Номер 1.125, страница 43 - гдз по алгебре 9 класс учебник Арефьева, Пирютко

Алгебра, 9 класс Учебник, авторы: Арефьева Ирина Глебовна, Пирютко Ольга Николаевна, издательство Народная асвета, Минск, 2019, голубого цвета

Авторы: Арефьева И. Г., Пирютко О. Н.

Тип: Учебник

Издательство: Народная асвета

Год издания: 2019 - 2026

Цвет обложки: голубой, синий с графиком

ISBN: 978-985-03-3077-2

Допущено Министерством образования Республики Беларусь

Популярные ГДЗ в 9 классе

Глава 1. Рациональные выражения. Параграф 3. Сложение и вычитание рациональных дробей - номер 1.125, страница 43.

№1.125 (с. 43)
Условие. №1.125 (с. 43)
скриншот условия
Алгебра, 9 класс Учебник, авторы: Арефьева Ирина Глебовна, Пирютко Ольга Николаевна, издательство Народная асвета, Минск, 2019, голубого цвета, страница 43, номер 1.125, Условие

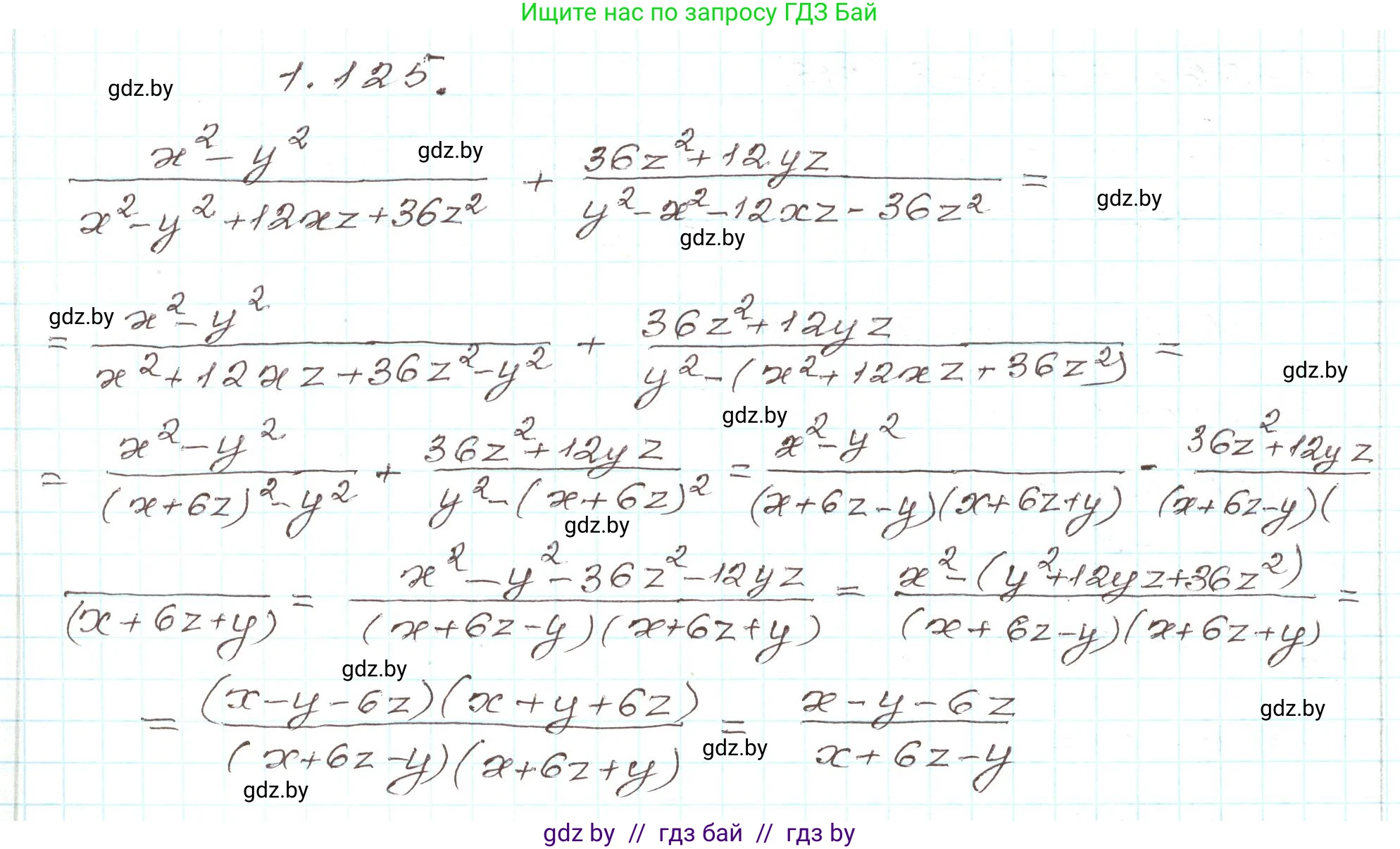
1.125*. Упростите выражение

$\frac{x^2 - y^2}{x^2 - y^2 + 12xz + 36z^2} + \frac{36z^2 + 12yz}{y^2 - x^2 - 12xz - 36z^2}$

Решение. №1.125 (с. 43)
Алгебра, 9 класс Учебник, авторы: Арефьева Ирина Глебовна, Пирютко Ольга Николаевна, издательство Народная асвета, Минск, 2019, голубого цвета, страница 43, номер 1.125, Решение
Решение 2. №1.125 (с. 43)

Преобразуем исходное выражение. Для этого приведем дроби к общему знаменателю. Заметим, что знаменатель второй дроби является противоположностью знаменателя первой дроби:

$$ y^2 - x^2 - 12xz - 36z^2 = -(x^2 - y^2 + 12xz + 36z^2) $$

Теперь мы можем изменить знак перед второй дробью и записать выражение с общим знаменателем:

$$ \frac{x^2 - y^2}{x^2 - y^2 + 12xz + 36z^2} - \frac{36z^2 + 12yz}{x^2 - y^2 + 12xz + 36z^2} $$

Выполним вычитание дробей:

$$ \frac{(x^2 - y^2) - (36z^2 + 12yz)}{x^2 - y^2 + 12xz + 36z^2} = \frac{x^2 - y^2 - 12yz - 36z^2}{x^2 - y^2 + 12xz + 36z^2} $$

