Номер 2.284, страница 111 - гдз по алгебре 7 класс учебник Арефьева, Пирютко

Алгебра, 7 класс Учебник, авторы: Арефьева Ирина Глебовна, Пирютко Ольга Николаевна, издательство Народная асвета, Минск, 2022, зелёного цвета

Авторы: Арефьева И. Г., Пирютко О. Н.

Тип: Учебник

Издательство: Народная асвета

Год издания: 2022 - 2026

Цвет обложки: зелёный с графиком

ISBN: ISBN 978-985-03-3770-2

Допущено Министерством образования Республики Беларусь

Глава 2. Выражения и их преобразования. Параграф 12. Формулы сокращенного умножения: квадрат суммы и квадрат разности двух выражений - номер 2.284, страница 111.

№2.284 (с. 111)
Условие. №2.284 (с. 111)
скриншот условия
Алгебра, 7 класс Учебник, авторы: Арефьева Ирина Глебовна, Пирютко Ольга Николаевна, издательство Народная асвета, Минск, 2022, зелёного цвета, страница 111, номер 2.284, Условие

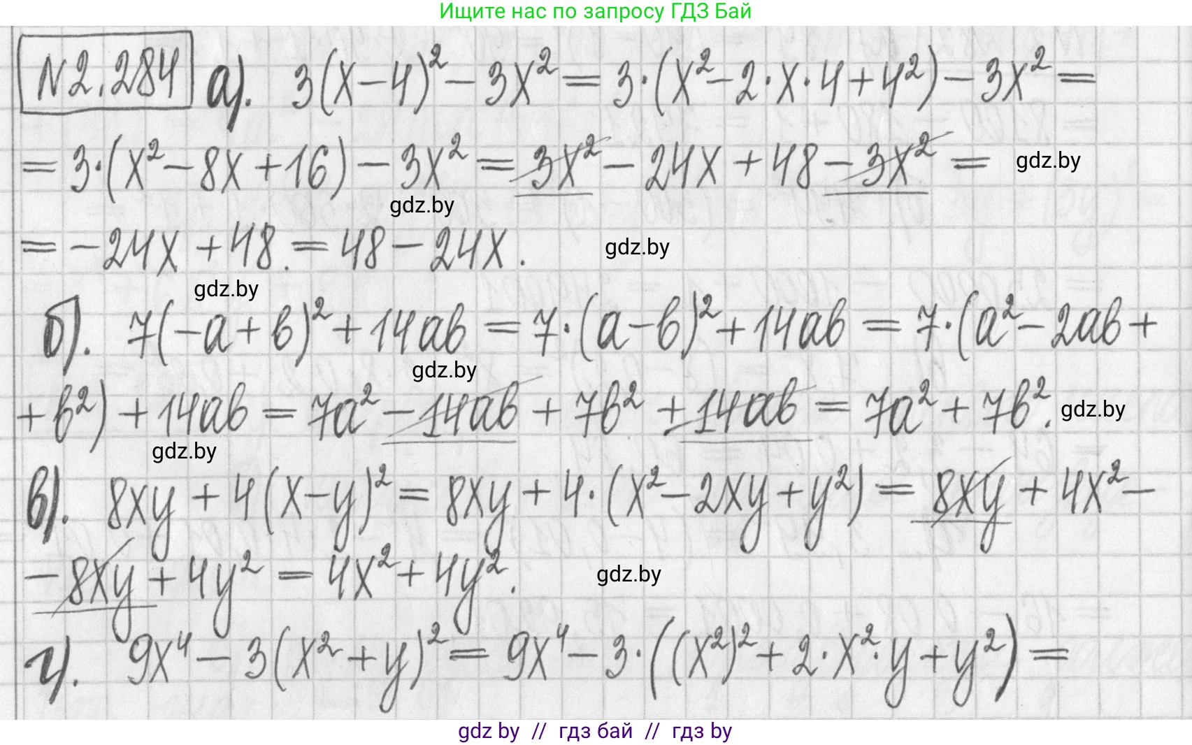
2.284. Представьте в виде многочлена, выполнив тождественные преобразования:

а) $3(x - 4)^2 - 3x^2$;

б) $7(-a + b)^2 + 14ab$;

в) $8xy + 4(x - y)^2$;

г) $9x^4 - 3(x^2 + y)^2$.

