Номер 173, страница 54 - гдз по геометрии 11 класс учебник Латотин, Чеботаревский

Геометрия, 11 класс Учебник, авторы: Латотин Леонид Александрович, Чеботаревский Борис Дмитриевич, Горбунова Ирина Владимировна, Цыбулько Оксана Евгеньевна, издательство Белорусская Энциклопедия имени Петруся Бровки, Минск, 2020, белого цвета

Авторы: Латотин Л. А., Чеботаревский Б. Д., Горбунова И. В., Цыбулько О. Е.

Тип: Учебник

Издательство: Белорусская Энциклопедия имени Петруся Бровки

Год издания: 2020 - 2026

Уровень обучения: базовый и повышенный

Цвет обложки: белый в клеточку

ISBN: 978-985-11-1251-3

Допущено Министерством образования Республики Беларусь

Популярные ГДЗ в 11 классе

Раздел 2. Пирамида и конус. Параграф 3. Пирамида - номер 173, страница 54.

№173 (с. 54)
Условие. №173 (с. 54)
скриншот условия
Геометрия, 11 класс Учебник, авторы: Латотин Леонид Александрович, Чеботаревский Борис Дмитриевич, Горбунова Ирина Владимировна, Цыбулько Оксана Евгеньевна, издательство Белорусская Энциклопедия имени Петруся Бровки, Минск, 2020, белого цвета, страница 54, номер 173, Условие Геометрия, 11 класс Учебник, авторы: Латотин Леонид Александрович, Чеботаревский Борис Дмитриевич, Горбунова Ирина Владимировна, Цыбулько Оксана Евгеньевна, издательство Белорусская Энциклопедия имени Петруся Бровки, Минск, 2020, белого цвета, страница 54, номер 173, Условие (продолжение 2)

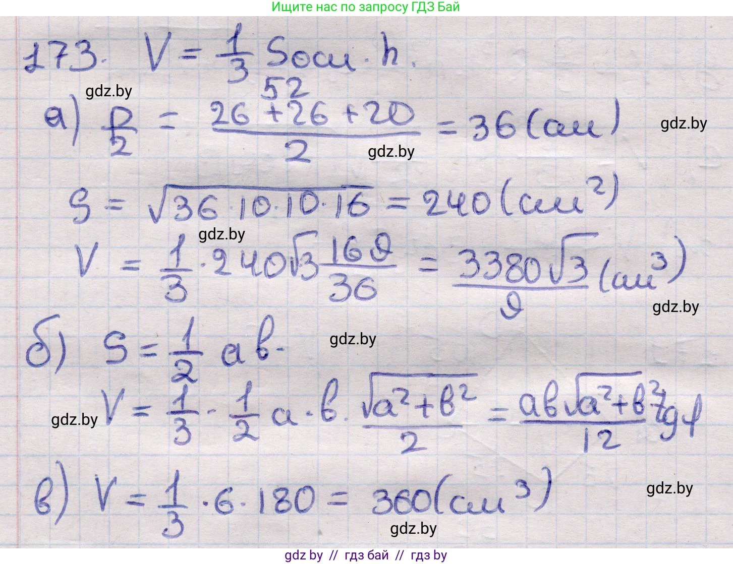
173. Найдите объем пирамиды, основанием которой является:

а) равнобедренный треугольник $ABC$ с боковыми сторонами $AB$ и $BC$, равными 26 см, и основанием $AC$, равным 20 см, а каждое боковое ребро пирамиды образует с ее высотой угол в $30^{\circ}$;

б) прямоугольный треугольник с катетами $a$ и $b$, а каждое боковое ребро наклонено к плоскости основания под углом $\varphi$;

в) ромб со стороной 15 см, каждый из двугранных углов при основании равен $45^{\circ}$, а высота пирамиды равна 6 см.