Далее, разложим числитель и знаменатель на множители, используя формулы сокращенного умножения: полный квадрат и разность квадратов.

Преобразуем числитель:

$$ x^2 - y^2 - 12yz - 36z^2 = x^2 - (y^2 + 12yz + 36z^2) = x^2 - (y + 6z)^2 $$

Это разность квадратов, которую раскладываем на множители:

$$ (x - (y + 6z))(x + (y + 6z)) = (x - y - 6z)(x + y + 6z) $$

Преобразуем знаменатель:

$$ x^2 - y^2 + 12xz + 36z^2 = (x^2 + 12xz + 36z^2) - y^2 = (x + 6z)^2 - y^2 $$

Это также разность квадратов:

$$ ((x + 6z) - y)((x + 6z) + y) = (x - y + 6z)(x + y + 6z) $$

Теперь подставим разложенные числитель и знаменатель обратно в дробь и сократим:

$$ \frac{(x - y - 6z)(x + y + 6z)}{(x - y + 6z)(x + y + 6z)} = \frac{x - y - 6z}{x - y + 6z} $$

Полученная дробь является неправильной, так как степень многочлена в числителе равна степени многочлена в знаменателе. Выделим целую часть:

$$ \frac{x - y - 6z}{x - y + 6z} = \frac{(x - y + 6z) - 12z}{x - y + 6z} = \frac{x - y + 6z}{x - y + 6z} - \frac{12z}{x - y + 6z} = 1 - \frac{12z}{x - y + 6z} $$

Ответ: $1 - \frac{12z}{x - y + 6z}$.

Помогло решение? Оставьте отзыв в комментариях ниже.

Присоединяйтесь к Телеграм-группе @gdz_by_belarus

Присоединиться

Мы подготовили для вас ответ c подробным объяснением домашего задания по алгебре за 9 класс, для упражнения номер 1.125 расположенного на странице 43 к учебнику 2019 года издания для учащихся школ и гимназий.

Теперь на нашем сайте ГДЗ.ТОП вы всегда легко и бесплатно найдёте условие с правильным ответом на вопрос «Как решить ДЗ» и «Как сделать» задание по алгебре к упражнению №1.125 (с. 43), авторов: Арефьева (Ирина Глебовна), Пирютко (Ольга Николаевна), учебного пособия издательства Народная асвета.