Номер 281, страница 201 - гдз по алгебре 11 класс учебник Арефьева, Пирютко

Алгебра, 11 класс Учебник, авторы: Арефьева Ирина Глебовна, Пирютко Ольга Николаевна, издательство Народная асвета, Минск, 2020, бирюзового цвета

Авторы: Арефьева И. Г., Пирютко О. Н.

Тип: Учебник

Издательство: Народная асвета

Год издания: 2020 - 2026

Цвет обложки: бирюзовый, зелёный с графиком

ISBN: 978-985-03-3165-6

Популярные ГДЗ в 11 классе

Упражнения для итогового повторения. Выражения и их преобразования - номер 281, страница 201.

№281 (с. 201)
Условие. №281 (с. 201)
скриншот условия
Алгебра, 11 класс Учебник, авторы: Арефьева Ирина Глебовна, Пирютко Ольга Николаевна, издательство Народная асвета, Минск, 2020, бирюзового цвета, страница 201, номер 281, Условие

281. Решите уравнение, выполнив замену переменной:

а) $2\cos^2 x + 3\cos x + 1 = 0;$

б) $2\sin^2 x + \sin x = 1;$

в) $6\operatorname{tg}^2 x + \operatorname{tg} x - 1 = 0;$

г) $2\sin^2 x + \cos x - 1 = 0;$

д) $4\cos^2 x - 3\sin x = 3;$

е) $2\cos^2 x + 5\sin x = 4.$

Решение. №281 (с. 201)
Алгебра, 11 класс Учебник, авторы: Арефьева Ирина Глебовна, Пирютко Ольга Николаевна, издательство Народная асвета, Минск, 2020, бирюзового цвета, страница 201, номер 281, Решение Алгебра, 11 класс Учебник, авторы: Арефьева Ирина Глебовна, Пирютко Ольга Николаевна, издательство Народная асвета, Минск, 2020, бирюзового цвета, страница 201, номер 281, Решение (продолжение 2)
Решение 2. №281 (с. 201)

а) $2\cos^2 x + 3\cos x + 1 = 0$

Данное уравнение является квадратным относительно $\cos x$. Выполним замену переменной: пусть $t = \cos x$. Поскольку область значений функции косинус есть отрезок $[-1; 1]$, то для переменной $t$ должно выполняться условие $|t| \le 1$.

После замены получаем следующее квадратное уравнение:

$2t^2 + 3t + 1 = 0$

Найдем дискриминант: $D = b^2 - 4ac = 3^2 - 4 \cdot 2 \cdot 1 = 9 - 8 = 1$.

Найдем корни уравнения:

$t_1 = \frac{-3 - \sqrt{1}}{2 \cdot 2} = \frac{-4}{4} = -1$

$t_2 = \frac{-3 + \sqrt{1}}{2 \cdot 2} = \frac{-2}{4} = -\frac{1}{2}$

Оба корня удовлетворяют условию $|t| \le 1$. Выполним обратную замену.

1. $\cos x = -1$

$x = \pi + 2\pi k, k \in \mathbb{Z}$

2. $\cos x = -\frac{1}{2}$

$x = \pm \arccos(-\frac{1}{2}) + 2\pi n = \pm \frac{2\pi}{3} + 2\pi n, n \in \mathbb{Z}$

Ответ: $x = \pi + 2\pi k, k \in \mathbb{Z}$; $x = \pm \frac{2\pi}{3} + 2\pi n, n \in \mathbb{Z}$.

б) $2\sin^2 x + \sin x = 1$

Перепишем уравнение в виде $2\sin^2 x + \sin x - 1 = 0$.

Это квадратное уравнение относительно $\sin x$. Сделаем замену: пусть $t = \sin x$, где $|t| \le 1$.

Получаем уравнение: $2t^2 + t - 1 = 0$.

Найдем дискриминант: $D = b^2 - 4ac = 1^2 - 4 \cdot 2 \cdot (-1) = 1 + 8 = 9$.

Найдем корни:

$t_1 = \frac{-1 - \sqrt{9}}{2 \cdot 2} = \frac{-4}{4} = -1$

$t_2 = \frac{-1 + \sqrt{9}}{2 \cdot 2} = \frac{2}{4} = \frac{1}{2}$

Оба корня удовлетворяют условию $|t| \le 1$. Возвращаемся к исходной переменной.

