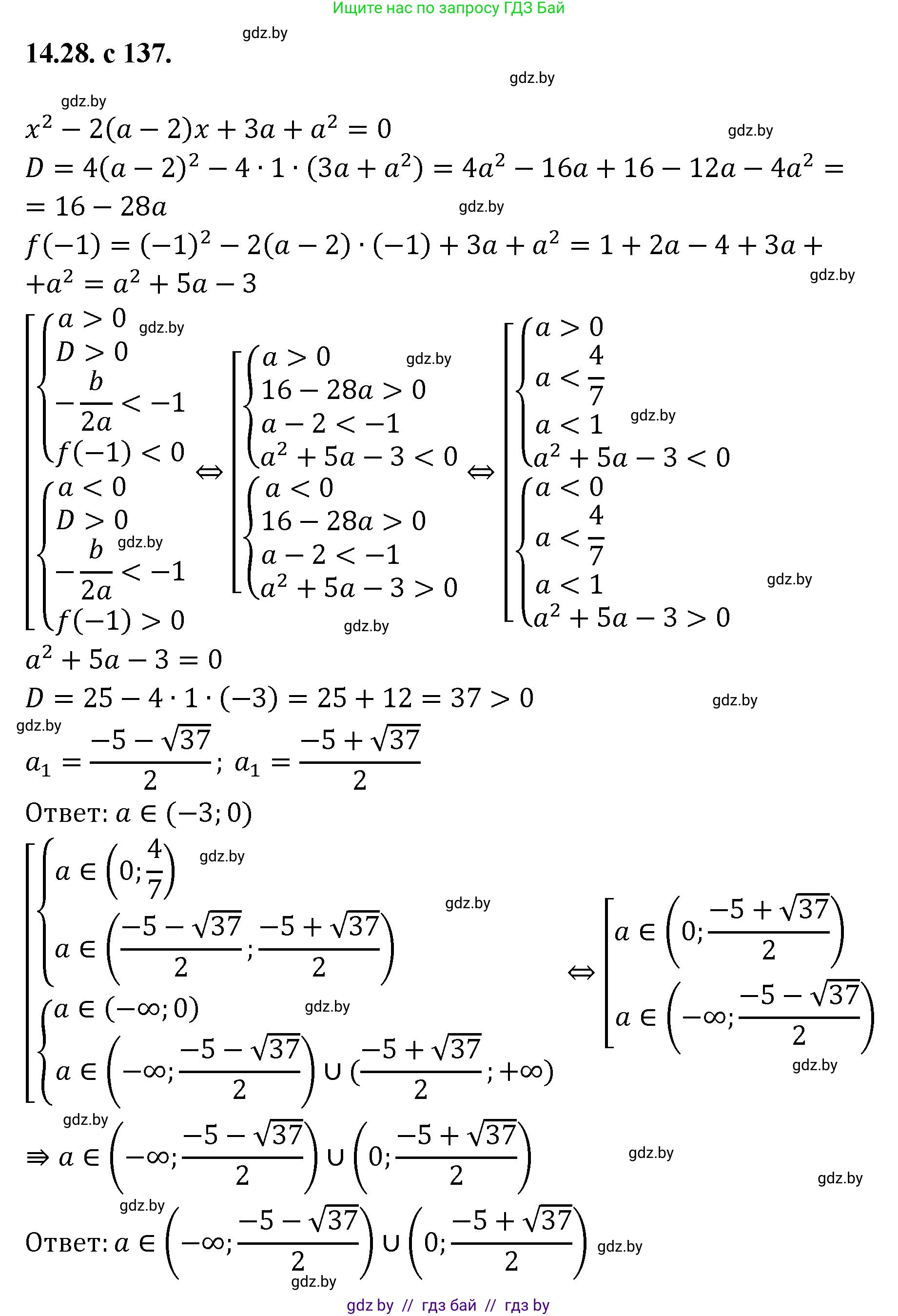
14.28. Найдите все значения параметра $a$, при которых корни уравнения $x^2 - 2(a-2)x + 3a + a^2 = 0$ меньше $-1$.

Решение. №28 (с. 137)
Алгебра, 11 класс Сборник задач, авторы: Арефьева Ирина Глебовна, Пирютко Ольга Николаевна, издательство Народная асвета, Минск, 2020, белого цвета, страница 137, номер 28, Решение
Решение 2. №28 (с. 137)

Для того чтобы оба корня $x_1$ и $x_2$ квадратного уравнения $x^2 - 2(a - 2)x + 3a + a^2 = 0$ были меньше -1, необходимо и достаточно выполнение трех условий для параболы $f(x) = x^2 - 2(a - 2)x + 3a + a^2$, ветви которой направлены вверх:

  1. Уравнение должно иметь действительные корни, то есть дискриминант $D \ge 0$.
  2. Абсцисса вершины параболы $x_в$ должна быть меньше -1, то есть $x_в < -1$.
  3. Значение функции в точке $x = -1$ должно быть положительным, то есть $f(-1) > 0$.

