Номер 1.122, страница 42 - гдз по алгебре 9 класс учебник Арефьева, Пирютко

Алгебра, 9 класс Учебник, авторы: Арефьева Ирина Глебовна, Пирютко Ольга Николаевна, издательство Народная асвета, Минск, 2019, голубого цвета

Авторы: Арефьева И. Г., Пирютко О. Н.

Тип: Учебник

Издательство: Народная асвета

Год издания: 2019 - 2026

Цвет обложки: голубой, синий с графиком

ISBN: 978-985-03-3077-2

Допущено Министерством образования Республики Беларусь

Популярные ГДЗ в 9 классе

Глава 1. Рациональные выражения. Параграф 3. Сложение и вычитание рациональных дробей - номер 1.122, страница 42.

№1.122 (с. 42)
Условие. №1.122 (с. 42)
скриншот условия
Алгебра, 9 класс Учебник, авторы: Арефьева Ирина Глебовна, Пирютко Ольга Николаевна, издательство Народная асвета, Минск, 2019, голубого цвета, страница 42, номер 1.122, Условие

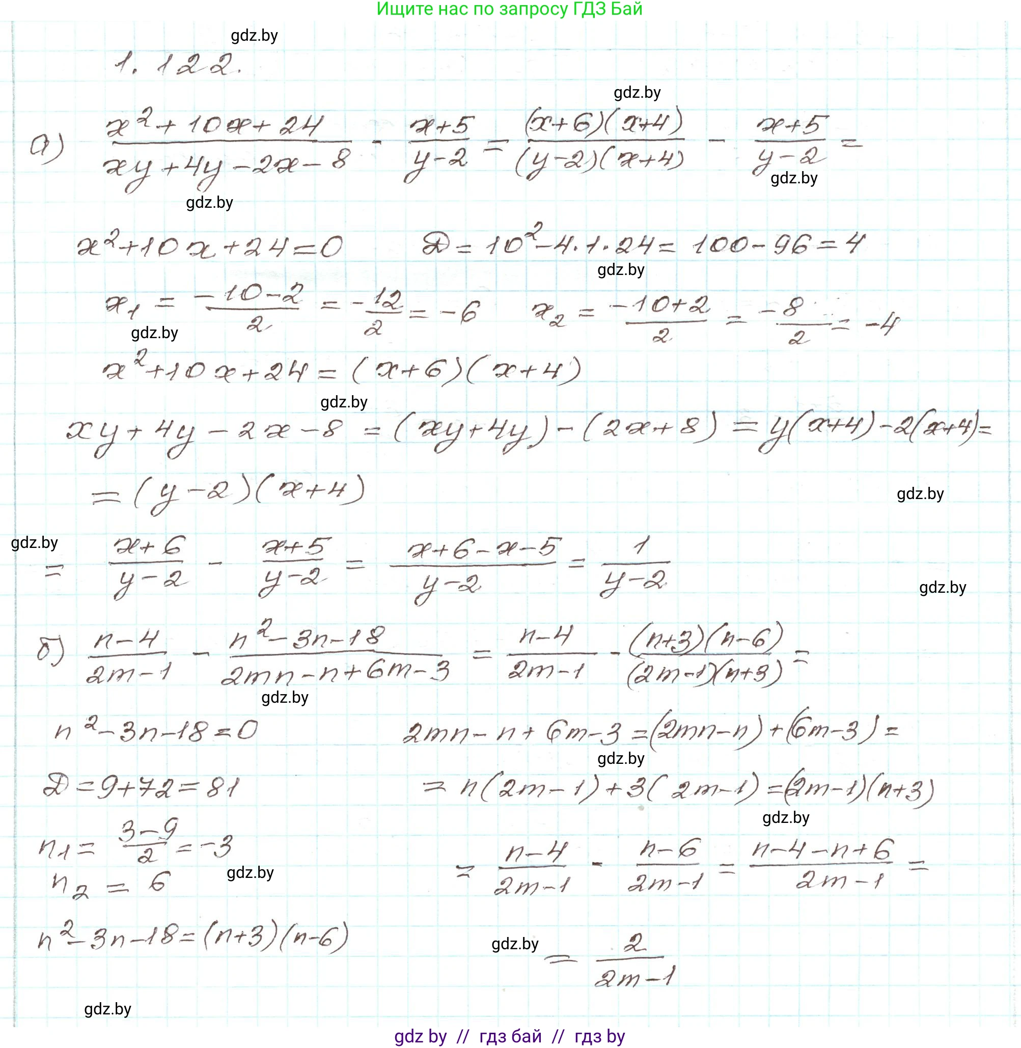
1.122*. Упростите выражение наиболее рациональным способом:

а) $\frac{x^2 + 10x + 24}{xy + 4y - 2x - 8} - \frac{x+5}{y-2}$;

б) $\frac{n-4}{2m-1} - \frac{n^2 - 3n - 18}{2mn - n + 6m - 3}$.

