Номер 287, страница 202 - гдз по алгебре 11 класс учебник Арефьева, Пирютко

Алгебра, 11 класс Учебник, авторы: Арефьева Ирина Глебовна, Пирютко Ольга Николаевна, издательство Народная асвета, Минск, 2020, бирюзового цвета

Авторы: Арефьева И. Г., Пирютко О. Н.

Тип: Учебник

Издательство: Народная асвета

Год издания: 2020 - 2026

Цвет обложки: бирюзовый, зелёный с графиком

ISBN: 978-985-03-3165-6

Популярные ГДЗ в 11 классе

Упражнения для итогового повторения. Выражения и их преобразования - номер 287, страница 202.

№287 (с. 202)
Условие. №287 (с. 202)
скриншот условия
Алгебра, 11 класс Учебник, авторы: Арефьева Ирина Глебовна, Пирютко Ольга Николаевна, издательство Народная асвета, Минск, 2020, бирюзового цвета, страница 202, номер 287, Условие

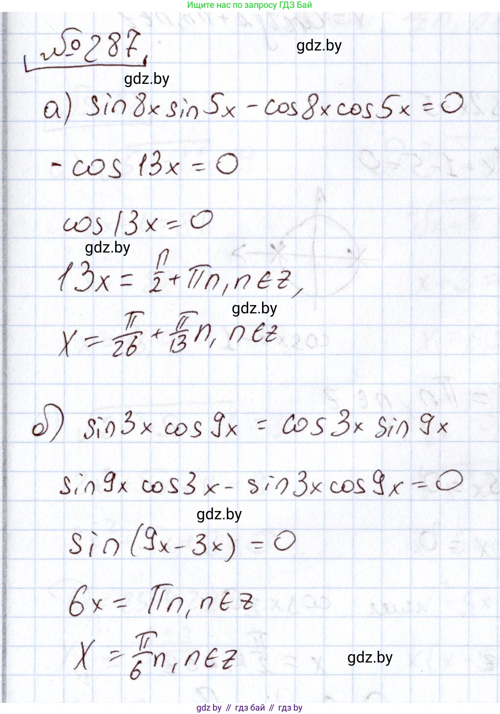
287. Решите уравнение, используя различные тригонометрические формулы:

а) $\sin 8x \sin 5x - \cos 8x \cos 5x = 0;$

б) $\sin 3x \cos 9x = \cos 3x \sin 9x;$

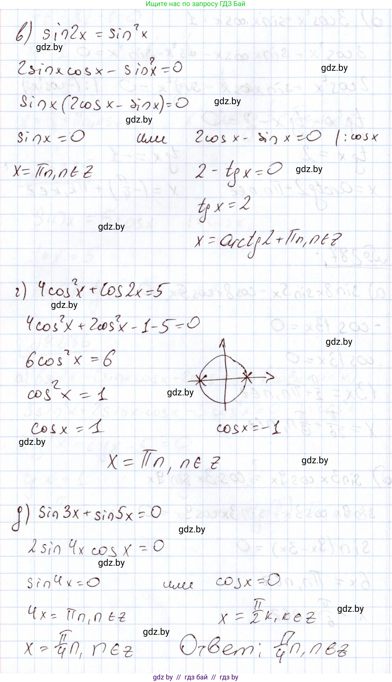
в) $\sin 2x = \sin^2 x;$

г) $4 \cos^2 x + \cos 2x = 5;$

д) $\sin 3x + \sin 5x = 0;$

е) $\cos 8x = \cos 6x.$

Решение. №287 (с. 202)
Алгебра, 11 класс Учебник, авторы: Арефьева Ирина Глебовна, Пирютко Ольга Николаевна, издательство Народная асвета, Минск, 2020, бирюзового цвета, страница 202, номер 287, Решение Алгебра, 11 класс Учебник, авторы: Арефьева Ирина Глебовна, Пирютко Ольга Николаевна, издательство Народная асвета, Минск, 2020, бирюзового цвета, страница 202, номер 287, Решение (продолжение 2)
Решение 2. №287 (с. 202)

а) $sin(8x)sin(5x) - cos(8x)cos(5x) = 0$
Умножим уравнение на -1:
$cos(8x)cos(5x) - sin(8x)sin(5x) = 0$
Это выражение в левой части является формулой косинуса суммы. Используем формулу $cos(\alpha + \beta) = cos(\alpha)cos(\beta) - sin(\alpha)sin(\beta)$:
$cos(8x + 5x) = 0$
$cos(13x) = 0$
Это простейшее тригонометрическое уравнение, решение которого имеет вид:
$13x = \frac{\pi}{2} + \pi n$, где $n \in Z$
Выразим $x$:
$x = \frac{\pi}{26} + \frac{\pi n}{13}$, где $n \in Z$
Ответ: $x = \frac{\pi}{26} + \frac{\pi n}{13}$, где $n \in Z$.

б) $sin(3x)cos(9x) = cos(3x)sin(9x)$
Перенесем все члены в одну сторону уравнения:
$sin(9x)cos(3x) - cos(9x)sin(3x) = 0$
Это выражение в левой части является формулой синуса разности. Используем формулу $sin(\alpha - \beta) = sin(\alpha)cos(\beta) - cos(\alpha)sin(\beta)$:
$sin(9x - 3x) = 0$
$sin(6x) = 0$
Это простейшее тригонометрическое уравнение, решение которого имеет вид:
$6x = \pi n$, где $n \in Z$
Выразим $x$:
$x = \frac{\pi n}{6}$, где $n \in Z$
Ответ: $x = \frac{\pi n}{6}$, где $n \in Z$.

