Номер 304, страница 204 - гдз по алгебре 11 класс учебник Арефьева, Пирютко

Алгебра, 11 класс Учебник, авторы: Арефьева Ирина Глебовна, Пирютко Ольга Николаевна, издательство Народная асвета, Минск, 2020, бирюзового цвета

Авторы: Арефьева И. Г., Пирютко О. Н.

Тип: Учебник

Издательство: Народная асвета

Год издания: 2020 - 2026

Цвет обложки: бирюзовый, зелёный с графиком

ISBN: 978-985-03-3165-6

Популярные ГДЗ в 11 классе

Упражнения для итогового повторения. Выражения и их преобразования - номер 304, страница 204.

№304 (с. 204)
Условие. №304 (с. 204)
скриншот условия
Алгебра, 11 класс Учебник, авторы: Арефьева Ирина Глебовна, Пирютко Ольга Николаевна, издательство Народная асвета, Минск, 2020, бирюзового цвета, страница 204, номер 304, Условие

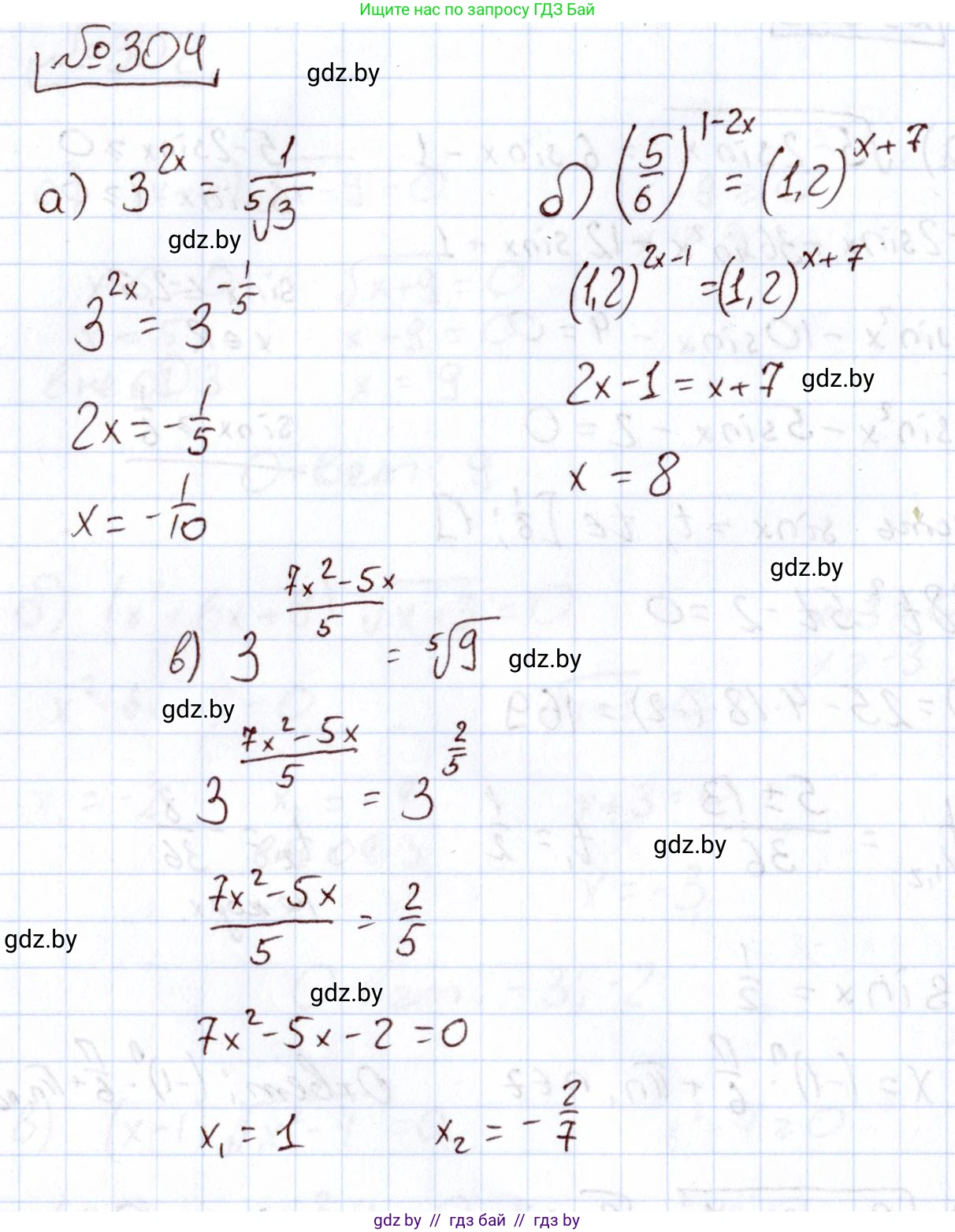
304. Приведите левую и правую части уравнения к степеням с одинаковым основанием и решите уравнение:

a) $3^{2x} = \frac{1}{\sqrt[5]{3}}$

б) $\left(\frac{5}{6}\right)^{1-2x} = (1,2)^{x+7}$

в) $3^{\frac{7x^2 - 5x}{5}} = \sqrt[5]{9}$

Решение. №304 (с. 204)
Алгебра, 11 класс Учебник, авторы: Арефьева Ирина Глебовна, Пирютко Ольга Николаевна, издательство Народная асвета, Минск, 2020, бирюзового цвета, страница 204, номер 304, Решение
Решение 2. №304 (с. 204)

а) $3^{2x} = \frac{1}{\sqrt[5]{3}}$

Чтобы решить данное показательное уравнение, необходимо привести обе его части к степеням с одинаковым основанием. В данном случае это основание 3.