1. $\sin x = -1$

$x = -\frac{\pi}{2} + 2\pi k, k \in \mathbb{Z}$

2. $\sin x = \frac{1}{2}$

$x = (-1)^n \arcsin(\frac{1}{2}) + \pi n = (-1)^n \frac{\pi}{6} + \pi n, n \in \mathbb{Z}$

Ответ: $x = -\frac{\pi}{2} + 2\pi k, k \in \mathbb{Z}$; $x = (-1)^n \frac{\pi}{6} + \pi n, n \in \mathbb{Z}$.

в) $6\tg^2 x + \tg x - 1 = 0$

Это квадратное уравнение относительно $\tg x$. Сделаем замену: пусть $t = \tg x$. Переменная $t$ может принимать любые действительные значения. Область допустимых значений исходного уравнения: $x \neq \frac{\pi}{2} + \pi k, k \in \mathbb{Z}$.

Получаем уравнение: $6t^2 + t - 1 = 0$.

Найдем дискриминант: $D = b^2 - 4ac = 1^2 - 4 \cdot 6 \cdot (-1) = 1 + 24 = 25$.

Найдем корни:

$t_1 = \frac{-1 - \sqrt{25}}{2 \cdot 6} = \frac{-6}{12} = -\frac{1}{2}$

$t_2 = \frac-1 + \sqrt{25}}{2 \cdot 6} = \frac{4}{12} = \frac{1}{3}$

Выполним обратную замену.

1. $\tg x = -\frac{1}{2}$

$x = \arctan(-\frac{1}{2}) + \pi k = -\arctan(\frac{1}{2}) + \pi k, k \in \mathbb{Z}$

2. $\tg x = \frac{1}{3}$

$x = \arctan(\frac{1}{3}) + \pi n, n \in \mathbb{Z}$

Ответ: $x = -\arctan(\frac{1}{2}) + \pi k, k \in \mathbb{Z}$; $x = \arctan(\frac{1}{3}) + \pi n, n \in \mathbb{Z}$.

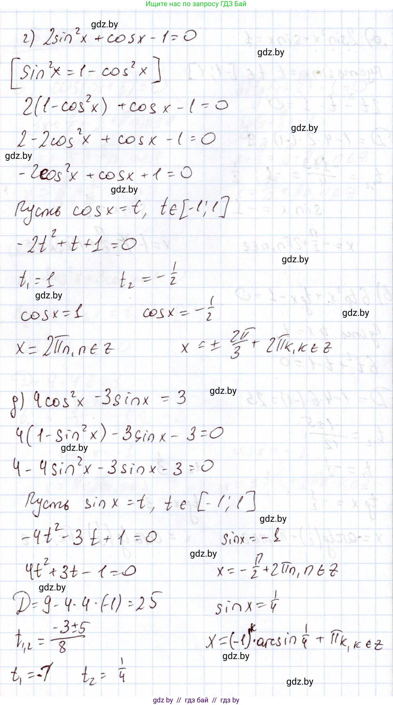
г) $2\sin^2 x + \cos x - 1 = 0$

Для приведения уравнения к одной тригонометрической функции используем основное тригонометрическое тождество $\sin^2 x = 1 - \cos^2 x$.

$2(1 - \cos^2 x) + \cos x - 1 = 0$

$2 - 2\cos^2 x + \cos x - 1 = 0$

$-2\cos^2 x + \cos x + 1 = 0$

Умножим обе части на -1: $2\cos^2 x - \cos x - 1 = 0$.

Сделаем замену: пусть $t = \cos x$, где $|t| \le 1$.

$2t^2 - t - 1 = 0$

$D = (-1)^2 - 4 \cdot 2 \cdot (-1) = 1 + 8 = 9$.

$t_1 = \frac{1 - \sqrt{9}}{2 \cdot 2} = \frac{-2}{4} = -\frac{1}{2}$

$t_2 = \frac{1 + \sqrt{9}}{2 \cdot 2} = \frac{4}{4} = 1$

Оба корня удовлетворяют условию $|t| \le 1$. Возвращаемся к $x$.

