Номер 302, страница 204 - гдз по алгебре 11 класс учебник Арефьева, Пирютко

Алгебра, 11 класс Учебник, авторы: Арефьева Ирина Глебовна, Пирютко Ольга Николаевна, издательство Народная асвета, Минск, 2020, бирюзового цвета

Авторы: Арефьева И. Г., Пирютко О. Н.

Тип: Учебник

Издательство: Народная асвета

Год издания: 2020 - 2026

Цвет обложки: бирюзовый, зелёный с графиком

ISBN: 978-985-03-3165-6

Популярные ГДЗ в 11 классе

Упражнения для итогового повторения. Выражения и их преобразования - номер 302, страница 204.

№302 (с. 204)
Условие. №302 (с. 204)
скриншот условия
Алгебра, 11 класс Учебник, авторы: Арефьева Ирина Глебовна, Пирютко Ольга Николаевна, издательство Народная асвета, Минск, 2020, бирюзового цвета, страница 204, номер 302, Условие

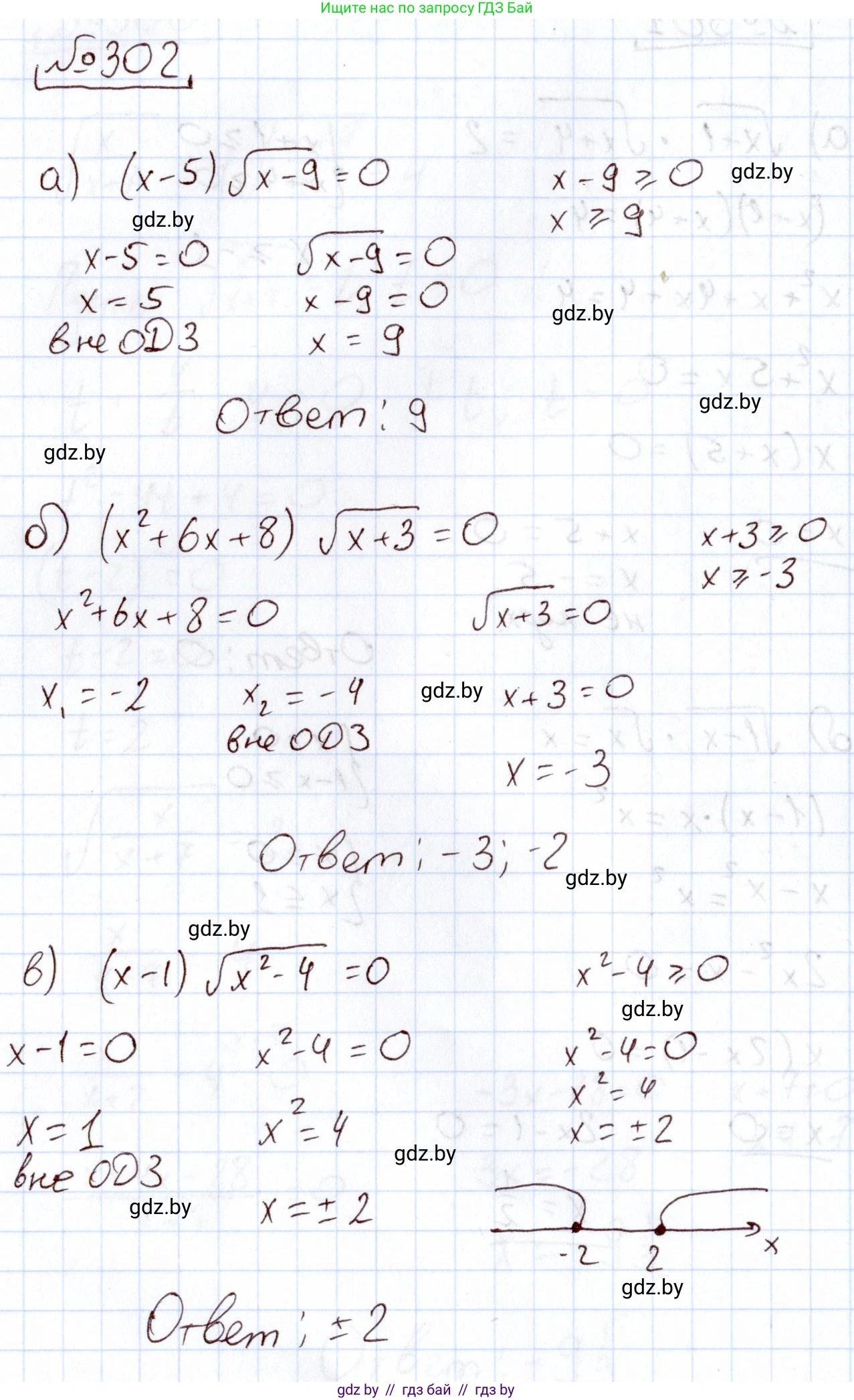
302. Примените свойство о равенстве произведения нулю и решите уравнение:

а) $(x - 5)\sqrt{x - 9} = 0;$

б) $(x^2 + 6x + 8)\sqrt{x + 3} = 0;$

в) $(x - 1)\sqrt{x^2 - 4} = 0.$

Решение. №302 (с. 204)
Алгебра, 11 класс Учебник, авторы: Арефьева Ирина Глебовна, Пирютко Ольга Николаевна, издательство Народная асвета, Минск, 2020, бирюзового цвета, страница 204, номер 302, Решение
Решение 2. №302 (с. 204)

а) $(x - 5)\sqrt{x - 9} = 0$
Для решения данного уравнения воспользуемся свойством равенства произведения нулю: произведение равно нулю тогда и только тогда, когда хотя бы один из множителей равен нулю, а другие при этом имеют смысл.
Прежде всего, определим область допустимых значений (ОДЗ) для переменной $x$. Выражение под корнем должно быть неотрицательным:
$x - 9 \ge 0$
$x \ge 9$
Теперь рассмотрим два случая, при которых произведение равно нулю:
1) Первый множитель равен нулю:
$x - 5 = 0$
$x = 5$
2) Второй множитель равен нулю:
$\sqrt{x - 9} = 0$
$x - 9 = 0$
$x = 9$
Теперь необходимо проверить, принадлежат ли найденные корни ОДЗ ($x \ge 9$).
- Корень $x = 5$ не удовлетворяет условию $5 \ge 9$, следовательно, это посторонний корень.
- Корень $x = 9$ удовлетворяет условию $9 \ge 9$, следовательно, это является решением уравнения.
Ответ: $9$.

б) $(x^2 + 6x + 8)\sqrt{x + 3} = 0$
Найдем ОДЗ уравнения. Выражение под корнем должно быть неотрицательным:
$x + 3 \ge 0$
$x \ge -3$
Приравняем каждый множитель к нулю:
1) $x^2 + 6x + 8 = 0$
Это квадратное уравнение. Найдем его корни с помощью дискриминанта или по теореме Виета.
Дискриминант $D = b^2 - 4ac = 6^2 - 4 \cdot 1 \cdot 8 = 36 - 32 = 4$.
$x_1 = \frac{-6 - \sqrt{4}}{2} = \frac{-6 - 2}{2} = -4$
$x_2 = \frac{-6 + \sqrt{4}}{2} = \frac{-6 + 2}{2} = -2$
2) $\sqrt{x + 3} = 0$
$x + 3 = 0$
$x_3 = -3$
Проверим найденные корни $x_1 = -4$, $x_2 = -2$, $x_3 = -3$ на соответствие ОДЗ ($x \ge -3$).
- Корень $x = -4$ не удовлетворяет условию $-4 \ge -3$, значит, это посторонний корень.
- Корень $x = -2$ удовлетворяет условию $-2 \ge -3$, значит, это решение.
- Корень $x = -3$ удовлетворяет условию $-3 \ge -3$, значит, это решение.
Ответ: $-3; -2$.

в) $(x - 1)\sqrt{x^2 - 4} = 0$
Найдем ОДЗ. Выражение под корнем должно быть неотрицательным:
$x^2 - 4 \ge 0$
$(x - 2)(x + 2) \ge 0$
Это неравенство выполняется, когда $x \le -2$ или $x \ge 2$. Таким образом, ОДЗ: $x \in (-\infty, -2] \cup [2, \infty)$.
Приравняем каждый множитель к нулю:
1) $x - 1 = 0$
$x = 1$
2) $\sqrt{x^2 - 4} = 0$
$x^2 - 4 = 0$
$x^2 = 4$
$x = 2$ или $x = -2$
Проверим найденные корни $x = 1$, $x = 2$, $x = -2$ на принадлежность ОДЗ ($x \in (-\infty, -2] \cup [2, \infty)$).
- Корень $x = 1$ не входит в ОДЗ, так как он находится в интервале $(-2, 2)$. Это посторонний корень.
- Корень $x = 2$ принадлежит ОДЗ.
- Корень $x = -2$ принадлежит ОДЗ.
Ответ: $-2; 2$.

Помогло решение? Оставьте отзыв в комментариях ниже.

Присоединяйтесь к Телеграм-группе @gdz_by_belarus

Присоединиться

Мы подготовили для вас ответ c подробным объяснением домашего задания по алгебре за 11 класс, для упражнения номер 302 расположенного на странице 204 к учебнику 2020 года издания для учащихся школ и гимназий.

Теперь на нашем сайте ГДЗ.ТОП вы всегда легко и бесплатно найдёте условие с правильным ответом на вопрос «Как решить ДЗ» и «Как сделать» задание по алгебре к упражнению №302 (с. 204), авторов: Арефьева (Ирина Глебовна), Пирютко (Ольга Николаевна), учебного пособия издательства Народная асвета.