Левая часть уравнения, $3^{2x}$, уже представлена в виде степени с основанием 3.

Преобразуем правую часть уравнения. Используем свойство корня $\sqrt[n]{a} = a^{1/n}$ и свойство отрицательной степени $\frac{1}{a^m} = a^{-m}$:
$\frac{1}{\sqrt[5]{3}} = \frac{1}{3^{1/5}} = 3^{-1/5}$.

Теперь уравнение можно записать в виде:
$3^{2x} = 3^{-1/5}$.

Так как основания степеней в обеих частях уравнения равны, мы можем приравнять их показатели:
$2x = -\frac{1}{5}$.

Решаем полученное линейное уравнение относительно $x$:
$x = (-\frac{1}{5}) \div 2 = -\frac{1}{5 \cdot 2} = -\frac{1}{10}$.

Ответ: $x = -\frac{1}{10}$.

б) $(\frac{5}{6})^{1-2x} = (1,2)^{x+7}$

Приведем обе части уравнения к одному основанию. Для этого представим десятичную дробь 1,2 в виде обыкновенной дроби:
$1.2 = \frac{12}{10} = \frac{6}{5}$.

Уравнение принимает вид:
$(\frac{5}{6})^{1-2x} = (\frac{6}{5})^{x+7}$.

Основания степеней $\frac{5}{6}$ и $\frac{6}{5}$ являются взаимно обратными числами. Воспользуемся свойством степени $(\frac{a}{b})^{-n} = (\frac{b}{a})^n$, чтобы выразить одно основание через другое:
$\frac{6}{5} = (\frac{5}{6})^{-1}$.

Подставим это выражение в правую часть уравнения:
$(\frac{5}{6})^{1-2x} = ((\frac{5}{6})^{-1})^{x+7}$.

По свойству возведения степени в степень $(a^m)^n = a^{mn}$ упростим правую часть:
$((\frac{5}{6})^{-1})^{x+7} = (\frac{5}{6})^{-1 \cdot (x+7)} = (\frac{5}{6})^{-x-7}$.

Теперь уравнение имеет вид:
$(\frac{5}{6})^{1-2x} = (\frac{5}{6})^{-x-7}$.

Поскольку основания равны, приравниваем показатели степеней:
$1 - 2x = -x - 7$.

Решим полученное линейное уравнение:
$1 + 7 = 2x - x$
$8 = x$.

Ответ: $x = 8$.

в) $3^{\frac{7x^2-5x}{5}} = \sqrt[5]{9}$

Приведем обе части уравнения к степени с основанием 3. Левая часть уже имеет нужное основание.

Преобразуем правую часть. Сначала представим число 9 как степень числа 3: $9 = 3^2$.
Теперь корень можно записать как $\sqrt[5]{9} = \sqrt[5]{3^2}$.

Используя свойство $\sqrt[n]{a^m} = a^{m/n}$, получим:
$\sqrt[5]{3^2} = 3^{2/5}$.

Исходное уравнение принимает вид:
$3^{\frac{7x^2-5x}{5}} = 3^{2/5}$.

Так как основания равны, приравниваем показатели:
$\frac{7x^2-5x}{5} = \frac{2}{5}$.

Умножим обе части уравнения на 5:
$7x^2 - 5x = 2$.

Перенесем все члены в левую часть, чтобы получить стандартное квадратное уравнение:
$7x^2 - 5x - 2 = 0$.

Решим это уравнение через дискриминант $D = b^2 - 4ac$, где $a=7$, $b=-5$, $c=-2$:
$D = (-5)^2 - 4 \cdot 7 \cdot (-2) = 25 + 56 = 81$.

Найдем корни уравнения по формуле $x_{1,2} = \frac{-b \pm \sqrt{D}}{2a}$:
$x_1 = \frac{-(-5) + \sqrt{81}}{2 \cdot 7} = \frac{5 + 9}{14} = \frac{14}{14} = 1$.
$x_2 = \frac{-(-5) - \sqrt{81}}{2 \cdot 7} = \frac{5 - 9}{14} = \frac{-4}{14} = -\frac{2}{7}$.

Ответ: $x_1 = 1, x_2 = -\frac{2}{7}$.

Помогло решение? Оставьте отзыв в комментариях ниже.

Присоединяйтесь к Телеграм-группе @gdz_by_belarus

Присоединиться

Мы подготовили для вас ответ c подробным объяснением домашего задания по алгебре за 11 класс, для упражнения номер 304 расположенного на странице 204 к учебнику 2020 года издания для учащихся школ и гимназий.

Теперь на нашем сайте ГДЗ.ТОП вы всегда легко и бесплатно найдёте условие с правильным ответом на вопрос «Как решить ДЗ» и «Как сделать» задание по алгебре к упражнению №304 (с. 204), авторов: Арефьева (Ирина Глебовна), Пирютко (Ольга Николаевна), учебного пособия издательства Народная асвета.