Номер 1.121, страница 42 - гдз по алгебре 9 класс учебник Арефьева, Пирютко

Алгебра, 9 класс Учебник, авторы: Арефьева Ирина Глебовна, Пирютко Ольга Николаевна, издательство Народная асвета, Минск, 2019, голубого цвета

Авторы: Арефьева И. Г., Пирютко О. Н.

Тип: Учебник

Издательство: Народная асвета

Год издания: 2019 - 2026

Цвет обложки: голубой, синий с графиком

ISBN: 978-985-03-3077-2

Допущено Министерством образования Республики Беларусь

Популярные ГДЗ в 9 классе

Глава 1. Рациональные выражения. Параграф 3. Сложение и вычитание рациональных дробей - номер 1.121, страница 42.

№1.121 (с. 42)
Условие. №1.121 (с. 42)
скриншот условия
Алгебра, 9 класс Учебник, авторы: Арефьева Ирина Глебовна, Пирютко Ольга Николаевна, издательство Народная асвета, Минск, 2019, голубого цвета, страница 42, номер 1.121, Условие

1.121. Примените формулу разложения квадратного трехчлена на множители и выполните действия:

а) $ \frac{1}{a^2 - 4a + 3} - \frac{2}{a^2 - 5a + 4} $;

б) $ \frac{3 - x}{x^2 - 5x + 6} - \frac{x - 4}{x^2 - 6x + 8} $;

в) $ \frac{a + 2}{a^2 - a - 6} - \frac{a}{a^2 - 6a + 9} $;

г) $ 1 - \frac{b - 4}{b^2 + 2b - 24} - \frac{2}{b + 6} $;

Решение. №1.121 (с. 42)
Алгебра, 9 класс Учебник, авторы: Арефьева Ирина Глебовна, Пирютко Ольга Николаевна, издательство Народная асвета, Минск, 2019, голубого цвета, страница 42, номер 1.121, Решение Алгебра, 9 класс Учебник, авторы: Арефьева Ирина Глебовна, Пирютко Ольга Николаевна, издательство Народная асвета, Минск, 2019, голубого цвета, страница 42, номер 1.121, Решение (продолжение 2)
Решение 2. №1.121 (с. 42)

Для решения данных задач применяется формула разложения квадратного трехчлена на множители: $ax^2 + bx + c = a(x-x_1)(x-x_2)$, где $x_1$ и $x_2$ — корни уравнения $ax^2 + bx + c = 0$.

а) $\frac{1}{a^2 - 4a + 3} - \frac{2}{a^2 - 5a + 4}$

1. Разложим на множители знаменатели. Для этого найдем корни соответствующих квадратных уравнений.
Для $a^2 - 4a + 3 = 0$, по теореме Виета, корни $a_1=1, a_2=3$. Следовательно, $a^2 - 4a + 3 = (a-1)(a-3)$.
Для $a^2 - 5a + 4 = 0$, по теореме Виета, корни $a_1=1, a_2=4$. Следовательно, $a^2 - 5a + 4 = (a-1)(a-4)$.

2. Перепишем выражение с разложенными знаменателями:
$\frac{1}{(a-1)(a-3)} - \frac{2}{(a-1)(a-4)}$

3. Приведем дроби к общему знаменателю $(a-1)(a-3)(a-4)$ и выполним вычитание:
$\frac{1 \cdot (a-4)}{(a-1)(a-3)(a-4)} - \frac{2 \cdot (a-3)}{(a-1)(a-3)(a-4)} = \frac{(a-4) - 2(a-3)}{(a-1)(a-3)(a-4)} = \frac{a-4 - 2a + 6}{(a-1)(a-3)(a-4)} = \frac{-a+2}{(a-1)(a-3)(a-4)}$

Ответ: $\frac{2-a}{(a-1)(a-3)(a-4)}$.

б) $\frac{3 - x}{x^2 - 5x + 6} - \frac{x - 4}{x^2 - 6x + 8}$

1. Разложим на множители знаменатели.
Для $x^2 - 5x + 6 = 0$, корни $x_1=2, x_2=3$. Следовательно, $x^2 - 5x + 6 = (x-2)(x-3)$.
Для $x^2 - 6x + 8 = 0$, корни $x_1=2, x_2=4$. Следовательно, $x^2 - 6x + 8 = (x-2)(x-4)$.

2. Перепишем выражение:
$\frac{3-x}{(x-2)(x-3)} - \frac{x-4}{(x-2)(x-4)}$
Так как $3-x = -(x-3)$, первую дробь можно сократить до $\frac{-1}{x-2}$ (при $x \neq 3$). Вторую дробь можно сократить на $(x-4)$ до $\frac{1}{x-2}$ (при $x \neq 4$).
Выражение упрощается до: $\frac{-1}{x-2} - \frac{1}{x-2} = \frac{-1-1}{x-2} = \frac{-2}{x-2}$.

Ответ: $\frac{-2}{x-2}$.

в) $\frac{a + 2}{a^2 - a - 6} - \frac{a}{a^2 - 6a + 9}$

1. Разложим на множители знаменатели.
Для $a^2 - a - 6 = 0$, корни $a_1=3, a_2=-2$. Следовательно, $a^2 - a - 6 = (a-3)(a+2)$.
Знаменатель $a^2 - 6a + 9$ является полным квадратом: $(a-3)^2$.