Решение. №1.122 (с. 42)
Алгебра, 9 класс Учебник, авторы: Арефьева Ирина Глебовна, Пирютко Ольга Николаевна, издательство Народная асвета, Минск, 2019, голубого цвета, страница 42, номер 1.122, Решение
Решение 2. №1.122 (с. 42)

а) Чтобы упростить выражение $ \frac{x^2 + 10x + 24}{xy + 4y - 2x - 8} - \frac{x+5}{y-2} $, необходимо сначала разложить на множители числитель и знаменатель первой дроби. Это наиболее рациональный способ, так как он может позволить сократить дробь до приведения к общему знаменателю.

1. Разложим на множители числитель $ x^2 + 10x + 24 $. Для этого решим квадратное уравнение $ x^2 + 10x + 24 = 0 $. По теореме Виета, сумма корней $ x_1 + x_2 = -10 $, а их произведение $ x_1 \cdot x_2 = 24 $. Корнями являются числа -4 и -6. Таким образом, $ x^2 + 10x + 24 = (x+4)(x+6) $.

2. Разложим на множители знаменатель $ xy + 4y - 2x - 8 $ методом группировки:
$ xy + 4y - 2x - 8 = (xy + 4y) + (-2x - 8) = y(x+4) - 2(x+4) = (x+4)(y-2) $.

3. Подставим полученные разложения в первую дробь и сократим её:

$ \frac{(x+4)(x+6)}{(x+4)(y-2)} = \frac{x+6}{y-2} $

4. Теперь выполним вычитание дробей с одинаковыми знаменателями:

$ \frac{x+6}{y-2} - \frac{x+5}{y-2} = \frac{(x+6) - (x+5)}{y-2} = \frac{x+6-x-5}{y-2} = \frac{1}{y-2} $

Ответ: $ \frac{1}{y-2} $.

б) Упростим выражение $ \frac{n-4}{2m-1} - \frac{n^2-3n-18}{2mn-n+6m-3} $. Как и в предыдущем примере, начнем с разложения на множители числителя и знаменателя второй дроби.

1. Разложим на множители числитель $ n^2 - 3n - 18 $. Решим квадратное уравнение $ n^2 - 3n - 18 = 0 $. По теореме Виета, сумма корней $ n_1 + n_2 = 3 $, а их произведение $ n_1 \cdot n_2 = -18 $. Корнями являются числа 6 и -3. Таким образом, $ n^2 - 3n - 18 = (n-6)(n+3) $.

2. Разложим на множители знаменатель $ 2mn - n + 6m - 3 $ методом группировки:
$ 2mn - n + 6m - 3 = (2mn - n) + (6m - 3) = n(2m-1) + 3(2m-1) = (2m-1)(n+3) $.

3. Подставим полученные разложения во вторую дробь и сократим её:

$ \frac{(n-6)(n+3)}{(2m-1)(n+3)} = \frac{n-6}{2m-1} $

4. Теперь выполним вычитание дробей с одинаковыми знаменателями:

$ \frac{n-4}{2m-1} - \frac{n-6}{2m-1} = \frac{(n-4) - (n-6)}{2m-1} = \frac{n-4-n+6}{2m-1} = \frac{2}{2m-1} $

Ответ: $ \frac{2}{2m-1} $.

Помогло решение? Оставьте отзыв в комментариях ниже.

Присоединяйтесь к Телеграм-группе @gdz_by_belarus

Присоединиться

Мы подготовили для вас ответ c подробным объяснением домашего задания по алгебре за 9 класс, для упражнения номер 1.122 расположенного на странице 42 к учебнику 2019 года издания для учащихся школ и гимназий.

Теперь на нашем сайте ГДЗ.ТОП вы всегда легко и бесплатно найдёте условие с правильным ответом на вопрос «Как решить ДЗ» и «Как сделать» задание по алгебре к упражнению №1.122 (с. 42), авторов: Арефьева (Ирина Глебовна), Пирютко (Ольга Николаевна), учебного пособия издательства Народная асвета.