Решим систему этих неравенств:

1. Условие существования корней:
Найдем дискриминант. Удобно использовать $D/4$:
$D/4 = (-(a-2))^2 - 1 \cdot (3a + a^2) = (a^2 - 4a + 4) - (3a + a^2) = 4 - 7a$.
Условие $D/4 \ge 0$:
$4 - 7a \ge 0 \implies 7a \le 4 \implies a \le \frac{4}{7}$.

2. Условие для вершины параболы:
Абсцисса вершины $x_в = -\frac{-2(a-2)}{2 \cdot 1} = a - 2$.
Условие $x_в < -1$:
$a - 2 < -1 \implies a < 1$.

3. Условие для значения функции в точке -1:
$f(-1) = (-1)^2 - 2(a-2)(-1) + 3a + a^2 = 1 + 2(a-2) + 3a + a^2 = 1 + 2a - 4 + 3a + a^2 = a^2 + 5a - 3$.
Условие $f(-1) > 0$:
$a^2 + 5a - 3 > 0$.
Найдем корни соответствующего уравнения $a^2 + 5a - 3 = 0$:
$a_{1,2} = \frac{-5 \pm \sqrt{5^2 - 4(1)(-3)}}{2} = \frac{-5 \pm \sqrt{25 + 12}}{2} = \frac{-5 \pm \sqrt{37}}{2}$.
Поскольку это парабола с ветвями вверх, неравенство выполняется, когда $a$ находится вне интервала между корнями:
$a < \frac{-5 - \sqrt{37}}{2}$ или $a > \frac{-5 + \sqrt{37}}{2}$.

4. Решение системы:
Соберем все условия в систему: $$ \begin{cases} a \le \frac{4}{7} \\ a < 1 \\ a \in (-\infty, \frac{-5 - \sqrt{37}}{2}) \cup (\frac{-5 + \sqrt{37}}{2}, +\infty) \end{cases} $$ Из первых двух неравенств ($a \le \frac{4}{7}$ и $a < 1$) следует более сильное: $a \le \frac{4}{7}$.
Теперь необходимо найти пересечение множеств $a \le \frac{4}{7}$ и ($a < \frac{-5 - \sqrt{37}}{2}$ или $a > \frac{-5 + \sqrt{37}}{2}$).
Сравним значения $\frac{4}{7}$ и $\frac{-5 + \sqrt{37}}{2}$.
$6 < \sqrt{37} < 7$, поэтому $\frac{-5 + 6}{2} < \frac{-5 + \sqrt{37}}{2} < \frac{-5 + 7}{2}$, то есть $0.5 < \frac{-5 + \sqrt{37}}{2} < 1$.
$\frac{4}{7} \approx 0.571$, а $\frac{-5 + \sqrt{37}}{2} \approx \frac{-5+6.08}{2} \approx 0.54$.
Точное сравнение: $8/7$ и $-5+\sqrt{37} \implies 43/7$ и $\sqrt{37} \implies (43/7)^2$ и $37 \implies 1849/49$ и $37 \implies 1849$ и $1813$. Так как $1849 > 1813$, то $\frac{4}{7} > \frac{-5 + \sqrt{37}}{2}$.
Таким образом, решением системы является объединение интервалов.
Ответ: $a \in (-\infty; \frac{-5 - \sqrt{37}}{2}) \cup (\frac{-5 + \sqrt{37}}{2}; \frac{4}{7}]$.

Помогло решение? Оставьте отзыв в комментариях ниже.

Присоединяйтесь к Телеграм-группе @gdz_by_belarus

Присоединиться

Мы подготовили для вас ответ c подробным объяснением домашего задания по алгебре за 11 класс, для упражнения номер 28 расположенного на странице 137 к сборнику задач 2020 года издания для учащихся школ и гимназий.

Теперь на нашем сайте ГДЗ.ТОП вы всегда легко и бесплатно найдёте условие с правильным ответом на вопрос «Как решить ДЗ» и «Как сделать» задание по алгебре к упражнению №28 (с. 137), авторов: Арефьева (Ирина Глебовна), Пирютко (Ольга Николаевна), базовый и повышенный уровень обучения учебного пособия издательства Народная асвета.