Номер 3.140, страница 130 - гдз по алгебре 11 класс учебник Арефьева, Пирютко

Алгебра, 11 класс Учебник, авторы: Арефьева Ирина Глебовна, Пирютко Ольга Николаевна, издательство Народная асвета, Минск, 2020, бирюзового цвета

Авторы: Арефьева И. Г., Пирютко О. Н.

Тип: Учебник

Издательство: Народная асвета

Год издания: 2020 - 2026

Цвет обложки: бирюзовый, зелёный с графиком

ISBN: 978-985-03-3165-6

Популярные ГДЗ в 11 классе

Глава 3. Логарифмическая функция. Параграф 8. Логарифмическая функция. Свойства логарифмической функции - номер 3.140, страница 130.

№3.140 (с. 130)
Условие. №3.140 (с. 130)
скриншот условия
Алгебра, 11 класс Учебник, авторы: Арефьева Ирина Глебовна, Пирютко Ольга Николаевна, издательство Народная асвета, Минск, 2020, бирюзового цвета, страница 130, номер 3.140, Условие

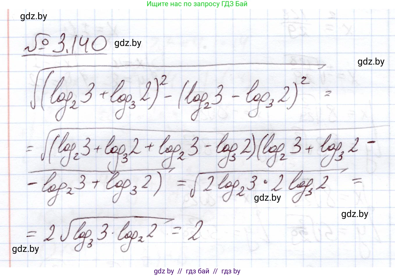
3.140*. Найдите значение выражения

$\sqrt{(\log_2 3 + \log_3 2)^2 - (\log_2 3 - \log_3 2)^2}$

Решение. №3.140 (с. 130)
Алгебра, 11 класс Учебник, авторы: Арефьева Ирина Глебовна, Пирютко Ольга Николаевна, издательство Народная асвета, Минск, 2020, бирюзового цвета, страница 130, номер 3.140, Решение
Решение 2. №3.140 (с. 130)

Для нахождения значения данного выражения воспользуемся формулой разности квадратов $a^2 - b^2 = (a-b)(a+b)$.

Рассмотрим выражение под знаком корня:

$$ (\log_2 3 + \log_3 2)^2 - (\log_2 3 - \log_3 2)^2 $$

Здесь в качестве $a$ выступает $(\log_2 3 + \log_3 2)$, а в качестве $b$ выступает $(\log_2 3 - \log_3 2)$.

Применим формулу разности квадратов:

$$ ((\log_2 3 + \log_3 2) - (\log_2 3 - \log_3 2)) \cdot ((\log_2 3 + \log_3 2) + (\log_2 3 - \log_3 2)) $$

Упростим выражение в каждой из скобок.

В первой скобке:

$$ (\log_2 3 + \log_3 2) - (\log_2 3 - \log_3 2) = \log_2 3 + \log_3 2 - \log_2 3 + \log_3 2 = 2 \log_3 2 $$

Во второй скобке:

$$ (\log_2 3 + \log_3 2) + (\log_2 3 - \log_3 2) = \log_2 3 + \log_3 2 + \log_2 3 - \log_3 2 = 2 \log_2 3 $$

Теперь перемножим полученные результаты:

$$ (2 \log_3 2) \cdot (2 \log_2 3) = 4 \cdot (\log_3 2 \cdot \log_2 3) $$

Воспользуемся свойством логарифмов, вытекающим из формулы перехода к новому основанию: $\log_b a \cdot \log_a b = 1$.

В нашем случае $\log_3 2 \cdot \log_2 3 = 1$.

Тогда произведение равно:

$$ 4 \cdot 1 = 4 $$

Таким образом, всё выражение под корнем равно 4.

Осталось извлечь квадратный корень:

$$ \sqrt{4} = 2 $$

Ответ: 2

Помогло решение? Оставьте отзыв в комментариях ниже.

Присоединяйтесь к Телеграм-группе @gdz_by_belarus

Присоединиться

Мы подготовили для вас ответ c подробным объяснением домашего задания по алгебре за 11 класс, для упражнения номер 3.140 расположенного на странице 130 к учебнику 2020 года издания для учащихся школ и гимназий.

Теперь на нашем сайте ГДЗ.ТОП вы всегда легко и бесплатно найдёте условие с правильным ответом на вопрос «Как решить ДЗ» и «Как сделать» задание по алгебре к упражнению №3.140 (с. 130), авторов: Арефьева (Ирина Глебовна), Пирютко (Ольга Николаевна), учебного пособия издательства Народная асвета.