Номер 533, страница 175 - гдз по геометрии 11 класс учебник Латотин, Чеботаревский

Геометрия, 11 класс Учебник, авторы: Латотин Леонид Александрович, Чеботаревский Борис Дмитриевич, Горбунова Ирина Владимировна, Цыбулько Оксана Евгеньевна, издательство Белорусская Энциклопедия имени Петруся Бровки, Минск, 2020, белого цвета

Авторы: Латотин Л. А., Чеботаревский Б. Д., Горбунова И. В., Цыбулько О. Е.

Тип: Учебник

Издательство: Белорусская Энциклопедия имени Петруся Бровки

Год издания: 2020 - 2026

Уровень обучения: базовый и повышенный

Цвет обложки: белый в клеточку

ISBN: 978-985-11-1251-3

Допущено Министерством образования Республики Беларусь

Популярные ГДЗ в 11 классе

Раздел 4. Повторение. Параграф 9. Геометрические величины - номер 533, страница 175.

№533 (с. 175)
Условие. №533 (с. 175)
скриншот условия
Геометрия, 11 класс Учебник, авторы: Латотин Леонид Александрович, Чеботаревский Борис Дмитриевич, Горбунова Ирина Владимировна, Цыбулько Оксана Евгеньевна, издательство Белорусская Энциклопедия имени Петруся Бровки, Минск, 2020, белого цвета, страница 175, номер 533, Условие

533*. Радиусы шаров, вписанного в правильную четырехугольную пирамиду и описанного около нее, равны 4 см и 10 см. Найдите сторону основания и высоту пирамиды.

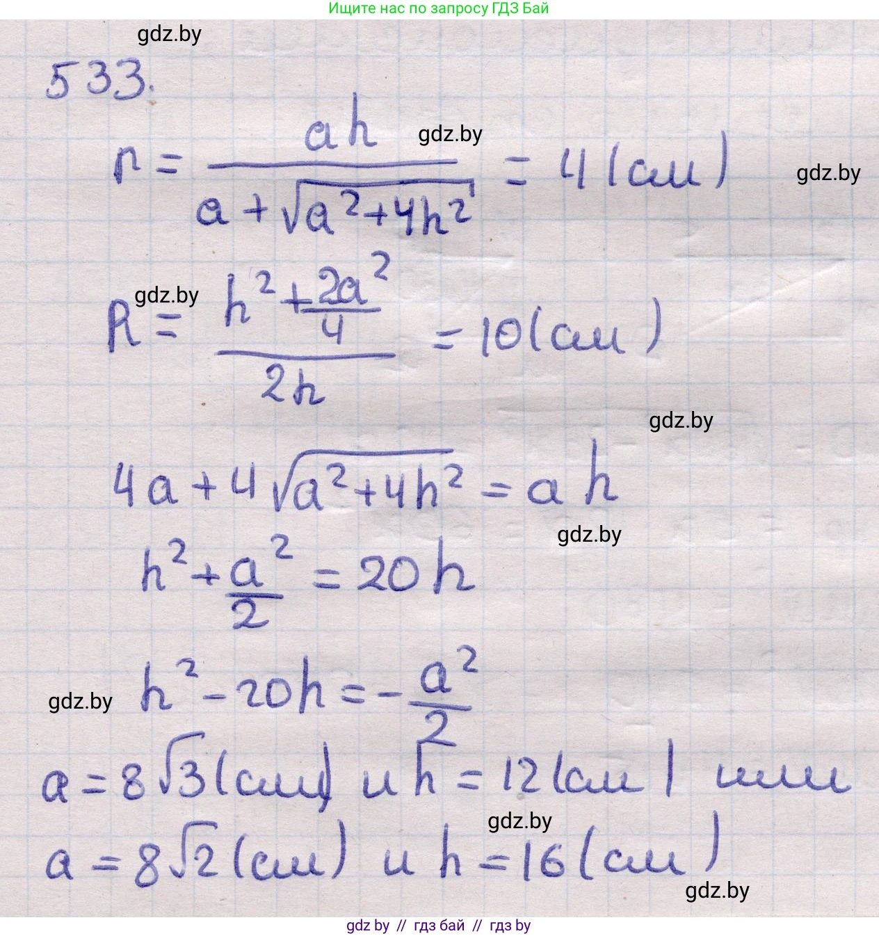
Решение 2. №533 (с. 175)
Геометрия, 11 класс Учебник, авторы: Латотин Леонид Александрович, Чеботаревский Борис Дмитриевич, Горбунова Ирина Владимировна, Цыбулько Оксана Евгеньевна, издательство Белорусская Энциклопедия имени Петруся Бровки, Минск, 2020, белого цвета, страница 175, номер 533, Решение 2
Решение 3. №533 (с. 175)

Пусть $a$ — сторона основания правильной четырехугольной пирамиды, $H$ — ее высота. Радиус вписанного шара равен $r = 4$ см, а радиус описанного шара — $R = 10$ см. Центры вписанного и описанного шаров лежат на высоте пирамиды.

