Номер 1.19, страница 8 - гдз по алгебре 7-9 класс сборник задач Арефьева, Пирютко

Алгебра, 7-9 класс Сборник задач, авторы: Арефьева Ирина Глебовна, Пирютко Ольга Николаевна, издательство Народная асвета, Минск, 2020

Авторы: Арефьева И. Г., Пирютко О. Н.

Тип: Сборник задач

Издательство: Народная асвета

Год издания: 2020 - 2026

Цвет обложки: синий с графиками

Допущено Министерством образования Республики Беларусь

7 класс. Параграф 1. Степень с натуральным показателем и ее свойства - номер 1.19, страница 8.

№1.19 (с. 8)
Условие. №1.19 (с. 8)
скриншот условия
Алгебра, 7-9 класс Сборник задач, авторы: Арефьева Ирина Глебовна, Пирютко Ольга Николаевна, издательство Народная асвета, Минск, 2020, страница 8, номер 1.19, Условие

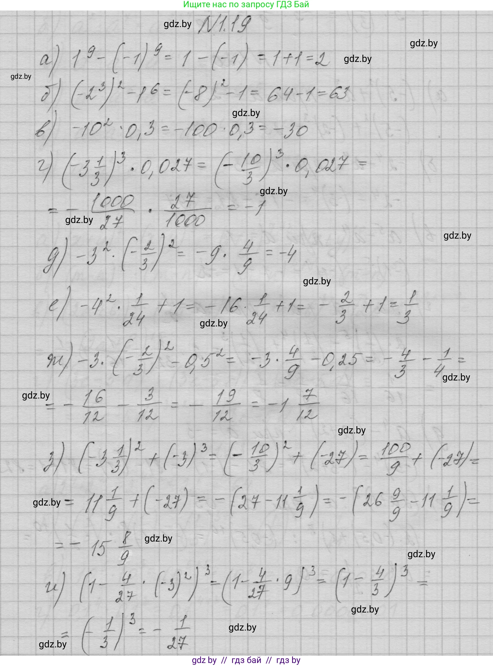
1.19. Выполните действия:

а) $1^9 - (-1)^9;$

б) $(-2^3)^2 - 1^6;$

в) $-10^2 \cdot 0,3;$

г) $\left(-3\frac{1}{3}\right)^3 \cdot 0,027;$

д) $-3^2 \cdot \left(-\frac{2}{3}\right)^2;$

е) $-4^2 \cdot \frac{1}{24} + 1;$

ж) $-3 \cdot \left(-\frac{2}{3}\right)^2 - 0,5^2;$

з) $\left(-3\frac{1}{3}\right)^2 + (-3)^3;$

и) $\left(1 - \frac{4}{27} \cdot (-3)^2\right)^3;$

к) $-5 \cdot \left(\left(-\frac{2}{3}\right)^2 - \left(\frac{1}{3}\right)^2\right)^2.$

Правообладатель Народная асвета

Решение. №1.19 (с. 8)
Алгебра, 7-9 класс Сборник задач, авторы: Арефьева Ирина Глебовна, Пирютко Ольга Николаевна, издательство Народная асвета, Минск, 2020, страница 8, номер 1.19, Решение Алгебра, 7-9 класс Сборник задач, авторы: Арефьева Ирина Глебовна, Пирютко Ольга Николаевна, издательство Народная асвета, Минск, 2020, страница 8, номер 1.19, Решение (продолжение 2)
Решение 2. №1.19 (с. 8)

а) $1^9 - (-1)^9$

Первое слагаемое $1^9 = 1$, так как единица в любой степени равна единице. Второе слагаемое $(-1)^9 = -1$, так как отрицательное число в нечетной степени остается отрицательным. Выполним вычитание:

$1 - (-1) = 1 + 1 = 2$

Ответ: $2$

б) $(-2^3)^2 - 1^6$

Сначала выполним действия в скобках и возведение в степень. Обратите внимание, что в выражении $-2^3$ степень относится только к числу 2, а не к $-2$.

1. $2^3 = 8$, следовательно, $-2^3 = -8$.

2. $(-8)^2 = 64$.

3. $1^6 = 1$.

4. $64 - 1 = 63$.

Или по свойству степеней $(a^m)^n = a^{m \cdot n}$: $(-2^3)^2 = (2^3)^2 = 2^{3 \cdot 2} = 2^6 = 64$. Тогда $64 - 1^6 = 64 - 1 = 63$.

Ответ: $63$

в) $-10^2 \cdot 0,3$

Степень относится только к числу 10.

1. $10^2 = 100$.

2. $-100 \cdot 0,3 = -30$.

