Номер 2.282, страница 111 - гдз по алгебре 7 класс учебник Арефьева, Пирютко

Алгебра, 7 класс Учебник, авторы: Арефьева Ирина Глебовна, Пирютко Ольга Николаевна, издательство Народная асвета, Минск, 2022, зелёного цвета

Авторы: Арефьева И. Г., Пирютко О. Н.

Тип: Учебник

Издательство: Народная асвета

Год издания: 2022 - 2026

Цвет обложки: зелёный с графиком

ISBN: ISBN 978-985-03-3770-2

Допущено Министерством образования Республики Беларусь

Глава 2. Выражения и их преобразования. Параграф 12. Формулы сокращенного умножения: квадрат суммы и квадрат разности двух выражений - номер 2.282, страница 111.

№2.282 (с. 111)
Условие. №2.282 (с. 111)
скриншот условия
Алгебра, 7 класс Учебник, авторы: Арефьева Ирина Глебовна, Пирютко Ольга Николаевна, издательство Народная асвета, Минск, 2022, зелёного цвета, страница 111, номер 2.282, Условие

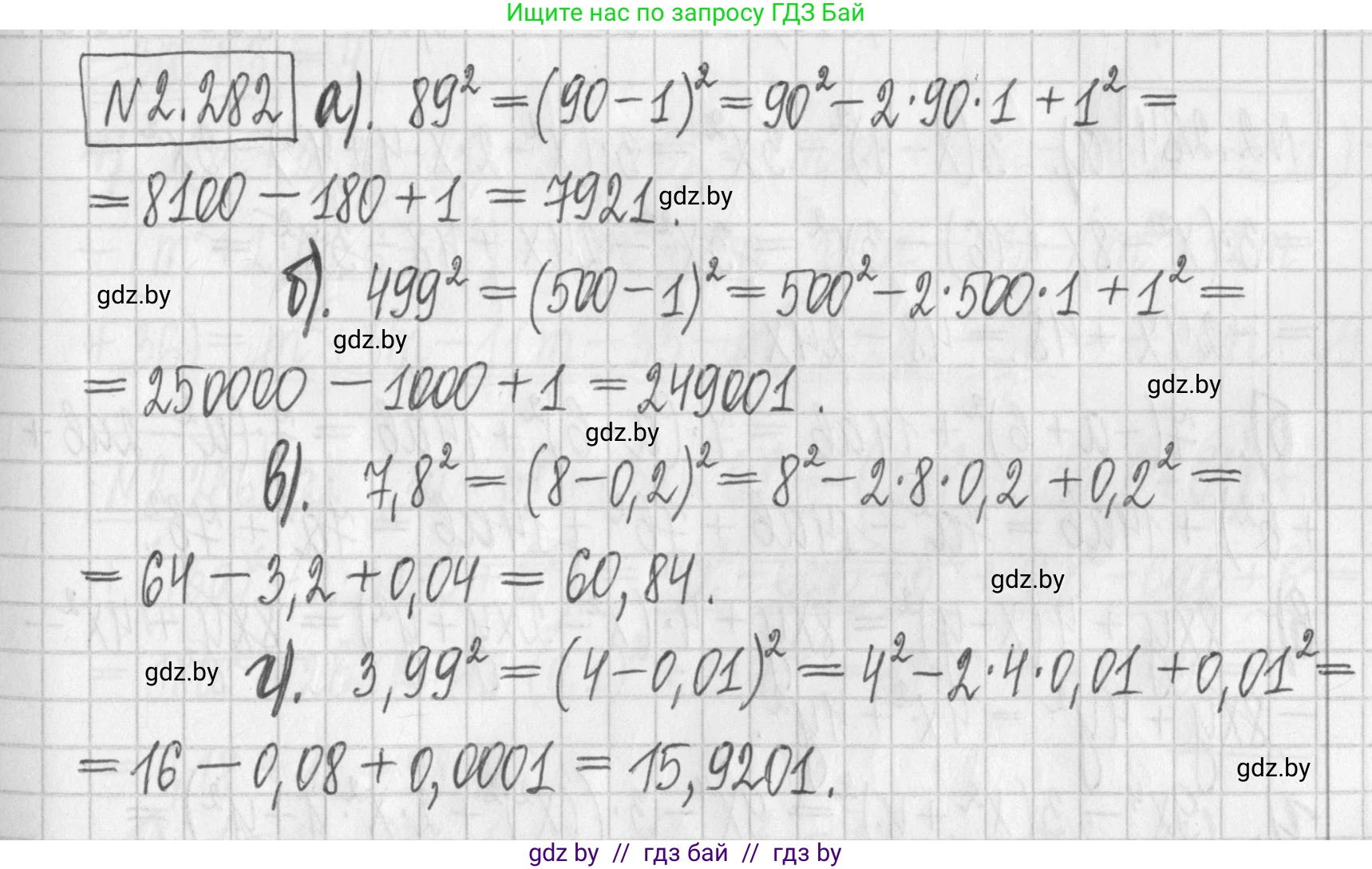
2.282. Примените формулу квадрата разности и вычислите:

а) $89^2$;

б) $499^2$;

в) $7.8^2$;

г) $3.99^2$.

Решение. №2.282 (с. 111)
Алгебра, 7 класс Учебник, авторы: Арефьева Ирина Глебовна, Пирютко Ольга Николаевна, издательство Народная асвета, Минск, 2022, зелёного цвета, страница 111, номер 2.282, Решение
Решение 2. №2.282 (с. 111)

Для вычисления значений выражений применим формулу сокращенного умножения для квадрата разности: $ (a - b)^2 = a^2 - 2ab + b^2 $. Для этого представим каждое число в виде разности двух других чисел, квадраты и произведение которых легко вычислить устно.

а) $89^2$
Представим число 89 в виде разности $90 - 1$. Тогда: $89^2 = (90 - 1)^2$
Применяем формулу квадрата разности, где $a = 90$ и $b = 1$: $(90 - 1)^2 = 90^2 - 2 \cdot 90 \cdot 1 + 1^2 = 8100 - 180 + 1 = 7921$
Ответ: 7921

б) $499^2$
Представим число 499 в виде разности $500 - 1$. Тогда: $499^2 = (500 - 1)^2$
Применяем формулу, где $a = 500$ и $b = 1$: $(500 - 1)^2 = 500^2 - 2 \cdot 500 \cdot 1 + 1^2 = 250000 - 1000 + 1 = 249001$
Ответ: 249001

в) $7,8^2$
Представим число 7,8 в виде разности $8 - 0,2$. Тогда: $7,8^2 = (8 - 0,2)^2$
Применяем формулу, где $a = 8$ и $b = 0,2$: $(8 - 0,2)^2 = 8^2 - 2 \cdot 8 \cdot 0,2 + (0,2)^2 = 64 - 3,2 + 0,04 = 60,84$
Ответ: 60,84

г) $3,99^2$
Представим число 3,99 в виде разности $4 - 0,01$. Тогда: $3,99^2 = (4 - 0,01)^2$
Применяем формулу, где $a = 4$ и $b = 0,01$: $(4 - 0,01)^2 = 4^2 - 2 \cdot 4 \cdot 0,01 + (0,01)^2 = 16 - 0,08 + 0,0001 = 15,9201$
Ответ: 15,9201

Помогло решение? Оставьте отзыв в комментариях ниже.

Присоединяйтесь к Телеграм-группе @gdz_by_belarus

Присоединиться

Мы подготовили для вас ответ c подробным объяснением домашего задания по алгебре за 7 класс, для упражнения номер 2.282 расположенного на странице 111 к учебнику 2022 года издания для учащихся школ и гимназий.

Теперь на нашем сайте ГДЗ.ТОП вы всегда легко и бесплатно найдёте условие с правильным ответом на вопрос «Как решить ДЗ» и «Как сделать» задание по алгебре к упражнению №2.282 (с. 111), авторов: Арефьева (Ирина Глебовна), Пирютко (Ольга Николаевна), учебного пособия издательства Народная асвета.