Номер 284, страница 202 - гдз по алгебре 11 класс учебник Арефьева, Пирютко

Алгебра, 11 класс Учебник, авторы: Арефьева Ирина Глебовна, Пирютко Ольга Николаевна, издательство Народная асвета, Минск, 2020, бирюзового цвета

Авторы: Арефьева И. Г., Пирютко О. Н.

Тип: Учебник

Издательство: Народная асвета

Год издания: 2020 - 2026

Цвет обложки: бирюзовый, зелёный с графиком

ISBN: 978-985-03-3165-6

Популярные ГДЗ в 11 классе

Упражнения для итогового повторения. Выражения и их преобразования - номер 284, страница 202.

№284 (с. 202)
Условие. №284 (с. 202)
скриншот условия
Алгебра, 11 класс Учебник, авторы: Арефьева Ирина Глебовна, Пирютко Ольга Николаевна, издательство Народная асвета, Минск, 2020, бирюзового цвета, страница 202, номер 284, Условие

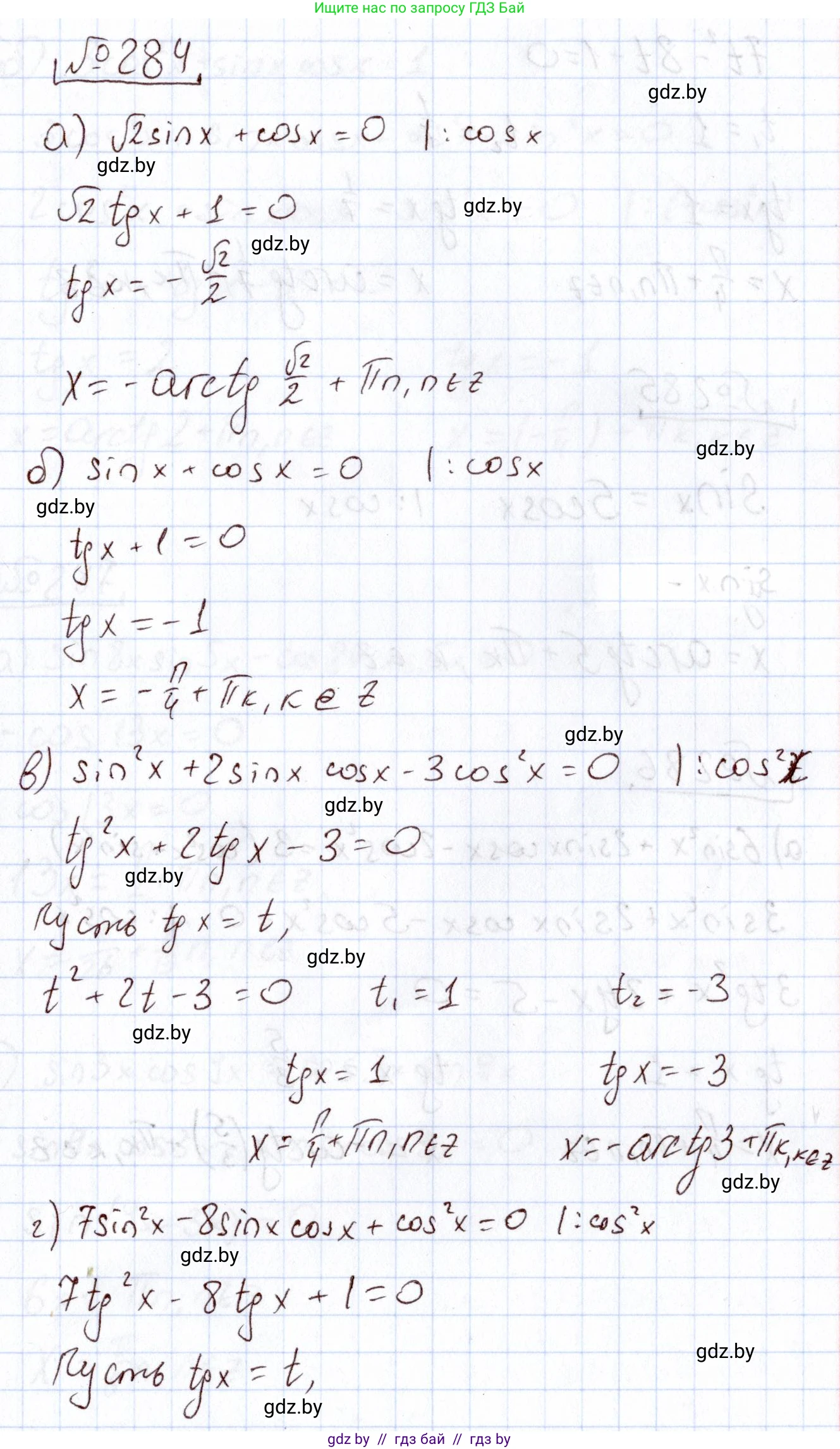
284. Решите однородное тригонометрическое уравнение:

a) $\sqrt{2}\sin x + \cos x = 0;$

б) $\sin x + \cos x = 0;$

в) $\sin^2 x + 2\sin x \cos x - 3\cos^2 x = 0;$

г) $7\sin^2 x - 8\sin x \cos x + \cos^2 x = 0.$

Решение. №284 (с. 202)
Алгебра, 11 класс Учебник, авторы: Арефьева Ирина Глебовна, Пирютко Ольга Николаевна, издательство Народная асвета, Минск, 2020, бирюзового цвета, страница 202, номер 284, Решение Алгебра, 11 класс Учебник, авторы: Арефьева Ирина Глебовна, Пирютко Ольга Николаевна, издательство Народная асвета, Минск, 2020, бирюзового цвета, страница 202, номер 284, Решение (продолжение 2)
Решение 2. №284 (с. 202)

а) Дано однородное тригонометрическое уравнение первой степени: $\sqrt{2}\sin x + \cos x = 0$.
Сначала проверим, могут ли быть решения, когда $\cos x = 0$. Если $\cos x = 0$, то $x = \frac{\pi}{2} + \pi k$ для $k \in \mathbb{Z}$. В этих точках $\sin x = \pm 1$. Подставляя в исходное уравнение, получаем: $\sqrt{2}(\pm 1) + 0 \neq 0$. Это означает, что $\cos x$ не может быть равен нулю.
Поскольку $\cos x \neq 0$, мы можем разделить обе части уравнения на $\cos x$:
$\frac{\sqrt{2}\sin x}{\cos x} + \frac{\cos x}{\cos x} = 0$
Используя определение тангенса $\tan x = \frac{\sin x}{\cos x}$, получаем:
$\sqrt{2}\tan x + 1 = 0$
$\sqrt{2}\tan x = -1$
$\tan x = -\frac{1}{\sqrt{2}}$
Решение этого уравнения имеет вид:
$x = \arctan(-\frac{1}{\sqrt{2}}) + \pi n, n \in \mathbb{Z}$
Используя свойство арктангенса $\arctan(-a) = -\arctan(a)$, окончательно получаем:
$x = -\arctan(\frac{1}{\sqrt{2}}) + \pi n, n \in \mathbb{Z}$.
Ответ: $x = -\arctan\frac{1}{\sqrt{2}} + \pi n, n \in \mathbb{Z}$.

б) Дано однородное тригонометрическое уравнение первой степени: $\sin x + \cos x = 0$.
Как и в предыдущем примере, $\cos x \neq 0$, так как если $\cos x = 0$, то $\sin x = \pm 1$, и уравнение $\pm 1 + 0 = 0$ неверно.
Разделим обе части уравнения на $\cos x$:
$\frac{\sin x}{\cos x} + \frac{\cos x}{\cos x} = 0$
$\tan x + 1 = 0$
$\tan x = -1$
Решение этого простейшего тригонометрического уравнения:
$x = -\frac{\pi}{4} + \pi n, n \in \mathbb{Z}$.
Ответ: $x = -\frac{\pi}{4} + \pi n, n \in \mathbb{Z}$.