Решение 1. №173 (с. 54)
Геометрия, 11 класс Учебник, авторы: Латотин Леонид Александрович, Чеботаревский Борис Дмитриевич, Горбунова Ирина Владимировна, Цыбулько Оксана Евгеньевна, издательство Белорусская Энциклопедия имени Петруся Бровки, Минск, 2020, белого цвета, страница 54, номер 173, Решение 1 Геометрия, 11 класс Учебник, авторы: Латотин Леонид Александрович, Чеботаревский Борис Дмитриевич, Горбунова Ирина Владимировна, Цыбулько Оксана Евгеньевна, издательство Белорусская Энциклопедия имени Петруся Бровки, Минск, 2020, белого цвета, страница 54, номер 173, Решение 1 (продолжение 2)
Решение 2. №173 (с. 54)
Геометрия, 11 класс Учебник, авторы: Латотин Леонид Александрович, Чеботаревский Борис Дмитриевич, Горбунова Ирина Владимировна, Цыбулько Оксана Евгеньевна, издательство Белорусская Энциклопедия имени Петруся Бровки, Минск, 2020, белого цвета, страница 54, номер 173, Решение 2
Решение 3. №173 (с. 54)

а) Объем пирамиды вычисляется по формуле $V = \frac{1}{3}S_{осн} \cdot H$, где $S_{осн}$ — площадь основания, а $H$ — высота пирамиды.

1. Найдем площадь основания.
Основанием является равнобедренный треугольник $ABC$ со сторонами $AB = BC = 26$ см и основанием $AC = 20$ см. Проведем высоту $BH_1$ к основанию $AC$. В равнобедренном треугольнике высота является и медианой, поэтому $AH_1 = H_1C = \frac{AC}{2} = \frac{20}{2} = 10$ см.
Из прямоугольного треугольника $ABH_1$ по теореме Пифагора найдем высоту $BH_1$:
$BH_1 = \sqrt{AB^2 - AH_1^2} = \sqrt{26^2 - 10^2} = \sqrt{676 - 100} = \sqrt{576} = 24$ см.
Площадь основания равна:
$S_{осн} = \frac{1}{2} \cdot AC \cdot BH_1 = \frac{1}{2} \cdot 20 \cdot 24 = 240$ см2.

2. Найдем высоту пирамиды $H$.
По условию, каждое боковое ребро пирамиды образует с ее высотой угол в $30^\circ$. Это означает, что вершина пирамиды $S$ проецируется в центр $O$ окружности, описанной около треугольника основания $ABC$. Таким образом, отрезки $OA$, $OB$, $OC$ являются радиусом $R$ этой окружности, а высота пирамиды $H$ равна $SO$.
Радиус описанной окружности для треугольника можно найти по формуле $R = \frac{abc}{4S}$, где $a, b, c$ — стороны треугольника.
$R = \frac{AB \cdot BC \cdot AC}{4S_{осн}} = \frac{26 \cdot 26 \cdot 20}{4 \cdot 240} = \frac{13520}{960} = \frac{169}{12}$ см.
Рассмотрим прямоугольный треугольник $SOA$ (где $\angle SOA = 90^\circ$). $SO = H$, $OA = R$. Угол между боковым ребром $SA$ и высотой $SO$ равен $\angle ASO = 30^\circ$.
Из соотношений в прямоугольном треугольнике: $\text{tg}(\angle ASO) = \frac{OA}{SO} = \frac{R}{H}$.
Отсюда $H = \frac{R}{\text{tg}(30^\circ)} = \frac{169/12}{1/\sqrt{3}} = \frac{169\sqrt{3}}{12}$ см.

3. Найдем объем пирамиды.
$V = \frac{1}{3}S_{осн} \cdot H = \frac{1}{3} \cdot 240 \cdot \frac{169\sqrt{3}}{12} = 80 \cdot \frac{169\sqrt{3}}{12} = \frac{20 \cdot 169\sqrt{3}}{3} = \frac{3380\sqrt{3}}{3}$ см3.

Ответ: $\frac{3380\sqrt{3}}{3}$ см3.

б) В основании пирамиды лежит прямоугольный треугольник с катетами $a$ и $b$. Каждое боковое ребро наклонено к плоскости основания под углом $\phi$.

1. Найдем площадь основания.
Площадь прямоугольного треугольника с катетами $a$ и $b$ равна: $S_{осн} = \frac{1}{2}ab$.