Ответ: $-30$

г) $(-3\frac{1}{3})^3 \cdot 0,027$

Преобразуем смешанное число в неправильную дробь, а десятичную дробь в обыкновенную.

1. $-3\frac{1}{3} = -\frac{3 \cdot 3 + 1}{3} = -\frac{10}{3}$.

2. $0,027 = \frac{27}{1000} = (\frac{3}{10})^3$.

Подставим значения в выражение:

$(-\frac{10}{3})^3 \cdot (\frac{3}{10})^3 = (-\frac{10}{3} \cdot \frac{3}{10})^3 = (-1)^3 = -1$.

Ответ: $-1$

д) $-3^2 \cdot (-\frac{2}{3})^2$

Выполняем возведение в степень в первую очередь.

1. $-3^2 = -(3 \cdot 3) = -9$.

2. $(-\frac{2}{3})^2 = \frac{4}{9}$.

3. $-9 \cdot \frac{4}{9} = -4$.

Ответ: $-4$

е) $-4^2 \cdot \frac{1}{24} + 1$

Соблюдаем порядок действий: возведение в степень, умножение, сложение.

1. $-4^2 = -16$.

2. $-16 \cdot \frac{1}{24} = -\frac{16}{24} = -\frac{2 \cdot 8}{3 \cdot 8} = -\frac{2}{3}$.

3. $-\frac{2}{3} + 1 = -\frac{2}{3} + \frac{3}{3} = \frac{1}{3}$.

Ответ: $\frac{1}{3}$

ж) $-3 \cdot (-\frac{2}{3})^2 - 0,5^2$

1. $(-\frac{2}{3})^2 = \frac{4}{9}$.

2. $0,5^2 = 0,25 = \frac{1}{4}$.

3. $-3 \cdot \frac{4}{9} = -\frac{12}{9} = -\frac{4}{3}$.

4. $-\frac{4}{3} - \frac{1}{4} = -\frac{16}{12} - \frac{3}{12} = -\frac{19}{12} = -1\frac{7}{12}$.

Ответ: $-1\frac{7}{12}$

з) $(-3\frac{1}{3})^2 + (-3)^3$

1. $-3\frac{1}{3} = -\frac{10}{3}$.

2. $(-\frac{10}{3})^2 = \frac{100}{9}$.

3. $(-3)^3 = -27$.

4. $\frac{100}{9} + (-27) = \frac{100}{9} - \frac{27 \cdot 9}{9} = \frac{100 - 243}{9} = -\frac{143}{9} = -15\frac{8}{9}$.

Ответ: $-15\frac{8}{9}$

и) $(1 - \frac{4}{27} \cdot (-3)^2)^3$

Выполняем действия в скобках.

1. $(-3)^2 = 9$.

2. $\frac{4}{27} \cdot 9 = \frac{4 \cdot 9}{27} = \frac{36}{27} = \frac{4}{3}$.

3. $1 - \frac{4}{3} = \frac{3}{3} - \frac{4}{3} = -\frac{1}{3}$.

Теперь возводим результат в куб:

4. $(-\frac{1}{3})^3 = -\frac{1^3}{3^3} = -\frac{1}{27}$.

Ответ: $-\frac{1}{27}$

к) $-5 \cdot ( (-\frac{2}{3})^2 - (\frac{1}{3})^2 )^2$

Сначала вычисляем выражение в скобках.

1. $(-\frac{2}{3})^2 = \frac{4}{9}$.

2. $(\frac{1}{3})^2 = \frac{1}{9}$.

3. $\frac{4}{9} - \frac{1}{9} = \frac{3}{9} = \frac{1}{3}$.

Теперь подставляем результат обратно в исходное выражение:

4. $-5 \cdot (\frac{1}{3})^2 = -5 \cdot \frac{1}{9} = -\frac{5}{9}$.

Ответ: $-\frac{5}{9}$

Помогло решение? Оставьте отзыв в комментариях ниже.

Присоединяйтесь к Телеграм-группе @gdz_by_belarus

Присоединиться

Мы подготовили для вас ответ c подробным объяснением домашего задания по алгебре за 7-9 класс, для упражнения номер 1.19 расположенного на странице 8 к сборнику задач 2020 года издания для учащихся школ и гимназий.

Теперь на нашем сайте ГДЗ.ТОП вы всегда легко и бесплатно найдёте условие с правильным ответом на вопрос «Как решить ДЗ» и «Как сделать» задание по алгебре к упражнению №1.19 (с. 8), авторов: Арефьева (Ирина Глебовна), Пирютко (Ольга Николаевна), учебного пособия издательства Народная асвета.