2. Перепишем выражение:
$\frac{a+2}{(a-3)(a+2)} - \frac{a}{(a-3)^2}$
Сократим первую дробь на $(a+2)$ (при $a \neq -2$):
$\frac{1}{a-3} - \frac{a}{(a-3)^2}$

3. Приведем к общему знаменателю $(a-3)^2$ и выполним вычитание:
$\frac{1 \cdot (a-3)}{(a-3)^2} - \frac{a}{(a-3)^2} = \frac{a-3-a}{(a-3)^2} = \frac{-3}{(a-3)^2}$

Ответ: $\frac{-3}{(a-3)^2}$.

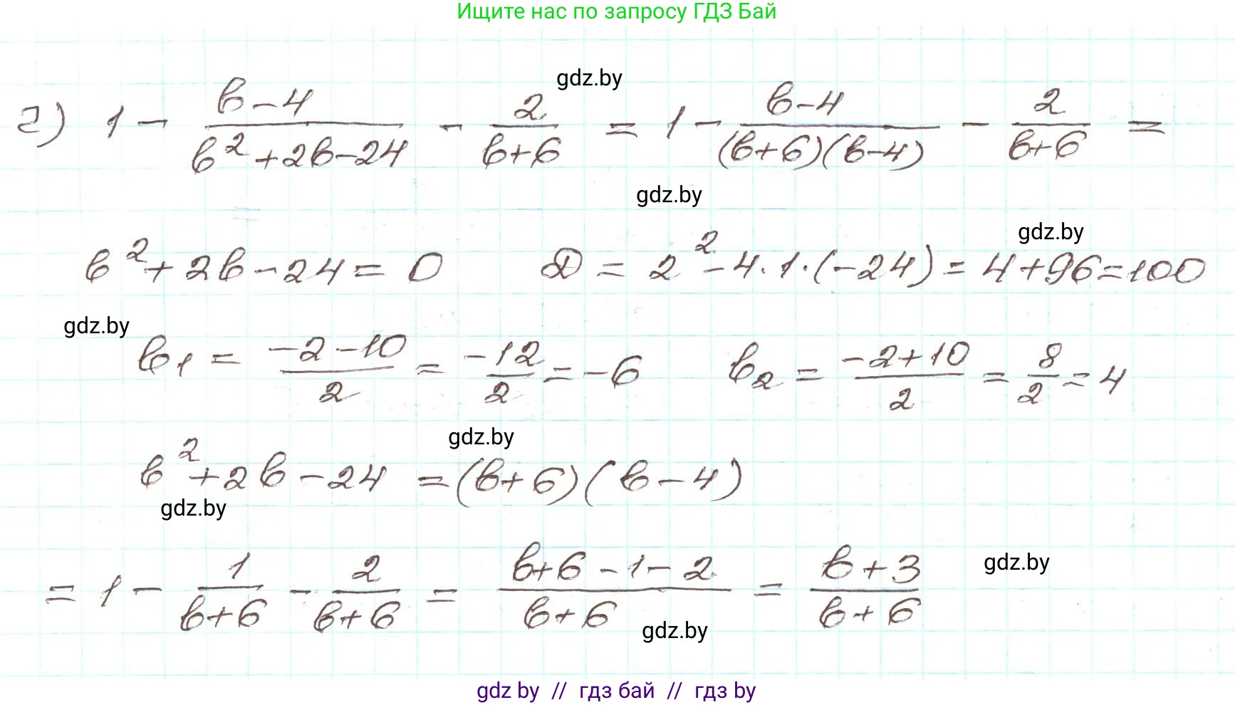
г) $1 - \frac{b - 4}{b^2 + 2b - 24} - \frac{2}{b + 6}$

1. Разложим на множители знаменатель $b^2 + 2b - 24$.
Для $b^2 + 2b - 24=0$, корни $b_1=4, b_2=-6$. Следовательно, $b^2 + 2b - 24 = (b-4)(b+6)$.

2. Перепишем выражение:
$1 - \frac{b-4}{(b-4)(b+6)} - \frac{2}{b+6}$
Сократим вторую дробь на $(b-4)$ (при $b \neq 4$):
$1 - \frac{1}{b+6} - \frac{2}{b+6}$

3. Выполним действия с дробями:
$1 - \left(\frac{1}{b+6} + \frac{2}{b+6}\right) = 1 - \frac{3}{b+6}$.

4. Полученное выражение $1 - \frac{3}{b+6}$ является ответом с выделенной целой частью. Если привести к одной дроби, получится $\frac{b+6-3}{b+6} = \frac{b+3}{b+6}$, что является неправильной рациональной дробью (степень числителя равна степени знаменателя).

Ответ: $1 - \frac{3}{b+6}$, целая часть равна 1.

Помогло решение? Оставьте отзыв в комментариях ниже.

Присоединяйтесь к Телеграм-группе @gdz_by_belarus

Присоединиться

Мы подготовили для вас ответ c подробным объяснением домашего задания по алгебре за 9 класс, для упражнения номер 1.121 расположенного на странице 42 к учебнику 2019 года издания для учащихся школ и гимназий.

Теперь на нашем сайте ГДЗ.ТОП вы всегда легко и бесплатно найдёте условие с правильным ответом на вопрос «Как решить ДЗ» и «Как сделать» задание по алгебре к упражнению №1.121 (с. 42), авторов: Арефьева (Ирина Глебовна), Пирютко (Ольга Николаевна), учебного пособия издательства Народная асвета.