в) $sin(2x) = sin^2(x)$
Применим формулу синуса двойного угла $sin(2x) = 2sin(x)cos(x)$:
$2sin(x)cos(x) = sin^2(x)$
Перенесем все в левую часть и вынесем общий множитель $sin(x)$ за скобки:
$2sin(x)cos(x) - sin^2(x) = 0$
$sin(x)(2cos(x) - sin(x)) = 0$
Произведение равно нулю, когда один из множителей равен нулю. Это приводит к двум независимым уравнениям:
1) $sin(x) = 0$
Отсюда $x = \pi n$, где $n \in Z$.
2) $2cos(x) - sin(x) = 0$
Это однородное тригонометрическое уравнение. Заметим, что $cos(x) \neq 0$, так как если $cos(x)=0$, то из уравнения следовало бы, что и $sin(x) = 0$, что невозможно. Поэтому мы можем разделить обе части уравнения на $cos(x)$:
$2 - \frac{sin(x)}{cos(x)} = 0$
$2 - tan(x) = 0$
$tan(x) = 2$
Отсюда $x = arctan(2) + \pi k$, где $k \in Z$.
Объединяя решения из обоих случаев, получаем две серии корней.
Ответ: $x = \pi n$; $x = arctan(2) + \pi k$, где $n, k \in Z$.

г) $4cos^2(x) + cos(2x) = 5$
Применим формулу косинуса двойного угла в виде $cos(2x) = 2cos^2(x) - 1$, чтобы привести уравнение к одной тригонометрической функции:
$4cos^2(x) + (2cos^2(x) - 1) = 5$
$6cos^2(x) - 1 = 5$
$6cos^2(x) = 6$
$cos^2(x) = 1$
Это уравнение эквивалентно двум простейшим уравнениям:
1) $cos(x) = 1 \Rightarrow x = 2\pi n$, где $n \in Z$.
2) $cos(x) = -1 \Rightarrow x = \pi + 2\pi k = \pi(2k+1)$, где $k \in Z$.
Первая серия решений ($2\pi n$) дает четные кратные $\pi$, а вторая ($\pi(2k+1)$) - нечетные кратные $\pi$. Вместе они составляют все целые кратные $\pi$.
Объединенное решение можно записать как $x = \pi m$, где $m \in Z$.
Ответ: $x = \pi m$, где $m \in Z$.

д) $sin(3x) + sin(5x) = 0$
Используем формулу преобразования суммы синусов в произведение: $sin(\alpha) + sin(\beta) = 2sin(\frac{\alpha+\beta}{2})cos(\frac{\alpha-\beta}{2})$:
$2sin(\frac{5x+3x}{2})cos(\frac{5x-3x}{2}) = 0$
$2sin(4x)cos(x) = 0$
Произведение равно нулю, когда один из множителей равен нулю:
1) $sin(4x) = 0$
$4x = \pi n$, где $n \in Z$
$x = \frac{\pi n}{4}$
2) $cos(x) = 0$
$x = \frac{\pi}{2} + \pi k$, где $k \in Z$
Сравним две полученные серии решений. Заметим, что вторая серия решений является подмножеством первой. Например, при $n=2$ в первой серии получаем $x = \frac{2\pi}{4} = \frac{\pi}{2}$, что соответствует $k=0$ во второй серии. При $n=6$ получаем $x = \frac{6\pi}{4} = \frac{3\pi}{2}$, что соответствует $k=1$ во второй серии. В общем, решения вида $x = \frac{\pi}{2} + \pi k$ получаются из $x = \frac{\pi n}{4}$ при нечетных $n=2k+1$ (ошибка в рассуждении, $n=2+4k$). Правильно будет сказать, что все решения второго типа содержатся в первом. Следовательно, достаточно записать только первую, более общую, серию решений.
Ответ: $x = \frac{\pi n}{4}$, где $n \in Z$.

е) $cos(8x) = cos(6x)$
Перенесем все в левую часть:
$cos(8x) - cos(6x) = 0$
Используем формулу преобразования разности косинусов в произведение: $cos(\alpha) - cos(\beta) = -2sin(\frac{\alpha+\beta}{2})sin(\frac{\alpha-\beta}{2})$:
$-2sin(\frac{8x+6x}{2})sin(\frac{8x-6x}{2}) = 0$
$-2sin(7x)sin(x) = 0$
Произведение равно нулю, когда один из множителей равен нулю:
1) $sin(7x) = 0$
$7x = \pi k$, где $k \in Z$
$x = \frac{\pi k}{7}$
2) $sin(x) = 0$
$x = \pi n$, где $n \in Z$
Сравним две серии решений. Если в первой серии $k$ является кратным 7, то есть $k=7n$ для некоторого целого $n$, то мы получаем $x = \frac{\pi (7n)}{7} = \pi n$. Это означает, что вторая серия решений ($x = \pi n$) является подмножеством первой серии ($x = \frac{\pi k}{7}$).
Таким образом, все решения уравнения описываются первой, более общей формулой.
Ответ: $x = \frac{\pi k}{7}$, где $k \in Z$.

Помогло решение? Оставьте отзыв в комментариях ниже.

Присоединяйтесь к Телеграм-группе @gdz_by_belarus

Присоединиться

Мы подготовили для вас ответ c подробным объяснением домашего задания по алгебре за 11 класс, для упражнения номер 287 расположенного на странице 202 к учебнику 2020 года издания для учащихся школ и гимназий.

Теперь на нашем сайте ГДЗ.ТОП вы всегда легко и бесплатно найдёте условие с правильным ответом на вопрос «Как решить ДЗ» и «Как сделать» задание по алгебре к упражнению №287 (с. 202), авторов: Арефьева (Ирина Глебовна), Пирютко (Ольга Николаевна), учебного пособия издательства Народная асвета.