Номер 1.17, страница 8 - гдз по алгебре 7-9 класс сборник задач Арефьева, Пирютко

Алгебра, 7-9 класс Сборник задач, авторы: Арефьева Ирина Глебовна, Пирютко Ольга Николаевна, издательство Народная асвета, Минск, 2020

Авторы: Арефьева И. Г., Пирютко О. Н.

Тип: Сборник задач

Издательство: Народная асвета

Год издания: 2020 - 2026

Цвет обложки: синий с графиками

Допущено Министерством образования Республики Беларусь

Популярные ГДЗ в 7 классе

7 класс. Параграф 1. Степень с натуральным показателем и ее свойства - номер 1.17, страница 8.

№1.17 (с. 8)
Условие. №1.17 (с. 8)
скриншот условия
Алгебра, 7-9 класс Сборник задач, авторы: Арефьева Ирина Глебовна, Пирютко Ольга Николаевна, издательство Народная асвета, Минск, 2020, страница 8, номер 1.17, Условие

1.17. Найдите значения выражений $10a^2$; $(10a)^2$; $-10a^2$; $(-10a)^2$; $10a^3$; $(10a)^3$; $-10a^3$ и $(-10a)^3$ при:

а) $a = 10$;

б) $a = -1$;

в) $a = \frac{1}{2}$;

г) $a = -0.2$.

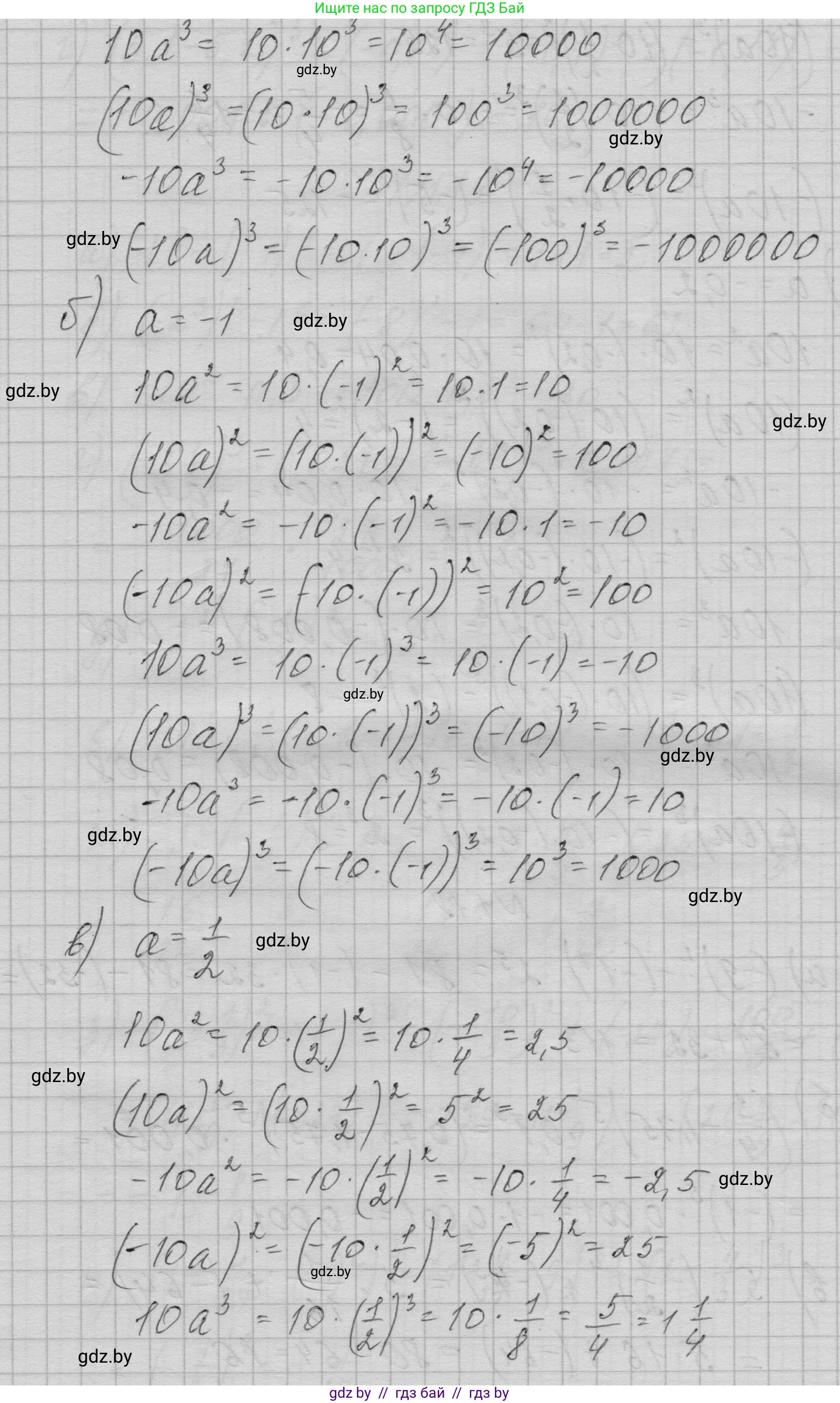
Решение. №1.17 (с. 8)
Алгебра, 7-9 класс Сборник задач, авторы: Арефьева Ирина Глебовна, Пирютко Ольга Николаевна, издательство Народная асвета, Минск, 2020, страница 8, номер 1.17, Решение Алгебра, 7-9 класс Сборник задач, авторы: Арефьева Ирина Глебовна, Пирютко Ольга Николаевна, издательство Народная асвета, Минск, 2020, страница 8, номер 1.17, Решение (продолжение 2)
Решение 2. №1.17 (с. 8)