Решение. №2.284 (с. 111)
Алгебра, 7 класс Учебник, авторы: Арефьева Ирина Глебовна, Пирютко Ольга Николаевна, издательство Народная асвета, Минск, 2022, зелёного цвета, страница 111, номер 2.284, Решение Алгебра, 7 класс Учебник, авторы: Арефьева Ирина Глебовна, Пирютко Ольга Николаевна, издательство Народная асвета, Минск, 2022, зелёного цвета, страница 111, номер 2.284, Решение (продолжение 2)
Решение 2. №2.284 (с. 111)

Для представления выражений в виде многочлена необходимо выполнить тождественные преобразования, в основном используя формулы сокращенного умножения: квадрат суммы $(a+b)^2 = a^2+2ab+b^2$ и квадрат разности $(a-b)^2 = a^2-2ab+b^2$.

а) $3(x - 4)^2 - 3x^2$

1. Раскроем скобку $(x - 4)^2$ по формуле квадрата разности:

$(x - 4)^2 = x^2 - 2 \cdot x \cdot 4 + 4^2 = x^2 - 8x + 16$

2. Подставим полученное выражение обратно в исходное:

$3(x^2 - 8x + 16) - 3x^2$

3. Раскроем скобки, умножив 3 на каждый член многочлена в скобках:

$3x^2 - 3 \cdot 8x + 3 \cdot 16 - 3x^2 = 3x^2 - 24x + 48 - 3x^2$

4. Приведем подобные слагаемые:

$(3x^2 - 3x^2) - 24x + 48 = -24x + 48$

Ответ: $-24x + 48$.

б) $7(-a + b)^2 + 14ab$

1. Заметим, что $(-a + b)^2 = (b - a)^2$. Раскроем скобку по формуле квадрата разности:

$(b - a)^2 = b^2 - 2 \cdot b \cdot a + a^2 = a^2 - 2ab + b^2$

2. Подставим полученное выражение обратно в исходное:

$7(a^2 - 2ab + b^2) + 14ab$

3. Раскроем скобки:

$7a^2 - 7 \cdot 2ab + 7b^2 + 14ab = 7a^2 - 14ab + 7b^2 + 14ab$

4. Приведем подобные слагаемые:

$7a^2 + (-14ab + 14ab) + 7b^2 = 7a^2 + 7b^2$

Ответ: $7a^2 + 7b^2$.

в) $8xy + 4(x - y)^2$

1. Раскроем скобку $(x - y)^2$ по формуле квадрата разности:

$(x - y)^2 = x^2 - 2xy + y^2$

2. Подставим полученное выражение обратно в исходное:

$8xy + 4(x^2 - 2xy + y^2)$

3. Раскроем скобки:

$8xy + 4x^2 - 4 \cdot 2xy + 4y^2 = 8xy + 4x^2 - 8xy + 4y^2$

4. Приведем подобные слагаемые:

$4x^2 + (8xy - 8xy) + 4y^2 = 4x^2 + 4y^2$

Ответ: $4x^2 + 4y^2$.

г) $9x^4 - 3(x^2 + y)^2$

1. Раскроем скобку $(x^2 + y)^2$ по формуле квадрата суммы. В данном случае $a = x^2$ и $b = y$.

$(x^2 + y)^2 = (x^2)^2 + 2 \cdot x^2 \cdot y + y^2 = x^4 + 2x^2y + y^2$

2. Подставим полученное выражение обратно в исходное:

$9x^4 - 3(x^4 + 2x^2y + y^2)$

3. Раскроем скобки, умножив -3 на каждый член многочлена в скобках:

$9x^4 - 3x^4 - 3 \cdot 2x^2y - 3y^2 = 9x^4 - 3x^4 - 6x^2y - 3y^2$

4. Приведем подобные слагаемые:

$(9x^4 - 3x^4) - 6x^2y - 3y^2 = 6x^4 - 6x^2y - 3y^2$

Ответ: $6x^4 - 6x^2y - 3y^2$.

Помогло решение? Оставьте отзыв в комментариях ниже.

Присоединяйтесь к Телеграм-группе @gdz_by_belarus

Присоединиться

Мы подготовили для вас ответ c подробным объяснением домашего задания по алгебре за 7 класс, для упражнения номер 2.284 расположенного на странице 111 к учебнику 2022 года издания для учащихся школ и гимназий.

Теперь на нашем сайте ГДЗ.ТОП вы всегда легко и бесплатно найдёте условие с правильным ответом на вопрос «Как решить ДЗ» и «Как сделать» задание по алгебре к упражнению №2.284 (с. 111), авторов: Арефьева (Ирина Глебовна), Пирютко (Ольга Николаевна), учебного пособия издательства Народная асвета.