Номер 3.138, страница 130 - гдз по алгебре 11 класс учебник Арефьева, Пирютко

Алгебра, 11 класс Учебник, авторы: Арефьева Ирина Глебовна, Пирютко Ольга Николаевна, издательство Народная асвета, Минск, 2020, бирюзового цвета

Авторы: Арефьева И. Г., Пирютко О. Н.

Тип: Учебник

Издательство: Народная асвета

Год издания: 2020 - 2026

Цвет обложки: бирюзовый, зелёный с графиком

ISBN: 978-985-03-3165-6

Популярные ГДЗ в 11 классе

Глава 3. Логарифмическая функция. Параграф 8. Логарифмическая функция. Свойства логарифмической функции - номер 3.138, страница 130.

№3.138 (с. 130)
Условие. №3.138 (с. 130)
скриншот условия
Алгебра, 11 класс Учебник, авторы: Арефьева Ирина Глебовна, Пирютко Ольга Николаевна, издательство Народная асвета, Минск, 2020, бирюзового цвета, страница 130, номер 3.138, Условие

3.138. Решите систему уравнений:

а) $ \begin{cases} 2x + y = 7, \\ x^2 - 7y + 17 = 0; \end{cases} $

б)*

$ \begin{cases} 2x^2 - 3xy + 2y^2 = 4, \\ 2x^2 + 3y^2 = 14. \end{cases} $

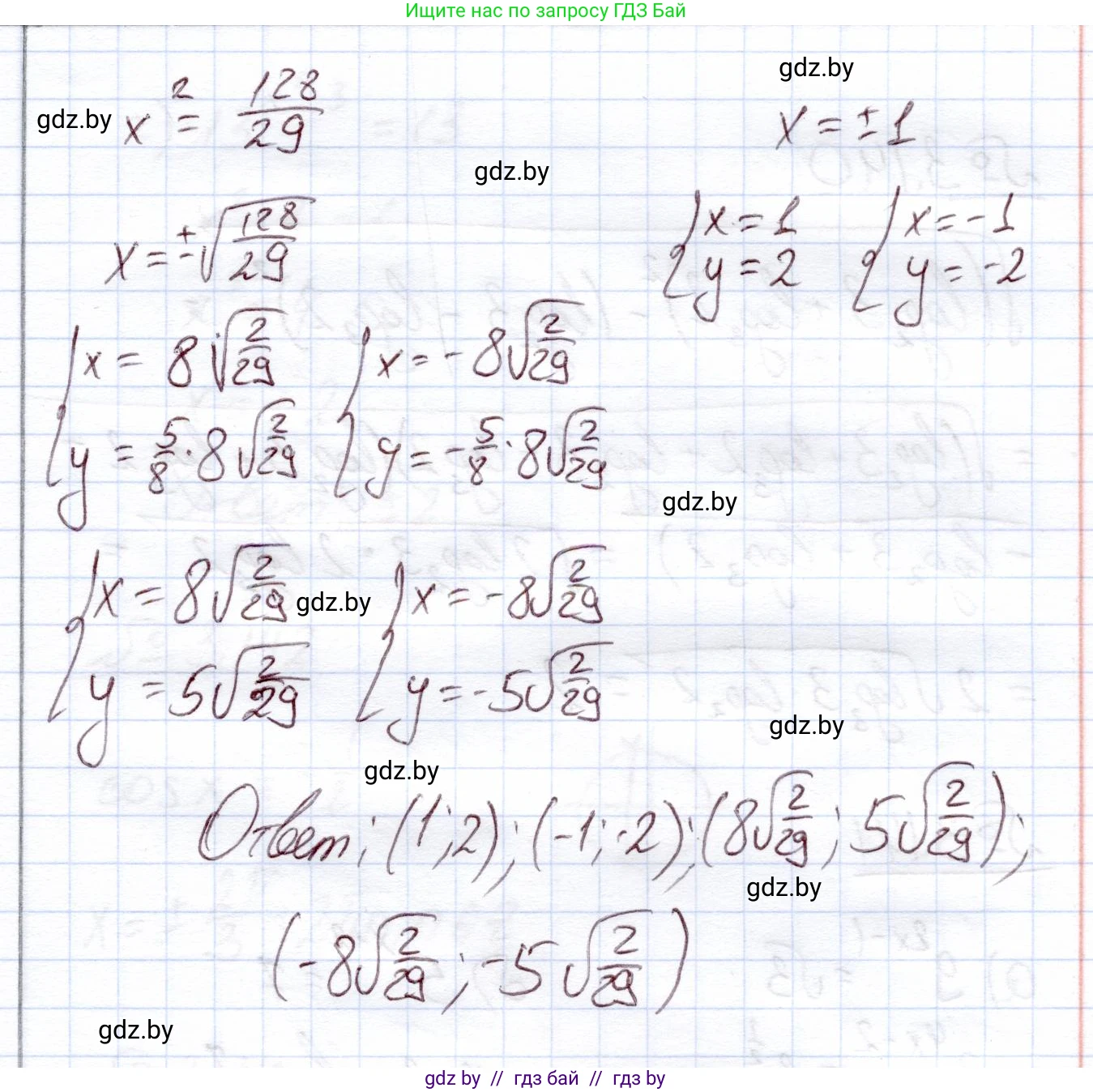
Решение. №3.138 (с. 130)
Алгебра, 11 класс Учебник, авторы: Арефьева Ирина Глебовна, Пирютко Ольга Николаевна, издательство Народная асвета, Минск, 2020, бирюзового цвета, страница 130, номер 3.138, Решение Алгебра, 11 класс Учебник, авторы: Арефьева Ирина Глебовна, Пирютко Ольга Николаевна, издательство Народная асвета, Минск, 2020, бирюзового цвета, страница 130, номер 3.138, Решение (продолжение 2)
Решение 2. №3.138 (с. 130)

