Номер 300, страница 203 - гдз по алгебре 11 класс учебник Арефьева, Пирютко

Алгебра, 11 класс Учебник, авторы: Арефьева Ирина Глебовна, Пирютко Ольга Николаевна, издательство Народная асвета, Минск, 2020, бирюзового цвета

Авторы: Арефьева И. Г., Пирютко О. Н.

Тип: Учебник

Издательство: Народная асвета

Год издания: 2020 - 2026

Цвет обложки: бирюзовый, зелёный с графиком

ISBN: 978-985-03-3165-6

Популярные ГДЗ в 11 классе

Упражнения для итогового повторения. Выражения и их преобразования - номер 300, страница 203.

№300 (с. 203)
Условие. №300 (с. 203)
скриншот условия
Алгебра, 11 класс Учебник, авторы: Арефьева Ирина Глебовна, Пирютко Ольга Николаевна, издательство Народная асвета, Минск, 2020, бирюзового цвета, страница 203, номер 300, Условие

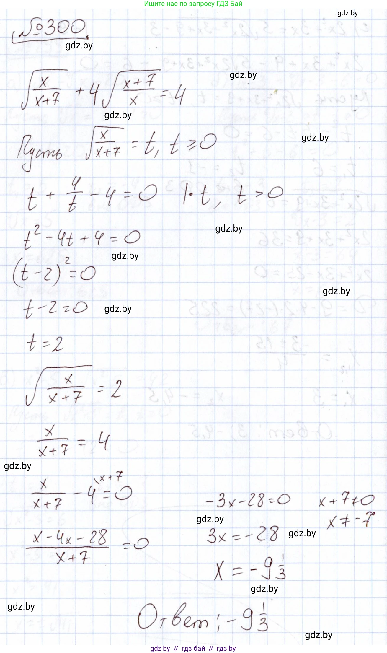
300. Найдите корни уравнения $\sqrt{\frac{x}{x+7}} + 4\sqrt{\frac{x+7}{x}} = 4$.

Решение. №300 (с. 203)
Алгебра, 11 класс Учебник, авторы: Арефьева Ирина Глебовна, Пирютко Ольга Николаевна, издательство Народная асвета, Минск, 2020, бирюзового цвета, страница 203, номер 300, Решение
Решение 2. №300 (с. 203)

Данное иррациональное уравнение: $ \sqrt{\frac{x}{x+7}} + 4\sqrt{\frac{x+7}{x}} = 4 $.

В первую очередь определим область допустимых значений (ОДЗ). Выражения, находящиеся под знаком квадратного корня, должны быть неотрицательными, а знаменатели дробей не должны обращаться в ноль.

Это приводит к системе условий:$ \frac{x}{x+7} \ge 0 $ и $ x \ne 0 $, $ x+7 \ne 0 $.

Решим неравенство $ \frac{x}{x+7} \ge 0 $ с помощью метода интервалов. На числовой прямой отметим точки, в которых числитель или знаменатель равны нулю: $ x = 0 $ и $ x = -7 $. Эти точки делят прямую на три интервала: $ (-\infty, -7) $, $ (-7, 0) $ и $ (0, \infty) $.

Проверим знак выражения на каждом интервале:

  • При $ x \in (-\infty, -7) $ (например, $ x = -8 $), дробь $ \frac{-8}{-8+7} = 8 > 0 $. Интервал подходит.
  • При $ x \in (-7, 0) $ (например, $ x = -1 $), дробь $ \frac{-1}{-1+7} = -\frac{1}{6} < 0 $. Интервал не подходит.
  • При $ x \in (0, \infty) $ (например, $ x = 1 $), дробь $ \frac{1}{1+7} = \frac{1}{8} > 0 $. Интервал подходит.

Таким образом, с учетом того, что знаменатели не могут быть равны нулю ($ x \ne -7 $ и $ x \ne 0 $), ОДЗ уравнения: $ x \in (-\infty, -7) \cup (0, \infty) $.

Заметим, что выражения под корнями $ \frac{x}{x+7} $ и $ \frac{x+7}{x} $ являются взаимно обратными. Это свойство позволяет упростить уравнение с помощью введения новой переменной.

Пусть $ y = \sqrt{\frac{x}{x+7}} $. Поскольку значение арифметического квадратного корня не может быть отрицательным, $ y \ge 0 $. Также из ОДЗ известно, что $ x \ne 0 $, значит и $ y \ne 0 $. Следовательно, $ y > 0 $.

Тогда второй корень можно выразить через $ y $: $ \sqrt{\frac{x+7}{x}} = \frac{1}{\sqrt{\frac{x}{x+7}}} = \frac{1}{y} $.

Подставим новую переменную в исходное уравнение:$ y + 4 \cdot \frac{1}{y} = 4 $.

Умножим обе части этого уравнения на $ y $ (мы можем это сделать, так как $ y > 0 $):$ y^2 + 4 = 4y $.

Перенесем все члены в левую часть, чтобы получить стандартное квадратное уравнение:$ y^2 - 4y + 4 = 0 $.

Это уравнение является полным квадратом разности:$ (y-2)^2 = 0 $.

Отсюда находим единственное решение для $ y $:$ y - 2 = 0 \implies y = 2 $.

Это значение удовлетворяет условию $ y > 0 $.

Теперь выполним обратную замену, чтобы найти $ x $:$ \sqrt{\frac{x}{x+7}} = 2 $.

Возведем обе части уравнения в квадрат:$ \frac{x}{x+7} = 2^2 $$ \frac{x}{x+7} = 4 $.

Решим полученное рациональное уравнение, умножив обе части на $ x+7 $:$ x = 4(x+7) $$ x = 4x + 28 $.

Сгруппируем члены с $ x $:$ x - 4x = 28 $$ -3x = 28 $.

Отсюда находим $ x $:$ x = -\frac{28}{3} $.

Проверим, принадлежит ли найденный корень ОДЗ: $ x \in (-\infty, -7) \cup (0, \infty) $. Значение $ x = -\frac{28}{3} = -9\frac{1}{3} $. Поскольку $ -9\frac{1}{3} < -7 $, корень входит в область допустимых значений.

Ответ: $-\frac{28}{3}$

Помогло решение? Оставьте отзыв в комментариях ниже.

Присоединяйтесь к Телеграм-группе @gdz_by_belarus

Присоединиться

Мы подготовили для вас ответ c подробным объяснением домашего задания по алгебре за 11 класс, для упражнения номер 300 расположенного на странице 203 к учебнику 2020 года издания для учащихся школ и гимназий.

Теперь на нашем сайте ГДЗ.ТОП вы всегда легко и бесплатно найдёте условие с правильным ответом на вопрос «Как решить ДЗ» и «Как сделать» задание по алгебре к упражнению №300 (с. 203), авторов: Арефьева (Ирина Глебовна), Пирютко (Ольга Николаевна), учебного пособия издательства Народная асвета.