Номер 1.16, страница 8 - гдз по алгебре 7-9 класс сборник задач Арефьева, Пирютко

Алгебра, 7-9 класс Сборник задач, авторы: Арефьева Ирина Глебовна, Пирютко Ольга Николаевна, издательство Народная асвета, Минск, 2020

Авторы: Арефьева И. Г., Пирютко О. Н.

Тип: Сборник задач

Издательство: Народная асвета

Год издания: 2020 - 2026

Цвет обложки: синий с графиками

Допущено Министерством образования Республики Беларусь

Популярные ГДЗ в 7 классе

7 класс. Параграф 1. Степень с натуральным показателем и ее свойства - номер 1.16, страница 8.

№1.16 (с. 8)
Условие. №1.16 (с. 8)
скриншот условия
Алгебра, 7-9 класс Сборник задач, авторы: Арефьева Ирина Глебовна, Пирютко Ольга Николаевна, издательство Народная асвета, Минск, 2020, страница 8, номер 1.16, Условие

1.16. Установите порядок действий и вычислите:

а) $15 : 10^3$;

б) $-3^4 \cdot 0,1^2$;

в) $3 \cdot (-5)^3$;

г) $2^5 - (-1)^7$;

д) $-5^4 + (-3)^3$;

е) $(-10)^5 : \frac{1}{3}$;

ж) $(-2)^6 + (-1)^9$;

з) $-3^4 - (-2)^3$;

и) $-2^5 : \frac{1}{7}$;

к) $-2^6 \cdot \frac{3}{4} - 1^9$;

л) $-5^4 : (-0,1^3) - 2^6$;

м) $7^5 : (-7^6) + (-3)^3$.

Решение. №1.16 (с. 8)
Алгебра, 7-9 класс Сборник задач, авторы: Арефьева Ирина Глебовна, Пирютко Ольга Николаевна, издательство Народная асвета, Минск, 2020, страница 8, номер 1.16, Решение Алгебра, 7-9 класс Сборник задач, авторы: Арефьева Ирина Глебовна, Пирютко Ольга Николаевна, издательство Народная асвета, Минск, 2020, страница 8, номер 1.16, Решение (продолжение 2)
Решение 2. №1.16 (с. 8)

а) $15 : 10^3$.
Порядок действий: сначала выполняется возведение в степень, затем деление.
1) $10^3 = 10 \cdot 10 \cdot 10 = 1000$
2) $15 : 1000 = 0,015$
Таким образом, $15 : 10^3 = 0,015$.
Ответ: $0,015$.

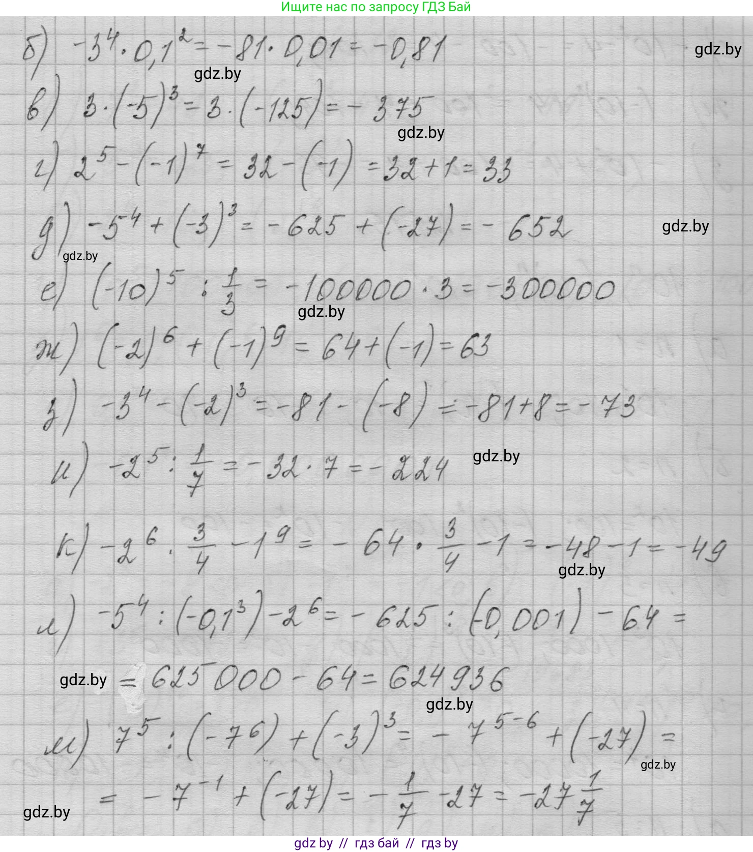
б) $-3^4 \cdot 0,1^2$.
Порядок действий: сначала возведение в степень, затем умножение. Важно отметить, что знак "минус" не относится к основанию степени 3, поэтому сначала вычисляется $3^4$.
1) $3^4 = 3 \cdot 3 \cdot 3 \cdot 3 = 81$
2) $0,1^2 = 0,1 \cdot 0,1 = 0,01$
3) $-81 \cdot 0,01 = -0,81$
Таким образом, $-3^4 \cdot 0,1^2 = -0,81$.
Ответ: $-0,81$.