2. Найдем высоту пирамиды $H$.
Так как все боковые ребра наклонены к плоскости основания под одним и тем же углом $\phi$, вершина пирамиды проецируется в центр $O$ окружности, описанной около основания. Для прямоугольного треугольника центр описанной окружности находится в середине гипотенузы.
Найдем гипотенузу $c$ по теореме Пифагора: $c = \sqrt{a^2 + b^2}$.
Радиус описанной окружности $R$ равен половине гипотенузы: $R = \frac{c}{2} = \frac{\sqrt{a^2 + b^2}}{2}$.
Высота пирамиды $H$ связана с радиусом $R$ и углом наклона ребра $\phi$ через прямоугольный треугольник, образованный высотой пирамиды $H$, проекцией бокового ребра на основание (это $R$) и самим боковым ребром. Угол $\phi$ — это угол между боковым ребром и его проекцией.
$\text{tg}(\phi) = \frac{H}{R}$.
Отсюда $H = R \cdot \text{tg}(\phi) = \frac{\sqrt{a^2 + b^2}}{2} \text{tg}(\phi)$.

3. Найдем объем пирамиды.
$V = \frac{1}{3}S_{осн} \cdot H = \frac{1}{3} \cdot \left(\frac{1}{2}ab\right) \cdot \left(\frac{\sqrt{a^2 + b^2}}{2} \text{tg}(\phi)\right) = \frac{ab \sqrt{a^2 + b^2} \text{tg}(\phi)}{12}$.

Ответ: $\frac{ab \sqrt{a^2 + b^2} \text{tg}(\phi)}{12}$.

в) В основании пирамиды лежит ромб со стороной 15 см, каждый из двугранных углов при основании равен $45^\circ$, а высота пирамиды равна 6 см.

1. Найдем площадь основания.
Так как все двугранные углы при основании равны, вершина пирамиды $S$ проецируется в центр $O$ окружности, вписанной в основание. Для ромба — это точка пересечения диагоналей. Высота пирамиды $SO = H = 6$ см.
Двугранный угол при основании — это угол между боковой гранью и плоскостью основания. Рассмотрим перпендикуляр $OK$, опущенный из точки $O$ на сторону ромба. $OK$ является радиусом вписанной окружности $r$. Треугольник $SOK$ прямоугольный, и его катет $SO$ — высота пирамиды, а угол $\angle SKO$ — линейный угол двугранного угла, равный $45^\circ$.
Из прямоугольного треугольника $SOK$:
$\text{tg}(\angle SKO) = \frac{SO}{OK} = \frac{H}{r}$.
$\text{tg}(45^\circ) = \frac{6}{r} \Rightarrow 1 = \frac{6}{r} \Rightarrow r = 6$ см.
Высота ромба $h_{ромб}$ в два раза больше радиуса вписанной окружности: $h_{ромб} = 2r = 2 \cdot 6 = 12$ см.
Площадь ромба вычисляется как произведение стороны на высоту:
$S_{осн} = \text{сторона} \cdot h_{ромб} = 15 \cdot 12 = 180$ см2.

2. Найдем объем пирамиды.
Высота пирамиды дана по условию: $H = 6$ см.
$V = \frac{1}{3}S_{осн} \cdot H = \frac{1}{3} \cdot 180 \cdot 6 = 60 \cdot 6 = 360$ см3.

Ответ: 360 см3.

Помогло решение? Оставьте отзыв в комментариях ниже.

Присоединяйтесь к Телеграм-группе @gdz_by_belarus

Присоединиться

Мы подготовили для вас ответ c подробным объяснением домашего задания по геометрии за 11 класс, для упражнения номер 173 расположенного на странице 54 к учебнику 2020 года издания для учащихся школ и гимназий.

Теперь на нашем сайте ГДЗ.ТОП вы всегда легко и бесплатно найдёте условие с правильным ответом на вопрос «Как решить ДЗ» и «Как сделать» задание по геометрии к упражнению №173 (с. 54), авторов: Латотин (Леонид Александрович), Чеботаревский (Борис Дмитриевич), Горбунова (Ирина Владимировна), Цыбулько (Оксана Евгеньевна), базовый и повышенный уровень обучения учебного пособия издательства Белорусская Энциклопедия имени Петруся Бровки.