а) При $a = 10$:

$10a^2 = 10 \cdot 10^2 = 10 \cdot 100 = 1000$

$(10a)^2 = (10 \cdot 10)^2 = 100^2 = 10000$

$-10a^2 = -10 \cdot 10^2 = -10 \cdot 100 = -1000$

$(-10a)^2 = (-10 \cdot 10)^2 = (-100)^2 = 10000$

$10a^3 = 10 \cdot 10^3 = 10 \cdot 1000 = 10000$

$(10a)^3 = (10 \cdot 10)^3 = 100^3 = 1000000$

$-10a^3 = -10 \cdot 10^3 = -10 \cdot 1000 = -10000$

$(-10a)^3 = (-10 \cdot 10)^3 = (-100)^3 = -1000000$

Ответ: $1000; 10000; -1000; 10000; 10000; 1000000; -10000; -1000000$.

б) При $a = -1$:

$10a^2 = 10 \cdot (-1)^2 = 10 \cdot 1 = 10$

$(10a)^2 = (10 \cdot (-1))^2 = (-10)^2 = 100$

$-10a^2 = -10 \cdot (-1)^2 = -10 \cdot 1 = -10$

$(-10a)^2 = (-10 \cdot (-1))^2 = 10^2 = 100$

$10a^3 = 10 \cdot (-1)^3 = 10 \cdot (-1) = -10$

$(10a)^3 = (10 \cdot (-1))^3 = (-10)^3 = -1000$

$-10a^3 = -10 \cdot (-1)^3 = -10 \cdot (-1) = 10$

$(-10a)^3 = (-10 \cdot (-1))^3 = 10^3 = 1000$

Ответ: $10; 100; -10; 100; -10; -1000; 10; 1000$.

в) При $a = \frac{1}{2}$:

$10a^2 = 10 \cdot (\frac{1}{2})^2 = 10 \cdot \frac{1}{4} = \frac{10}{4} = 2,5$

$(10a)^2 = (10 \cdot \frac{1}{2})^2 = 5^2 = 25$

$-10a^2 = -10 \cdot (\frac{1}{2})^2 = -10 \cdot \frac{1}{4} = -\frac{10}{4} = -2,5$

$(-10a)^2 = (-10 \cdot \frac{1}{2})^2 = (-5)^2 = 25$

$10a^3 = 10 \cdot (\frac{1}{2})^3 = 10 \cdot \frac{1}{8} = \frac{10}{8} = 1,25$

$(10a)^3 = (10 \cdot \frac{1}{2})^3 = 5^3 = 125$

$-10a^3 = -10 \cdot (\frac{1}{2})^3 = -10 \cdot \frac{1}{8} = -\frac{10}{8} = -1,25$

$(-10a)^3 = (-10 \cdot \frac{1}{2})^3 = (-5)^3 = -125$

Ответ: $2,5; 25; -2,5; 25; 1,25; 125; -1,25; -125$.

г) При $a = -0,2$:

$10a^2 = 10 \cdot (-0,2)^2 = 10 \cdot 0,04 = 0,4$

$(10a)^2 = (10 \cdot (-0,2))^2 = (-2)^2 = 4$

$-10a^2 = -10 \cdot (-0,2)^2 = -10 \cdot 0,04 = -0,4$

$(-10a)^2 = (-10 \cdot (-0,2))^2 = 2^2 = 4$

$10a^3 = 10 \cdot (-0,2)^3 = 10 \cdot (-0,008) = -0,08$

$(10a)^3 = (10 \cdot (-0,2))^3 = (-2)^3 = -8$

$-10a^3 = -10 \cdot (-0,2)^3 = -10 \cdot (-0,008) = 0,08$

$(-10a)^3 = (-10 \cdot (-0,2))^3 = 2^3 = 8$

Ответ: $0,4; 4; -0,4; 4; -0,08; -8; 0,08; 8$.

Помогло решение? Оставьте отзыв в комментариях ниже.

Присоединяйтесь к Телеграм-группе @gdz_by_belarus

Присоединиться

Мы подготовили для вас ответ c подробным объяснением домашего задания по алгебре за 7-9 класс, для упражнения номер 1.17 расположенного на странице 8 к сборнику задач 2020 года издания для учащихся школ и гимназий.

Теперь на нашем сайте ГДЗ.ТОП вы всегда легко и бесплатно найдёте условие с правильным ответом на вопрос «Как решить ДЗ» и «Как сделать» задание по алгебре к упражнению №1.17 (с. 8), авторов: Арефьева (Ирина Глебовна), Пирютко (Ольга Николаевна), учебного пособия издательства Народная асвета.