Номер 205, страница 70 - гдз по геометрии 11 класс учебник Латотин, Чеботаревский

Геометрия, 11 класс Учебник, авторы: Латотин Леонид Александрович, Чеботаревский Борис Дмитриевич, Горбунова Ирина Владимировна, Цыбулько Оксана Евгеньевна, издательство Белорусская Энциклопедия имени Петруся Бровки, Минск, 2020, белого цвета

Авторы: Латотин Л. А., Чеботаревский Б. Д., Горбунова И. В., Цыбулько О. Е.

Тип: Учебник

Издательство: Белорусская Энциклопедия имени Петруся Бровки

Год издания: 2020 - 2026

Уровень обучения: базовый и повышенный

Цвет обложки: белый в клеточку

ISBN: 978-985-11-1251-3

Допущено Министерством образования Республики Беларусь

Популярные ГДЗ в 11 классе

Раздел 2. Пирамида и конус. Параграф 4. Конус - номер 205, страница 70.

№205 (с. 70)
Условие. №205 (с. 70)
скриншот условия
Геометрия, 11 класс Учебник, авторы: Латотин Леонид Александрович, Чеботаревский Борис Дмитриевич, Горбунова Ирина Владимировна, Цыбулько Оксана Евгеньевна, издательство Белорусская Энциклопедия имени Петруся Бровки, Минск, 2020, белого цвета, страница 70, номер 205, Условие

205*. Найдите косинус угла при вершине осевого сечения конуса, который имеет три попарно перпендикулярные образующие.

Решение 1. №205 (с. 70)
Геометрия, 11 класс Учебник, авторы: Латотин Леонид Александрович, Чеботаревский Борис Дмитриевич, Горбунова Ирина Владимировна, Цыбулько Оксана Евгеньевна, издательство Белорусская Энциклопедия имени Петруся Бровки, Минск, 2020, белого цвета, страница 70, номер 205, Решение 1 Геометрия, 11 класс Учебник, авторы: Латотин Леонид Александрович, Чеботаревский Борис Дмитриевич, Горбунова Ирина Владимировна, Цыбулько Оксана Евгеньевна, издательство Белорусская Энциклопедия имени Петруся Бровки, Минск, 2020, белого цвета, страница 70, номер 205, Решение 1 (продолжение 2)
Решение 2. №205 (с. 70)
Геометрия, 11 класс Учебник, авторы: Латотин Леонид Александрович, Чеботаревский Борис Дмитриевич, Горбунова Ирина Владимировна, Цыбулько Оксана Евгеньевна, издательство Белорусская Энциклопедия имени Петруся Бровки, Минск, 2020, белого цвета, страница 70, номер 205, Решение 2
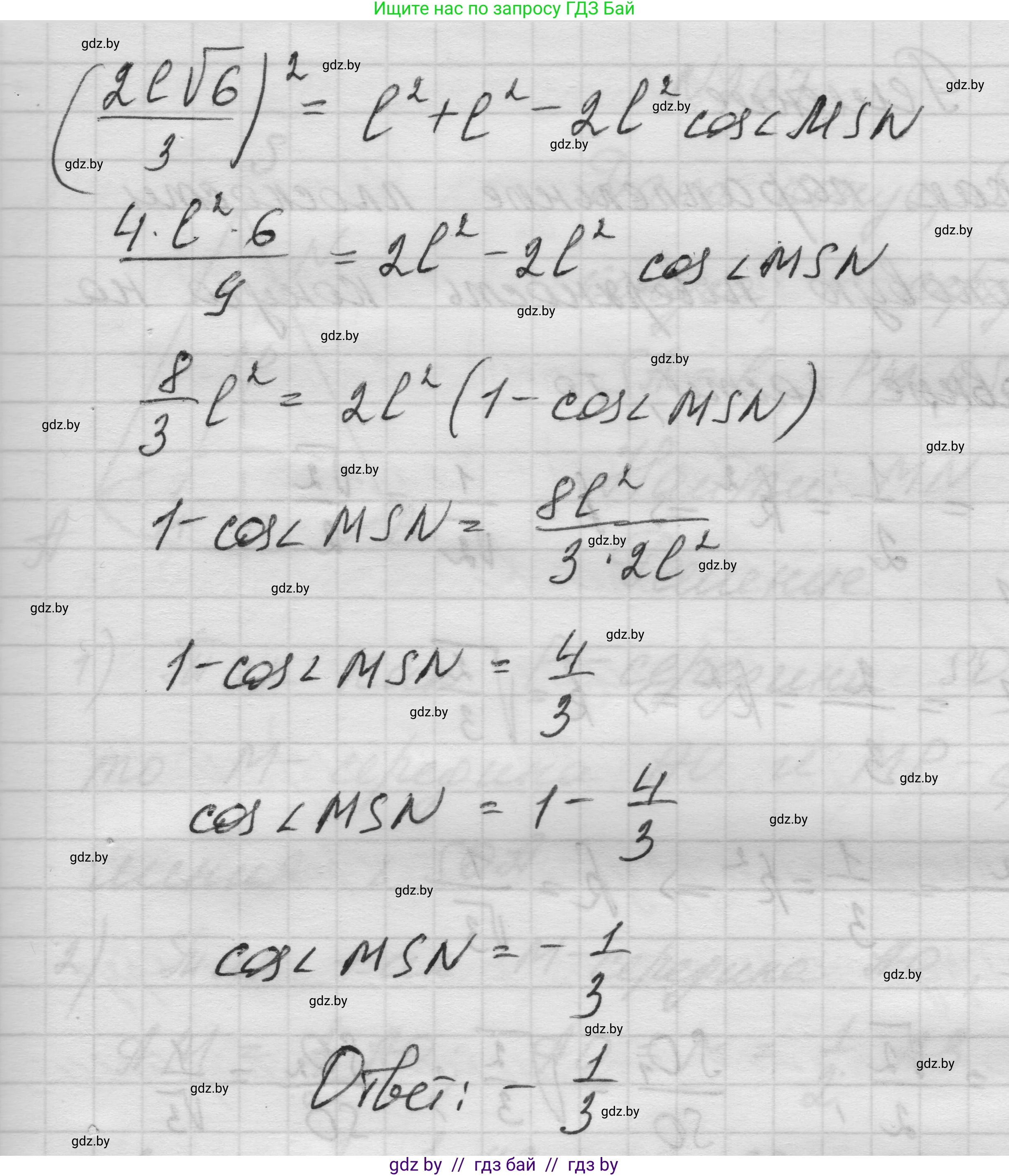
Решение 3. №205 (с. 70)