а)
Дана система уравнений:
$ \begin{cases} 2x + y = 7, \\ x^2 - 7y + 17 = 0; \end{cases} $
Это система из одного линейного и одного квадратного уравнения. Для ее решения удобно использовать метод подстановки.
Из первого уравнения выразим y через x:
$y = 7 - 2x$
Теперь подставим это выражение для y во второе уравнение системы:
$x^2 - 7(7 - 2x) + 17 = 0$
Раскроем скобки и упростим полученное уравнение:
$x^2 - 49 + 14x + 17 = 0$
$x^2 + 14x - 32 = 0$
Мы получили квадратное уравнение относительно x. Решим его. Можно использовать теорему Виета или формулу для корней квадратного уравнения. По теореме Виета, ищем два числа, произведение которых равно -32, а сумма равна -14. Это числа -16 и 2.
Таким образом, корни уравнения:
$x_1 = -16$
$x_2 = 2$
Теперь найдем соответствующие значения y для каждого найденного значения x, используя формулу $y = 7 - 2x$:
1. При $x_1 = -16$:
$y_1 = 7 - 2(-16) = 7 + 32 = 39$
Первое решение системы: $(-16, 39)$.
2. При $x_2 = 2$:
$y_2 = 7 - 2(2) = 7 - 4 = 3$
Второе решение системы: $(2, 3)$.

Ответ: $(-16, 39), (2, 3)$.

б)
Дана система уравнений:
$ \begin{cases} 2x^2 - 3xy + 2y^2 = 4, \\ 2x^2 + 3y^2 = 14. \end{cases} $
Это система однородных уравнений. Чтобы решить ее, приведем правые части уравнений к одному значению. Умножим первое уравнение на 7, а второе на 2:
$ \begin{cases} 7(2x^2 - 3xy + 2y^2) = 7 \cdot 4, \\ 2(2x^2 + 3y^2) = 2 \cdot 14; \end{cases} $
$ \begin{cases} 14x^2 - 21xy + 14y^2 = 28, \\ 4x^2 + 6y^2 = 28. \end{cases} $
Теперь мы можем приравнять левые части уравнений:
$14x^2 - 21xy + 14y^2 = 4x^2 + 6y^2$
Перенесем все члены в левую часть и приведем подобные:
$(14x^2 - 4x^2) - 21xy + (14y^2 - 6y^2) = 0$
$10x^2 - 21xy + 8y^2 = 0$
Это однородное уравнение второй степени. Заметим, что $y=0$ не является решением системы (если подставить $y=0$ во второе исходное уравнение, получим $2x^2 = 14$ или $x^2 = 7$, а в первое — $2x^2 = 4$ или $x^2 = 2$, что невозможно одновременно). Поэтому мы можем разделить уравнение на $y^2$:
$10\frac{x^2}{y^2} - 21\frac{x}{y} + 8 = 0$
Сделаем замену $k = \frac{x}{y}$. Получим квадратное уравнение относительно k:
$10k^2 - 21k + 8 = 0$
Найдем дискриминант: $D = (-21)^2 - 4 \cdot 10 \cdot 8 = 441 - 320 = 121 = 11^2$.
Корни уравнения для k:
$k_1 = \frac{21 - 11}{2 \cdot 10} = \frac{10}{20} = \frac{1}{2}$
$k_2 = \frac{21 + 11}{2 \cdot 10} = \frac{32}{20} = \frac{8}{5}$
Теперь рассмотрим два случая.