в) Дано однородное тригонометрическое уравнение второй степени: $\sin^2 x + 2\sin x\cos x - 3\cos^2 x = 0$.
Проверим случай $\cos x = 0$. Если $\cos x = 0$, уравнение принимает вид $\sin^2 x = 0$, что означает $\sin x = 0$. Однако, $\sin x$ и $\cos x$ не могут быть равны нулю одновременно, так как основное тригонометрическое тождество гласит $\sin^2 x + \cos^2 x = 1$. Следовательно, $\cos x \neq 0$.
Разделим обе части уравнения на $\cos^2 x$:
$\frac{\sin^2 x}{\cos^2 x} + \frac{2\sin x\cos x}{\cos^2 x} - \frac{3\cos^2 x}{\cos^2 x} = 0$
$\tan^2 x + 2\tan x - 3 = 0$
Это квадратное уравнение относительно $\tan x$. Сделаем замену $t = \tan x$:
$t^2 + 2t - 3 = 0$
Используя теорему Виета или формулу для корней квадратного уравнения, находим корни: $t_1 = 1$ и $t_2 = -3$.
Теперь вернемся к исходной переменной:
1) $\tan x = 1 \implies x = \frac{\pi}{4} + \pi n, n \in \mathbb{Z}$.
2) $\tan x = -3 \implies x = \arctan(-3) + \pi k, k \in \mathbb{Z}$ или $x = -\arctan(3) + \pi k, k \in \mathbb{Z}$.
Ответ: $x = \frac{\pi}{4} + \pi n, n \in \mathbb{Z}; \quad x = -\arctan(3) + \pi k, k \in \mathbb{Z}$.

г) Дано однородное тригонометрическое уравнение второй степени: $7\sin^2 x - 8\sin x\cos x + \cos^2 x = 0$.
Аналогично пункту в), можно показать, что $\cos x \neq 0$.
Разделим обе части уравнения на $\cos^2 x$:
$\frac{7\sin^2 x}{\cos^2 x} - \frac{8\sin x\cos x}{\cos^2 x} + \frac{\cos^2 x}{\cos^2 x} = 0$
$7\tan^2 x - 8\tan x + 1 = 0$
Сделаем замену $t = \tan x$:
$7t^2 - 8t + 1 = 0$
Найдем корни этого квадратного уравнения. Дискриминант $D = b^2 - 4ac = (-8)^2 - 4 \cdot 7 \cdot 1 = 64 - 28 = 36$.
Корни: $t = \frac{-b \pm \sqrt{D}}{2a} = \frac{8 \pm \sqrt{36}}{2 \cdot 7} = \frac{8 \pm 6}{14}$.
$t_1 = \frac{8 + 6}{14} = \frac{14}{14} = 1$
$t_2 = \frac{8 - 6}{14} = \frac{2}{14} = \frac{1}{7}$
Возвращаемся к переменной $x$:
1) $\tan x = 1 \implies x = \frac{\pi}{4} + \pi n, n \in \mathbb{Z}$.
2) $\tan x = \frac{1}{7} \implies x = \arctan(\frac{1}{7}) + \pi k, k \in \mathbb{Z}$.
Ответ: $x = \frac{\pi}{4} + \pi n, n \in \mathbb{Z}; \quad x = \arctan\frac{1}{7} + \pi k, k \in \mathbb{Z}$.

Помогло решение? Оставьте отзыв в комментариях ниже.

Присоединяйтесь к Телеграм-группе @gdz_by_belarus

Присоединиться

Мы подготовили для вас ответ c подробным объяснением домашего задания по алгебре за 11 класс, для упражнения номер 284 расположенного на странице 202 к учебнику 2020 года издания для учащихся школ и гимназий.

Теперь на нашем сайте ГДЗ.ТОП вы всегда легко и бесплатно найдёте условие с правильным ответом на вопрос «Как решить ДЗ» и «Как сделать» задание по алгебре к упражнению №284 (с. 202), авторов: Арефьева (Ирина Глебовна), Пирютко (Ольга Николаевна), учебного пособия издательства Народная асвета.