Решение:

Пусть $V$ — вершина конуса, а $L$ — длина его образующей. По условию, в конусе существуют три попарно перпендикулярные образующие. Обозначим их $VA$, $VB$ и $VC$, где $A$, $B$, $C$ — точки на окружности основания конуса. Так как образующие попарно перпендикулярны, то $VA \perp VB$, $VA \perp VC$ и $VB \perp VC$. Их длины равны: $VA = VB = VC = L$.

Введем прямоугольную систему координат с началом в вершине конуса $V(0, 0, 0)$. Направим оси координат вдоль этих трех взаимно перпендикулярных образующих. Тогда точка $A$ будет иметь координаты $(L, 0, 0)$, точка $B$ — $(0, L, 0)$, а точка $C$ — $(0, 0, L)$.

Точки $A$, $B$, $C$ лежат на окружности основания конуса и, следовательно, в одной плоскости. Уравнение плоскости, проходящей через три точки $A(L, 0, 0)$, $B(0, L, 0)$ и $C(0, 0, L)$, имеет вид $x + y + z = L$.

Ось конуса перпендикулярна плоскости его основания и проходит через вершину $V(0, 0, 0)$. Нормальный вектор к плоскости основания $\vec{n} = (1, 1, 1)$ является направляющим вектором оси конуса.

Угол при вершине осевого сечения конуса (обозначим его $\phi$) — это угол между двумя противоположными образующими. Ось конуса является биссектрисой этого угла. Если $\alpha$ — это угол между образующей конуса и его осью, то $\phi = 2\alpha$. Нам нужно найти $\cos\phi$.

Найдем косинус угла $\alpha$ между любой образующей (например, $VA$) и осью конуса. Вектор образующей $\vec{VA} = (L, 0, 0)$, а направляющий вектор оси $\vec{n} = (1, 1, 1)$. Косинус угла между векторами находится по формуле: $\cos\alpha = \frac{\vec{VA} \cdot \vec{n}}{|\vec{VA}| \cdot |\vec{n}|}$.

Вычислим скалярное произведение: $\vec{VA} \cdot \vec{n} = L \cdot 1 + 0 \cdot 1 + 0 \cdot 1 = L$. Вычислим длины векторов: $|\vec{VA}| = \sqrt{L^2 + 0^2 + 0^2} = L$ и $|\vec{n}| = \sqrt{1^2 + 1^2 + 1^2} = \sqrt{3}$.

Подставим значения в формулу: $\cos\alpha = \frac{L}{L \cdot \sqrt{3}} = \frac{1}{\sqrt{3}}$.

Теперь найдем косинус угла при вершине осевого сечения $\phi$, используя формулу косинуса двойного угла: $\cos\phi = \cos(2\alpha) = 2\cos^2\alpha - 1$.

Подставляем найденное значение $\cos\alpha$: $\cos\phi = 2 \left(\frac{1}{\sqrt{3}}\right)^2 - 1 = 2 \cdot \frac{1}{3} - 1 = \frac{2}{3} - 1 = -\frac{1}{3}$.

Ответ: $-\frac{1}{3}$

Помогло решение? Оставьте отзыв в комментариях ниже.

Присоединяйтесь к Телеграм-группе @gdz_by_belarus

Присоединиться

Мы подготовили для вас ответ c подробным объяснением домашего задания по геометрии за 11 класс, для упражнения номер 205 расположенного на странице 70 к учебнику 2020 года издания для учащихся школ и гимназий.

Теперь на нашем сайте ГДЗ.ТОП вы всегда легко и бесплатно найдёте условие с правильным ответом на вопрос «Как решить ДЗ» и «Как сделать» задание по геометрии к упражнению №205 (с. 70), авторов: Латотин (Леонид Александрович), Чеботаревский (Борис Дмитриевич), Горбунова (Ирина Владимировна), Цыбулько (Оксана Евгеньевна), базовый и повышенный уровень обучения учебного пособия издательства Белорусская Энциклопедия имени Петруся Бровки.