Номер 1.124, страница 43 - гдз по алгебре 9 класс учебник Арефьева, Пирютко

Алгебра, 9 класс Учебник, авторы: Арефьева Ирина Глебовна, Пирютко Ольга Николаевна, издательство Народная асвета, Минск, 2019, голубого цвета

Авторы: Арефьева И. Г., Пирютко О. Н.

Тип: Учебник

Издательство: Народная асвета

Год издания: 2019 - 2026

Цвет обложки: голубой, синий с графиком

ISBN: 978-985-03-3077-2

Допущено Министерством образования Республики Беларусь

Популярные ГДЗ в 9 классе

Глава 1. Рациональные выражения. Параграф 3. Сложение и вычитание рациональных дробей - номер 1.124, страница 43.

№1.124 (с. 43)
Условие. №1.124 (с. 43)
скриншот условия
Алгебра, 9 класс Учебник, авторы: Арефьева Ирина Глебовна, Пирютко Ольга Николаевна, издательство Народная асвета, Минск, 2019, голубого цвета, страница 43, номер 1.124, Условие

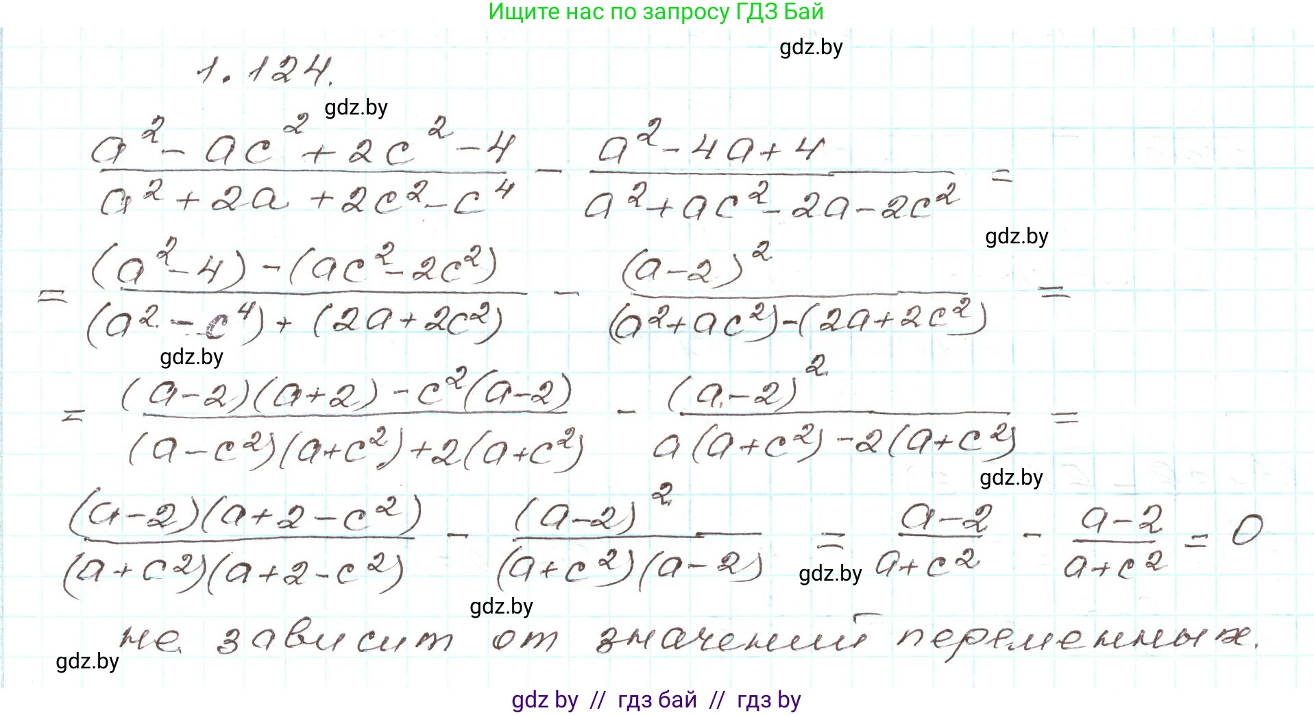
1.124*. Докажите, что значение выражения $\frac{a^2 - ac^2 + 2c^2 - 4}{a^2 + 2a + 2c^2 - c^4} - \frac{a^2 - 4a + 4}{a^2 + ac^2 - 2a - 2c^2}$ не зависит от значений переменных.