1. $\cos x = -\frac{1}{2}$

$x = \pm \frac{2\pi}{3} + 2\pi k, k \in \mathbb{Z}$

2. $\cos x = 1$

$x = 2\pi n, n \in \mathbb{Z}$

Ответ: $x = \pm \frac{2\pi}{3} + 2\pi k, k \in \mathbb{Z}$; $x = 2\pi n, n \in \mathbb{Z}$.

д) $4\cos^2 x - 3\sin x = 3$

Перенесем 3 в левую часть и используем тождество $\cos^2 x = 1 - \sin^2 x$.

$4(1 - \sin^2 x) - 3\sin x - 3 = 0$

$4 - 4\sin^2 x - 3\sin x - 3 = 0$

$-4\sin^2 x - 3\sin x + 1 = 0$

Умножим на -1: $4\sin^2 x + 3\sin x - 1 = 0$.

Сделаем замену: пусть $t = \sin x$, где $|t| \le 1$.

$4t^2 + 3t - 1 = 0$

$D = 3^2 - 4 \cdot 4 \cdot (-1) = 9 + 16 = 25$.

$t_1 = \frac{-3 - \sqrt{25}}{2 \cdot 4} = \frac{-8}{8} = -1$

$t_2 = \frac{-3 + \sqrt{25}}{2 \cdot 4} = \frac{2}{8} = \frac{1}{4}$

Оба корня удовлетворяют условию $|t| \le 1$. Возвращаемся к $x$.

1. $\sin x = -1$

$x = -\frac{\pi}{2} + 2\pi k, k \in \mathbb{Z}$

2. $\sin x = \frac{1}{4}$

$x = (-1)^n \arcsin(\frac{1}{4}) + \pi n, n \in \mathbb{Z}$

Ответ: $x = -\frac{\pi}{2} + 2\pi k, k \in \mathbb{Z}$; $x = (-1)^n \arcsin(\frac{1}{4}) + \pi n, n \in \mathbb{Z}$.

е) $2\cos^2 x + 5\sin x = 4$

Перенесем 4 в левую часть и используем тождество $\cos^2 x = 1 - \sin^2 x$.

$2(1 - \sin^2 x) + 5\sin x - 4 = 0$

$2 - 2\sin^2 x + 5\sin x - 4 = 0$

$-2\sin^2 x + 5\sin x - 2 = 0$

Умножим на -1: $2\sin^2 x - 5\sin x + 2 = 0$.

Сделаем замену: пусть $t = \sin x$, где $|t| \le 1$.

$2t^2 - 5t + 2 = 0$

$D = (-5)^2 - 4 \cdot 2 \cdot 2 = 25 - 16 = 9$.

$t_1 = \frac{5 - \sqrt{9}}{2 \cdot 2} = \frac{2}{4} = \frac{1}{2}$

$t_2 = \frac{5 + \sqrt{9}}{2 \cdot 2} = \frac{8}{4} = 2$

Корень $t_2 = 2$ не удовлетворяет условию $|t| \le 1$, поэтому уравнение $\sin x = 2$ не имеет решений.

Рассмотрим корень $t_1 = \frac{1}{2}$.

$\sin x = \frac{1}{2}$

$x = (-1)^k \arcsin(\frac{1}{2}) + \pi k = (-1)^k \frac{\pi}{6} + \pi k, k \in \mathbb{Z}$

Ответ: $x = (-1)^k \frac{\pi}{6} + \pi k, k \in \mathbb{Z}$.

Помогло решение? Оставьте отзыв в комментариях ниже.

Присоединяйтесь к Телеграм-группе @gdz_by_belarus

Присоединиться

Мы подготовили для вас ответ c подробным объяснением домашего задания по алгебре за 11 класс, для упражнения номер 281 расположенного на странице 201 к учебнику 2020 года издания для учащихся школ и гимназий.

Теперь на нашем сайте ГДЗ.ТОП вы всегда легко и бесплатно найдёте условие с правильным ответом на вопрос «Как решить ДЗ» и «Как сделать» задание по алгебре к упражнению №281 (с. 201), авторов: Арефьева (Ирина Глебовна), Пирютко (Ольга Николаевна), учебного пособия издательства Народная асвета.