Случай 1: $\frac{x}{y} = \frac{1}{2}$, откуда $y = 2x$.
Подставим это соотношение во второе исходное уравнение ($2x^2 + 3y^2 = 14$):
$2x^2 + 3(2x)^2 = 14$
$2x^2 + 3(4x^2) = 14$
$2x^2 + 12x^2 = 14$
$14x^2 = 14 \Rightarrow x^2 = 1 \Rightarrow x = \pm 1$.
Если $x=1$, то $y=2(1)=2$. Получаем решение $(1, 2)$.
Если $x=-1$, то $y=2(-1)=-2$. Получаем решение $(-1, -2)$.

Случай 2: $\frac{x}{y} = \frac{8}{5}$, откуда $x = \frac{8}{5}y$.
Подставим это соотношение во второе исходное уравнение ($2x^2 + 3y^2 = 14$):
$2\left(\frac{8}{5}y\right)^2 + 3y^2 = 14$
$2\left(\frac{64}{25}y^2\right) + 3y^2 = 14$
$\frac{128}{25}y^2 + \frac{75}{25}y^2 = 14$
$\frac{203}{25}y^2 = 14$
$y^2 = \frac{14 \cdot 25}{203} = \frac{14 \cdot 25}{7 \cdot 29} = \frac{2 \cdot 25}{29} = \frac{50}{29}$
$y = \pm \sqrt{\frac{50}{29}} = \pm \frac{5\sqrt{2}}{\sqrt{29}} = \pm \frac{5\sqrt{58}}{29}$.
Найдем соответствующие значения x, используя $x = \frac{8}{5}y$:
Если $y = \frac{5\sqrt{58}}{29}$, то $x = \frac{8}{5} \cdot \frac{5\sqrt{58}}{29} = \frac{8\sqrt{58}}{29}$. Получаем решение $(\frac{8\sqrt{58}}{29}, \frac{5\sqrt{58}}{29})$.
Если $y = -\frac{5\sqrt{58}}{29}$, то $x = \frac{8}{5} \cdot \left(-\frac{5\sqrt{58}}{29}\right) = -\frac{8\sqrt{58}}{29}$. Получаем решение $(-\frac{8\sqrt{58}}{29}, -\frac{5\sqrt{58}}{29})$.

Ответ: $(1, 2), (-1, -2), \left(\frac{8\sqrt{58}}{29}, \frac{5\sqrt{58}}{29}\right), \left(-\frac{8\sqrt{58}}{29}, -\frac{5\sqrt{58}}{29}\right)$.

Помогло решение? Оставьте отзыв в комментариях ниже.

Присоединяйтесь к Телеграм-группе @gdz_by_belarus

Присоединиться

Мы подготовили для вас ответ c подробным объяснением домашего задания по алгебре за 11 класс, для упражнения номер 3.138 расположенного на странице 130 к учебнику 2020 года издания для учащихся школ и гимназий.

Теперь на нашем сайте ГДЗ.ТОП вы всегда легко и бесплатно найдёте условие с правильным ответом на вопрос «Как решить ДЗ» и «Как сделать» задание по алгебре к упражнению №3.138 (с. 130), авторов: Арефьева (Ирина Глебовна), Пирютко (Ольга Николаевна), учебного пособия издательства Народная асвета.