Решение. №1.124 (с. 43)
Алгебра, 9 класс Учебник, авторы: Арефьева Ирина Глебовна, Пирютко Ольга Николаевна, издательство Народная асвета, Минск, 2019, голубого цвета, страница 43, номер 1.124, Решение
Решение 2. №1.124 (с. 43)

Чтобы доказать, что значение выражения не зависит от значений переменных, необходимо его упростить. Для этого преобразуем каждую дробь по отдельности.

1. Упростим первую дробь: $\frac{a^2 - ac^2 + 2c^2 - 4}{a^2 + 2a + 2c^2 - c^4}$

Разложим на множители числитель, используя метод группировки:

$a^2 - ac^2 + 2c^2 - 4 = (a^2 - 4) - (ac^2 - 2c^2) = (a-2)(a+2) - c^2(a-2)$

Вынесем общий множитель $(a-2)$:

$(a-2)(a+2-c^2)$

Теперь разложим на множители знаменатель, выделяя полные квадраты:

$a^2 + 2a + 2c^2 - c^4 = (a^2 + 2a + 1) + (2c^2 - c^4 - 1) = (a+1)^2 - (c^4 - 2c^2 + 1) = (a+1)^2 - (c^2-1)^2$

Применим формулу разности квадратов $x^2 - y^2 = (x-y)(x+y)$:

$((a+1) - (c^2-1))((a+1) + (c^2-1)) = (a+1-c^2+1)(a+1+c^2-1) = (a-c^2+2)(a+c^2)$

Сократим первую дробь:

$$ \frac{(a-2)(a+2-c^2)}{(a+2-c^2)(a+c^2)} = \frac{a-2}{a+c^2} $$

2. Упростим вторую дробь: $\frac{a^2 - 4a + 4}{a^2 + ac^2 - 2a - 2c^2}$

Числитель является формулой квадрата разности:

$a^2 - 4a + 4 = (a-2)^2$

Разложим на множители знаменатель методом группировки:

$a^2 + ac^2 - 2a - 2c^2 = (a^2 - 2a) + (ac^2 - 2c^2) = a(a-2) + c^2(a-2)$

Вынесем общий множитель $(a-2)$:

$(a-2)(a+c^2)$

Сократим вторую дробь:

$$ \frac{(a-2)^2}{(a-2)(a+c^2)} = \frac{a-2}{a+c^2} $$

3. Найдем значение исходного выражения

Теперь, когда обе дроби упрощены, выполним вычитание:

$$ \frac{a-2}{a+c^2} - \frac{a-2}{a+c^2} = 0 $$

В результате упрощения мы получили 0. Так как 0 — это константа, значение исходного выражения не зависит от значений переменных $a$ и $c$, что и требовалось доказать.

Ответ: 0.

Помогло решение? Оставьте отзыв в комментариях ниже.

Присоединяйтесь к Телеграм-группе @gdz_by_belarus

Присоединиться

Мы подготовили для вас ответ c подробным объяснением домашего задания по алгебре за 9 класс, для упражнения номер 1.124 расположенного на странице 43 к учебнику 2019 года издания для учащихся школ и гимназий.

Теперь на нашем сайте ГДЗ.ТОП вы всегда легко и бесплатно найдёте условие с правильным ответом на вопрос «Как решить ДЗ» и «Как сделать» задание по алгебре к упражнению №1.124 (с. 43), авторов: Арефьева (Ирина Глебовна), Пирютко (Ольга Николаевна), учебного пособия издательства Народная асвета.