Номер 1.20, страница 9 - гдз по алгебре 7-9 класс сборник задач Арефьева, Пирютко

Алгебра, 7-9 класс Сборник задач, авторы: Арефьева Ирина Глебовна, Пирютко Ольга Николаевна, издательство Народная асвета, Минск, 2020

Авторы: Арефьева И. Г., Пирютко О. Н.

Тип: Сборник задач

Издательство: Народная асвета

Год издания: 2020 - 2026

Цвет обложки: синий с графиками

Допущено Министерством образования Республики Беларусь

Популярные ГДЗ в 7 классе

7 класс. Параграф 1. Степень с натуральным показателем и ее свойства - номер 1.20, страница 9.

№1.20 (с. 9)
Условие. №1.20 (с. 9)
скриншот условия
Алгебра, 7-9 класс Сборник задач, авторы: Арефьева Ирина Глебовна, Пирютко Ольга Николаевна, издательство Народная асвета, Минск, 2020, страница 9, номер 1.20, Условие

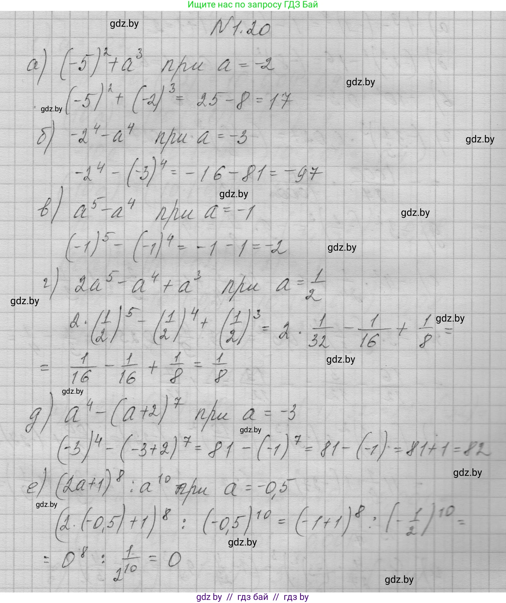
1.20. Найдите значение выражения:

а) $(-5)^2 + a^3$ при $a = -2$;

б) $-2^4 - a^4$ при $a = -3$;

в) $a^5 - a^4$ при $a = -1$;

г) $2a^5 - a^4 + a^3$ при $a = \frac{1}{2}$;

д) $a^4 - (a+2)^7$ при $a = -3$;

е) $(2a+1)^8 : a^{10}$ при $a = -0,5$.

Решение. №1.20 (с. 9)
Алгебра, 7-9 класс Сборник задач, авторы: Арефьева Ирина Глебовна, Пирютко Ольга Николаевна, издательство Народная асвета, Минск, 2020, страница 9, номер 1.20, Решение
Решение 2. №1.20 (с. 9)

а) Чтобы найти значение выражения $(-5)^2 + a^3$ при $a = -2$, подставим значение $a$ в выражение:
$(-5)^2 + (-2)^3 = 25 + (-8) = 25 - 8 = 17$.
Ответ: 17

б) Чтобы найти значение выражения $-2^4 - a^4$ при $a = -3$, подставим значение $a$ в выражение:
$-2^4 - (-3)^4 = -16 - 81 = -97$.
Важно помнить, что в выражении $-2^4$ степень относится только к числу 2, а не к знаку "минус". В выражении $(-3)^4$ степень относится ко всему числу -3.
Ответ: -97

в) Чтобы найти значение выражения $a^5 - a^4$ при $a = -1$, подставим значение $a$ в выражение:
$(-1)^5 - (-1)^4 = -1 - 1 = -2$.
Отрицательное число, возведенное в нечетную степень, остается отрицательным, а возведенное в четную степень, становится положительным.
Ответ: -2

г) Чтобы найти значение выражения $2a^5 - a^4 + a^3$ при $a = \frac{1}{2}$, подставим значение $a$ в выражение:
$2\left(\frac{1}{2}\right)^5 - \left(\frac{1}{2}\right)^4 + \left(\frac{1}{2}\right)^3 = 2 \cdot \frac{1}{32} - \frac{1}{16} + \frac{1}{8} = \frac{2}{32} - \frac{1}{16} + \frac{1}{8}$.
Сократим первую дробь и приведем к общему знаменателю:
$\frac{1}{16} - \frac{1}{16} + \frac{2}{16} = 0 + \frac{2}{16} = \frac{1}{8}$.
Ответ: $\frac{1}{8}$

д) Чтобы найти значение выражения $a^4 - (a+2)^7$ при $a = -3$, подставим значение $a$ в выражение:
$(-3)^4 - (-3+2)^7 = (-3)^4 - (-1)^7 = 81 - (-1) = 81 + 1 = 82$.
Ответ: 82

е) Чтобы найти значение выражения $(2a+1)^8 : a^{10}$ при $a = -0,5$, подставим значение $a$ в выражение.
Сначала вычислим значение в скобках: $2a + 1 = 2(-0,5) + 1 = -1 + 1 = 0$.
Теперь выражение принимает вид: $0^8 : (-0,5)^{10}$.
Так как $0^8 = 0$, а делитель $(-0,5)^{10}$ не равен нулю, то результат всего выражения равен нулю.
$0 : (-0,5)^{10} = 0$.
Ответ: 0

Помогло решение? Оставьте отзыв в комментариях ниже.

Присоединяйтесь к Телеграм-группе @gdz_by_belarus

Присоединиться

Мы подготовили для вас ответ c подробным объяснением домашего задания по алгебре за 7-9 класс, для упражнения номер 1.20 расположенного на странице 9 к сборнику задач 2020 года издания для учащихся школ и гимназий.

Теперь на нашем сайте ГДЗ.ТОП вы всегда легко и бесплатно найдёте условие с правильным ответом на вопрос «Как решить ДЗ» и «Как сделать» задание по алгебре к упражнению №1.20 (с. 9), авторов: Арефьева (Ирина Глебовна), Пирютко (Ольга Николаевна), учебного пособия издательства Народная асвета.