в) $3 \cdot (-5)^3$.
Порядок действий: сначала возведение в степень, затем умножение.
1) $(-5)^3 = (-5) \cdot (-5) \cdot (-5) = 25 \cdot (-5) = -125$
2) $3 \cdot (-125) = -375$
Таким образом, $3 \cdot (-5)^3 = -375$.
Ответ: $-375$.

г) $2^5 - (-1)^7$.
Порядок действий: сначала возведение в степень, затем вычитание.
1) $2^5 = 2 \cdot 2 \cdot 2 \cdot 2 \cdot 2 = 32$
2) $(-1)^7 = -1$, так как отрицательное число в нечетной степени остается отрицательным.
3) $32 - (-1) = 32 + 1 = 33$
Таким образом, $2^5 - (-1)^7 = 33$.
Ответ: $33$.

д) $-5^4 + (-3)^3$.
Порядок действий: сначала возведение в степень, затем сложение. Знак "минус" перед $5^4$ не входит в основание степени.
1) $5^4 = 5 \cdot 5 \cdot 5 \cdot 5 = 625$
2) $(-3)^3 = (-3) \cdot (-3) \cdot (-3) = -27$
3) $-625 + (-27) = -625 - 27 = -652$
Таким образом, $-5^4 + (-3)^3 = -652$.
Ответ: $-652$.

е) $(-10)^5 : \frac{1}{3}$.
Порядок действий: сначала возведение в степень, затем деление.
1) $(-10)^5 = -100000$
2) $-100000 : \frac{1}{3} = -100000 \cdot 3 = -300000$
Таким образом, $(-10)^5 : \frac{1}{3} = -300000$.
Ответ: $-300000$.

ж) $(-2)^6 + (-1)^9$.
Порядок действий: сначала возведение в степень, затем сложение.
1) $(-2)^6 = 64$, так как отрицательное число в четной степени становится положительным.
2) $(-1)^9 = -1$
3) $64 + (-1) = 64 - 1 = 63$
Таким образом, $(-2)^6 + (-1)^9 = 63$.
Ответ: $63$.

з) $-3^4 - (-2)^3$.
Порядок действий: сначала возведение в степень, затем вычитание. Знак "минус" перед $3^4$ не входит в основание.
1) $3^4 = 81$
2) $(-2)^3 = -8$
3) $-81 - (-8) = -81 + 8 = -73$
Таким образом, $-3^4 - (-2)^3 = -73$.
Ответ: $-73$.

и) $-2^5 : \frac{1}{7}$.
Порядок действий: сначала возведение в степень, затем деление. Знак "минус" не входит в основание.
1) $2^5 = 32$
2) $-32 : \frac{1}{7} = -32 \cdot 7 = -224$
Таким образом, $-2^5 : \frac{1}{7} = -224$.
Ответ: $-224$.

к) $-2^6 \cdot \frac{3}{4} - 1^9$.
Порядок действий: возведение в степень, умножение, вычитание.
1) $2^6 = 64$, значит $-2^6 = -64$.
2) $1^9 = 1$.
3) $-64 \cdot \frac{3}{4} = -\frac{64 \cdot 3}{4} = -16 \cdot 3 = -48$
4) $-48 - 1 = -49$
Таким образом, $-2^6 \cdot \frac{3}{4} - 1^9 = -49$.
Ответ: $-49$.

л) $-5^4 : ((-0,1)^3) - 2^6$.
Порядок действий: возведение в степень, деление, вычитание.
1) $5^4 = 625$, значит $-5^4 = -625$.
2) $(-0,1)^3 = -0,001$.
3) $2^6 = 64$.
4) $-625 : (-0,001) = 625000$.
5) $625000 - 64 = 624936$.
Таким образом, $-5^4 : ((-0,1)^3) - 2^6 = 624936$.
Ответ: $624936$.

м) $7^5 : (-7^6) + (-3)^3$.
Порядок действий: возведение в степень, деление, сложение. В выражении $-7^6$ сначала вычисляется степень.
1) $(-3)^3 = -27$.
2) $7^5 : (-7^6) = -\frac{7^5}{7^6} = -7^{5-6} = -7^{-1} = -\frac{1}{7}$.
3) $-\frac{1}{7} + (-27) = -\frac{1}{7} - 27 = -27\frac{1}{7}$.
Таким образом, $7^5 : (-7^6) + (-3)^3 = -27\frac{1}{7}$.
Ответ: $-27\frac{1}{7}$.

Помогло решение? Оставьте отзыв в комментариях ниже.

Присоединяйтесь к Телеграм-группе @gdz_by_belarus

Присоединиться

Мы подготовили для вас ответ c подробным объяснением домашего задания по алгебре за 7-9 класс, для упражнения номер 1.16 расположенного на странице 8 к сборнику задач 2020 года издания для учащихся школ и гимназий.

Теперь на нашем сайте ГДЗ.ТОП вы всегда легко и бесплатно найдёте условие с правильным ответом на вопрос «Как решить ДЗ» и «Как сделать» задание по алгебре к упражнению №1.16 (с. 8), авторов: Арефьева (Ирина Глебовна), Пирютко (Ольга Николаевна), учебного пособия издательства Народная асвета.