Номер 2.281, страница 111 - гдз по алгебре 7 класс учебник Арефьева, Пирютко

Алгебра, 7 класс Учебник, авторы: Арефьева Ирина Глебовна, Пирютко Ольга Николаевна, издательство Народная асвета, Минск, 2022, зелёного цвета

Авторы: Арефьева И. Г., Пирютко О. Н.

Тип: Учебник

Издательство: Народная асвета

Год издания: 2022 - 2026

Цвет обложки: зелёный с графиком

ISBN: ISBN 978-985-03-3770-2

Допущено Министерством образования Республики Беларусь

Глава 2. Выражения и их преобразования. Параграф 12. Формулы сокращенного умножения: квадрат суммы и квадрат разности двух выражений - номер 2.281, страница 111.

№2.281 (с. 111)
Условие. №2.281 (с. 111)
скриншот условия
Алгебра, 7 класс Учебник, авторы: Арефьева Ирина Глебовна, Пирютко Ольга Николаевна, издательство Народная асвета, Минск, 2022, зелёного цвета, страница 111, номер 2.281, Условие

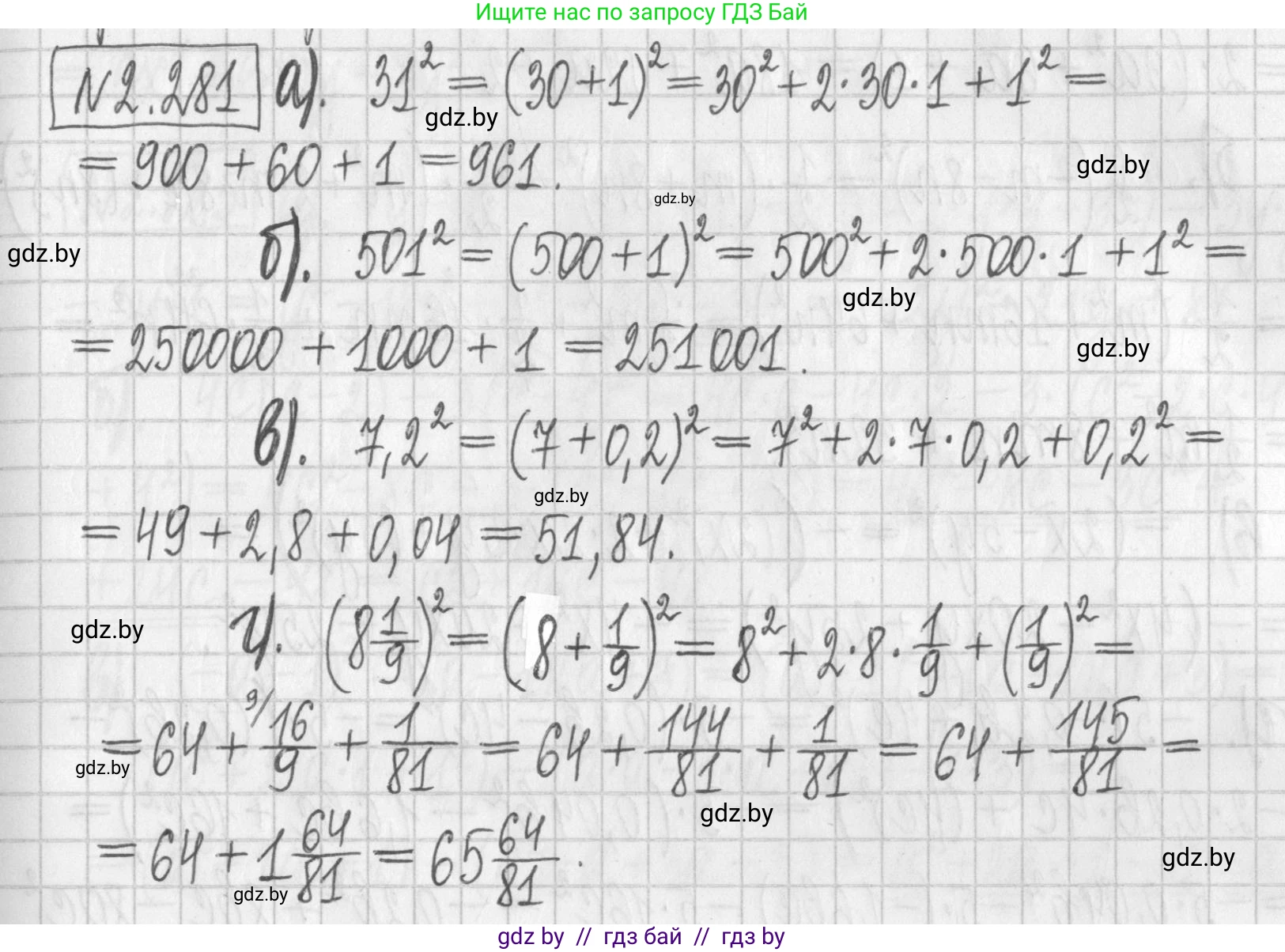
2.281. Примените формулу квадрата суммы и вычислите:

