Номер 2.277, страница 110 - гдз по алгебре 7 класс учебник Арефьева, Пирютко

Алгебра, 7 класс Учебник, авторы: Арефьева Ирина Глебовна, Пирютко Ольга Николаевна, издательство Народная асвета, Минск, 2022, зелёного цвета

Авторы: Арефьева И. Г., Пирютко О. Н.

Тип: Учебник

Издательство: Народная асвета

Год издания: 2022 - 2026

Цвет обложки: зелёный с графиком

ISBN: ISBN 978-985-03-3770-2

Допущено Министерством образования Республики Беларусь

Глава 2. Выражения и их преобразования. Параграф 12. Формулы сокращенного умножения: квадрат суммы и квадрат разности двух выражений - номер 2.277, страница 110.

№2.277 (с. 110)
Условие. №2.277 (с. 110)
скриншот условия
Алгебра, 7 класс Учебник, авторы: Арефьева Ирина Глебовна, Пирютко Ольга Николаевна, издательство Народная асвета, Минск, 2022, зелёного цвета, страница 110, номер 2.277, Условие

2.277. Представьте в виде трехчлена, используя формулы сокращенного умножения:

а) $(x + 0.4)^2$;

б) $(0.6a - 1)^2$;

в) $(\frac{1}{3}m + 3)^2$;

г) $(5n - 0.1k)^2$.

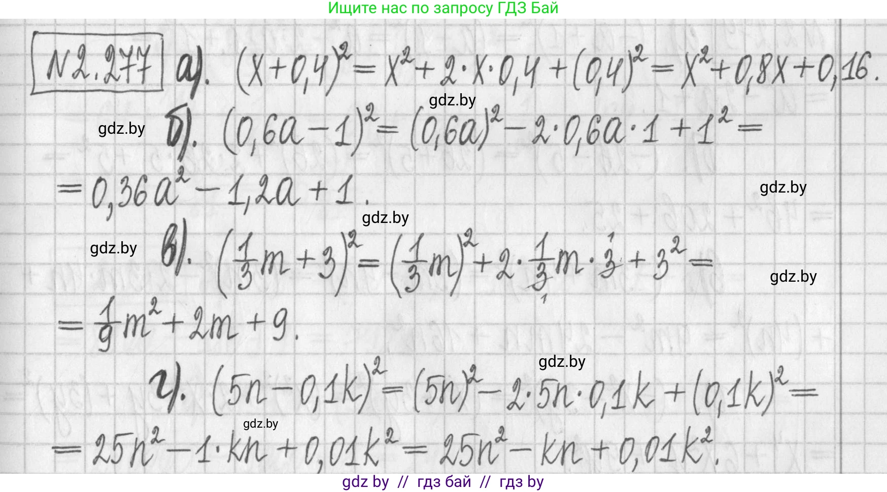
Решение. №2.277 (с. 110)
Алгебра, 7 класс Учебник, авторы: Арефьева Ирина Глебовна, Пирютко Ольга Николаевна, издательство Народная асвета, Минск, 2022, зелёного цвета, страница 110, номер 2.277, Решение
Решение 2. №2.277 (с. 110)

Для решения данной задачи необходимо представить каждое выражение в виде трехчлена, используя формулы сокращенного умножения:

  • Квадрат суммы: $(a+b)^2 = a^2 + 2ab + b^2$
  • Квадрат разности: $(a-b)^2 = a^2 - 2ab + b^2$

а) Для выражения $(x + 0,4)^2$ применяем формулу квадрата суммы, где $a=x$ и $b=0,4$:
$(x + 0,4)^2 = x^2 + 2 \cdot x \cdot 0,4 + (0,4)^2 = x^2 + 0,8x + 0,16$.
Ответ: $x^2 + 0,8x + 0,16$.

б) Для выражения $(0,6a - 1)^2$ применяем формулу квадрата разности, где $a=0,6a$ и $b=1$:
$(0,6a - 1)^2 = (0,6a)^2 - 2 \cdot 0,6a \cdot 1 + 1^2 = 0,36a^2 - 1,2a + 1$.
Ответ: $0,36a^2 - 1,2a + 1$.

в) Для выражения $(\frac{1}{3}m + 3)^2$ применяем формулу квадрата суммы, где $a=\frac{1}{3}m$ и $b=3$:
$(\frac{1}{3}m + 3)^2 = (\frac{1}{3}m)^2 + 2 \cdot \frac{1}{3}m \cdot 3 + 3^2 = \frac{1}{9}m^2 + \frac{6}{3}m + 9$.
В полученном выражении коэффициент среднего члена представляет собой неправильную дробь $\frac{6}{3}$. Выделим из нее целую часть: $\frac{6}{3} = 2$.
Таким образом, окончательный вид трехчлена: $\frac{1}{9}m^2 + 2m + 9$.
Ответ: $\frac{1}{9}m^2 + 2m + 9$.

г) Для выражения $(5n - 0,1k)^2$ применяем формулу квадрата разности, где $a=5n$ и $b=0,1k$:
$(5n - 0,1k)^2 = (5n)^2 - 2 \cdot 5n \cdot 0,1k + (0,1k)^2 = 25n^2 - 10 \cdot 0,1 \cdot nk + 0,01k^2 = 25n^2 - nk + 0,01k^2$.
Ответ: $25n^2 - nk + 0,01k^2$.

Помогло решение? Оставьте отзыв в комментариях ниже.

Присоединяйтесь к Телеграм-группе @gdz_by_belarus

Присоединиться

Мы подготовили для вас ответ c подробным объяснением домашего задания по алгебре за 7 класс, для упражнения номер 2.277 расположенного на странице 110 к учебнику 2022 года издания для учащихся школ и гимназий.

Теперь на нашем сайте ГДЗ.ТОП вы всегда легко и бесплатно найдёте условие с правильным ответом на вопрос «Как решить ДЗ» и «Как сделать» задание по алгебре к упражнению №2.277 (с. 110), авторов: Арефьева (Ирина Глебовна), Пирютко (Ольга Николаевна), учебного пособия издательства Народная асвета.