Найдем зависимость между $H$, $a$ и радиусом вписанного шара $r$. Рассмотрим осевое сечение пирамиды, проходящее через ее вершину $S$ и середины двух противоположных сторон основания. Это сечение представляет собой равнобедренный треугольник с основанием $a$ и высотой $H$. Вписанный в пирамиду шар касается основания в его центре $O$, а боковых граней — по апофемам. Круг, полученный в сечении шара, будет вписан в данный равнобедренный треугольник. Пусть $h_a$ — апофема пирамиды. Из прямоугольного треугольника, образованного высотой $H$, половиной стороны основания $a/2$ и апофемой $h_a$, имеем: $h_a = \sqrt{H^2 + (a/2)^2}$. Центр вписанного шара $O_i$ находится на высоте $SO$ на расстоянии $r$ от основания. Рассмотрим прямоугольный треугольник, образованный высотой $H$, апофемой $h_a$ и отрезком $a/2$. Из подобия треугольников в этом сечении можно вывести формулу, связывающую $r$, $H$ и $a$. Другой способ — использовать формулу для объема пирамиды $V = \frac{1}{3} S_{полн} \cdot r$. Объем пирамиды также равен $V = \frac{1}{3} S_{осн} \cdot H = \frac{1}{3} a^2 H$. Площадь полной поверхности $S_{полн} = S_{осн} + S_{бок} = a^2 + 4 \cdot (\frac{1}{2} a h_a) = a^2 + 2a\sqrt{H^2 + a^2/4}$. Приравнивая два выражения для объема, получаем:$a^2 H = r(a^2 + 2a\sqrt{H^2 + a^2/4})$. После алгебраических преобразований этого уравнения можно получить соотношение:$H(a^2 - 4r^2) = 2a^2r$. Подставим $r=4$:$H(a^2 - 4 \cdot 4^2) = 2a^2 \cdot 4$$H(a^2 - 64) = 8a^2$. (1)Из этой формулы следует, что $a^2 - 64 > 0$, то есть $a > 8$.

Теперь найдем зависимость между $H$, $a$ и радиусом описанного шара $R$. Рассмотрим осевое сечение пирамиды, проходящее через ее вершину $S$ и две противоположные вершины основания. Это сечение — равнобедренный треугольник с основанием, равным диагонали квадрата $d = a\sqrt{2}$, и высотой $H$. Описанный шар имеет в сечении окружность, которая описана около этого треугольника. Боковое ребро пирамиды $l$ равно $l = \sqrt{H^2 + (d/2)^2} = \sqrt{H^2 + (a\sqrt{2}/2)^2} = \sqrt{H^2 + a^2/2}$. Радиус описанной окружности для треугольника вычисляется по формуле $R = \frac{l^2}{2H}$. Подставим выражение для $l^2$:$R = \frac{H^2 + a^2/2}{2H}$. Отсюда $2HR = H^2 + a^2/2$. Подставим $R=10$:$2H \cdot 10 = H^2 + a^2/2$$20H = H^2 + a^2/2$$40H = 2H^2 + a^2 \implies a^2 = 40H - 2H^2$. (2)

Теперь у нас есть система из двух уравнений с двумя неизвестными $H$ и $a$:1) $H(a^2 - 64) = 8a^2$2) $a^2 = 40H - 2H^2$Подставим выражение для $a^2$ из второго уравнения в первое:$H((40H - 2H^2) - 64) = 8(40H - 2H^2)$$H(-2H^2 + 40H - 64) = 320H - 16H^2$. Поскольку высота $H$ не может быть равна нулю, разделим обе части уравнения на $H$:$-2H^2 + 40H - 64 = 320 - 16H$$-2H^2 + 56H - 384 = 0$. Разделим на -2:$H^2 - 28H + 192 = 0$. Решим это квадратное уравнение относительно $H$. Дискриминант $D = b^2 - 4ac = (-28)^2 - 4 \cdot 1 \cdot 192 = 784 - 768 = 16$. Корни уравнения:$H_1 = \frac{-(-28) - \sqrt{16}}{2} = \frac{28 - 4}{2} = 12$.$H_2 = \frac{-(-28) + \sqrt{16}}{2} = \frac{28 + 4}{2} = 16$. Оба значения высоты являются возможными решениями. Найдем для каждого из них соответствующее значение стороны основания $a$.

Случай 1: $H = 12$ смПодставим значение $H$ в уравнение (2):$a^2 = 40(12) - 2(12^2) = 480 - 2 \cdot 144 = 480 - 288 = 192$.$a = \sqrt{192} = \sqrt{64 \cdot 3} = 8\sqrt{3}$ см. Проверим условие $a > 8$: $8\sqrt{3} \approx 8 \cdot 1.732 = 13.856 > 8$. Условие выполняется.

Случай 2: $H = 16$ смПодставим значение $H$ в уравнение (2):$a^2 = 40(16) - 2(16^2) = 640 - 2 \cdot 256 = 640 - 512 = 128$.$a = \sqrt{128} = \sqrt{64 \cdot 2} = 8\sqrt{2}$ см. Проверим условие $a > 8$: $8\sqrt{2} \approx 8 \cdot 1.414 = 11.312 > 8$. Условие выполняется.

Таким образом, существуют две пирамиды, удовлетворяющие условиям задачи.
Ответ: сторона основания $8\sqrt{3}$ см и высота $12$ см, или сторона основания $8\sqrt{2}$ см и высота $16$ см.

Помогло решение? Оставьте отзыв в комментариях ниже.

Присоединяйтесь к Телеграм-группе @gdz_by_belarus

Присоединиться

Мы подготовили для вас ответ c подробным объяснением домашего задания по геометрии за 11 класс, для упражнения номер 533 расположенного на странице 175 к учебнику 2020 года издания для учащихся школ и гимназий.

Теперь на нашем сайте ГДЗ.ТОП вы всегда легко и бесплатно найдёте условие с правильным ответом на вопрос «Как решить ДЗ» и «Как сделать» задание по геометрии к упражнению №533 (с. 175), авторов: Латотин (Леонид Александрович), Чеботаревский (Борис Дмитриевич), Горбунова (Ирина Владимировна), Цыбулько (Оксана Евгеньевна), базовый и повышенный уровень обучения учебного пособия издательства Белорусская Энциклопедия имени Петруся Бровки.