а) $31^2$;

б) $501^2$;

в) $7,2^2$;

г) $\left(8\frac{1}{9}\right)^2$.

Решение. №2.281 (с. 111)
Алгебра, 7 класс Учебник, авторы: Арефьева Ирина Глебовна, Пирютко Ольга Николаевна, издательство Народная асвета, Минск, 2022, зелёного цвета, страница 111, номер 2.281, Решение
Решение 2. №2.281 (с. 111)
а) 31²;

Для вычисления $31^2$ представим 31 как сумму двух чисел, $30+1$. Далее воспользуемся формулой квадрата суммы $(a+b)^2 = a^2 + 2ab + b^2$.

$31^2 = (30 + 1)^2 = 30^2 + 2 \cdot 30 \cdot 1 + 1^2 = 900 + 60 + 1 = 961$.

Ответ: 961.

б) 501²;

Представим 501 в виде суммы $500+1$ и применим ту же формулу:

$501^2 = (500 + 1)^2 = 500^2 + 2 \cdot 500 \cdot 1 + 1^2 = 250000 + 1000 + 1 = 251001$.

Ответ: 251001.

в) 7,2²;

Представим десятичную дробь 7,2 как сумму $7 + 0,2$ и применим формулу квадрата суммы:

$7,2^2 = (7 + 0,2)^2 = 7^2 + 2 \cdot 7 \cdot 0,2 + (0,2)^2 = 49 + 2,8 + 0,04 = 51,84$.

Ответ: 51,84.

г) $(8\frac{1}{9})^2$.

Представим смешанное число $8\frac{1}{9}$ в виде суммы его целой и дробной частей: $8 + \frac{1}{9}$. Теперь применим формулу квадрата суммы:

$(8 + \frac{1}{9})^2 = 8^2 + 2 \cdot 8 \cdot \frac{1}{9} + (\frac{1}{9})^2 = 64 + \frac{16}{9} + \frac{1}{81}$.

Для сложения дробей приведем их к общему знаменателю 81:

$64 + \frac{16 \cdot 9}{9 \cdot 9} + \frac{1}{81} = 64 + \frac{144}{81} + \frac{1}{81} = 64 + \frac{144 + 1}{81} = 64 + \frac{145}{81}$.

Полученная дробь $\frac{145}{81}$ является неправильной. Выделим из нее целую часть:

$\frac{145}{81} = 1\frac{64}{81}$.

Теперь завершим вычисление, прибавив полученное значение к 64:

$64 + 1\frac{64}{81} = 65\frac{64}{81}$.

Ответ: $65\frac{64}{81}$.

Помогло решение? Оставьте отзыв в комментариях ниже.

Присоединяйтесь к Телеграм-группе @gdz_by_belarus

Присоединиться

Мы подготовили для вас ответ c подробным объяснением домашего задания по алгебре за 7 класс, для упражнения номер 2.281 расположенного на странице 111 к учебнику 2022 года издания для учащихся школ и гимназий.

Теперь на нашем сайте ГДЗ.ТОП вы всегда легко и бесплатно найдёте условие с правильным ответом на вопрос «Как решить ДЗ» и «Как сделать» задание по алгебре к упражнению №2.281 (с. 111), авторов: Арефьева (Ирина Глебовна), Пирютко (Ольга Николаевна), учебного пособия издательства Народная асвета.