Номер 3.134, страница 129 - гдз по алгебре 11 класс учебник Арефьева, Пирютко

Алгебра, 11 класс Учебник, авторы: Арефьева Ирина Глебовна, Пирютко Ольга Николаевна, издательство Народная асвета, Минск, 2020, бирюзового цвета

Авторы: Арефьева И. Г., Пирютко О. Н.

Тип: Учебник

Издательство: Народная асвета

Год издания: 2020 - 2026

Цвет обложки: бирюзовый, зелёный с графиком

ISBN: 978-985-03-3165-6

Популярные ГДЗ в 11 классе

Глава 3. Логарифмическая функция. Параграф 8. Логарифмическая функция. Свойства логарифмической функции - номер 3.134, страница 129.

№3.134 (с. 129)
Условие. №3.134 (с. 129)
скриншот условия
Алгебра, 11 класс Учебник, авторы: Арефьева Ирина Глебовна, Пирютко Ольга Николаевна, издательство Народная асвета, Минск, 2020, бирюзового цвета, страница 129, номер 3.134, Условие

3.134. Найдите абсциссы точек пересечения графиков функций:

а) $y = \sqrt{2x^2 - 3x - 10}$ и $y = x;$

б) $y = \sqrt{8 - 3x - x^2}$ и $y = -x - 2.$

Решение. №3.134 (с. 129)
Алгебра, 11 класс Учебник, авторы: Арефьева Ирина Глебовна, Пирютко Ольга Николаевна, издательство Народная асвета, Минск, 2020, бирюзового цвета, страница 129, номер 3.134, Решение
Решение 2. №3.134 (с. 129)

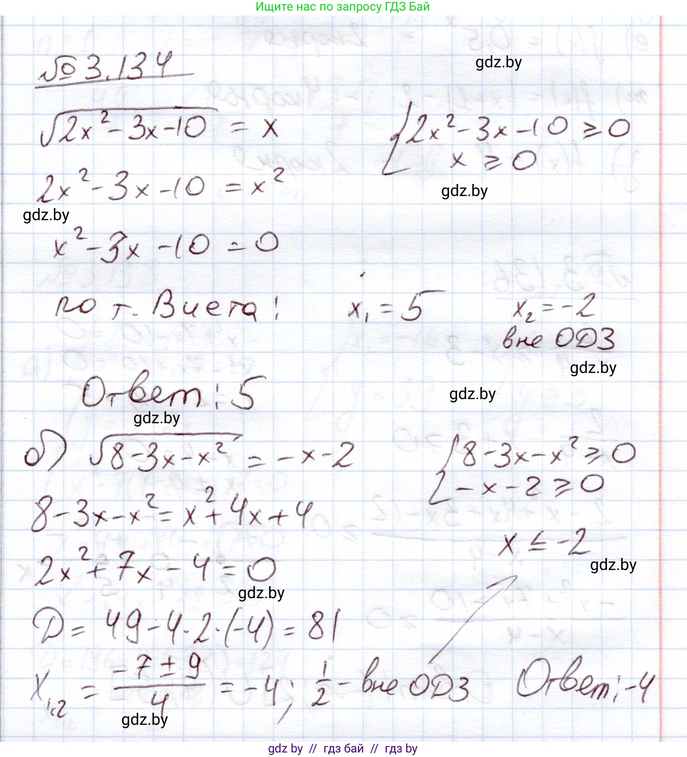
а) Чтобы найти абсциссы точек пересечения графиков функций $y = \sqrt{2x^2 - 3x - 10}$ и $y = x$, необходимо приравнять их правые части:

$\sqrt{2x^2 - 3x - 10} = x$

Это иррациональное уравнение. Для его решения необходимо, чтобы правая часть была неотрицательной, так как значение арифметического квадратного корня не может быть отрицательным. Также подкоренное выражение должно быть неотрицательным, но это условие будет выполнено автоматически после возведения в квадрат, так как подкоренное выражение станет равным $x^2$, а $x^2 \ge 0$.

Таким образом, данное уравнение равносильно следующей системе:

$\begin{cases} x \ge 0 \\ (\sqrt{2x^2 - 3x - 10})^2 = x^2 \end{cases}$

Решим второе уравнение системы, возведя обе части в квадрат:

$2x^2 - 3x - 10 = x^2$

Перенесем все члены в левую часть:

$2x^2 - x^2 - 3x - 10 = 0$

$x^2 - 3x - 10 = 0$

Это приведенное квадратное уравнение. Решим его с помощью теоремы Виета. Сумма корней равна 3, а их произведение равно -10. Корнями являются числа 5 и -2.

$x_1 = 5$

$x_2 = -2$

Теперь вернемся к системе и проверим, удовлетворяют ли найденные корни условию $x \ge 0$.

Корень $x_1 = 5$ удовлетворяет условию, так как $5 \ge 0$.

Корень $x_2 = -2$ не удовлетворяет условию, так как $-2 \lt 0$. Следовательно, это посторонний корень.

Единственная абсцисса точки пересечения - это $x=5$.

Ответ: 5

б) Чтобы найти абсциссы точек пересечения графиков функций $y = \sqrt{8 - 3x - x^2}$ и $y = -x - 2$, приравняем их правые части:

$\sqrt{8 - 3x - x^2} = -x - 2$

Как и в предыдущем случае, решим это иррациональное уравнение. Оно равносильно системе, в которой правая часть неотрицательна, а квадрат левой части равен квадрату правой.

$\begin{cases} -x - 2 \ge 0 \\ 8 - 3x - x^2 = (-x - 2)^2 \end{cases}$

Сначала решим неравенство:

$-x \ge 2$

$x \le -2$

Теперь решим уравнение из системы:

$8 - 3x - x^2 = (-(x + 2))^2$

$8 - 3x - x^2 = (x + 2)^2$

$8 - 3x - x^2 = x^2 + 4x + 4$

Перенесем все члены в правую часть, чтобы получить квадратное уравнение:

$0 = x^2 + x^2 + 4x + 3x + 4 - 8$

$2x^2 + 7x - 4 = 0$

Решим это квадратное уравнение с помощью дискриминанта:

$D = b^2 - 4ac = 7^2 - 4(2)(-4) = 49 + 32 = 81 = 9^2$

Найдем корни:

$x = \frac{-b \pm \sqrt{D}}{2a} = \frac{-7 \pm 9}{4}$

$x_1 = \frac{-7 - 9}{4} = \frac{-16}{4} = -4$

$x_2 = \frac{-7 + 9}{4} = \frac{2}{4} = 0.5$

Проверим найденные корни на соответствие условию $x \le -2$.

Корень $x_1 = -4$ удовлетворяет условию, так как $-4 \le -2$.

Корень $x_2 = 0.5$ не удовлетворяет условию, так как $0.5 \not\le -2$. Следовательно, это посторонний корень.

Единственная абсцисса точки пересечения - это $x=-4$.

Ответ: -4

Помогло решение? Оставьте отзыв в комментариях ниже.

Присоединяйтесь к Телеграм-группе @gdz_by_belarus

Присоединиться

Мы подготовили для вас ответ c подробным объяснением домашего задания по алгебре за 11 класс, для упражнения номер 3.134 расположенного на странице 129 к учебнику 2020 года издания для учащихся школ и гимназий.

Теперь на нашем сайте ГДЗ.ТОП вы всегда легко и бесплатно найдёте условие с правильным ответом на вопрос «Как решить ДЗ» и «Как сделать» задание по алгебре к упражнению №3.134 (с. 129), авторов: Арефьева (Ирина Глебовна), Пирютко (Ольга Николаевна), учебного пособия издательства Народная асвета.