Номер 3.11, страница 146 - гдз по алгебре 9 класс учебник Арефьева, Пирютко

Алгебра, 9 класс Учебник, авторы: Арефьева Ирина Глебовна, Пирютко Ольга Николаевна, издательство Народная асвета, Минск, 2019, голубого цвета

Авторы: Арефьева И. Г., Пирютко О. Н.

Тип: Учебник

Издательство: Народная асвета

Год издания: 2019 - 2026

Цвет обложки: голубой, синий с графиком

ISBN: 978-985-03-3077-2

Допущено Министерством образования Республики Беларусь

Глава 3. Дробно-рациональные уравнения и неравенства. Параграф 10. Дробно-рациональные уравнения - номер 3.11, страница 146.

№3.11 (с. 146)
Условие. №3.11 (с. 146)
скриншот условия
Алгебра, 9 класс Учебник, авторы: Арефьева Ирина Глебовна, Пирютко Ольга Николаевна, издательство Народная асвета, Минск, 2019, голубого цвета, страница 146, номер 3.11, Условие

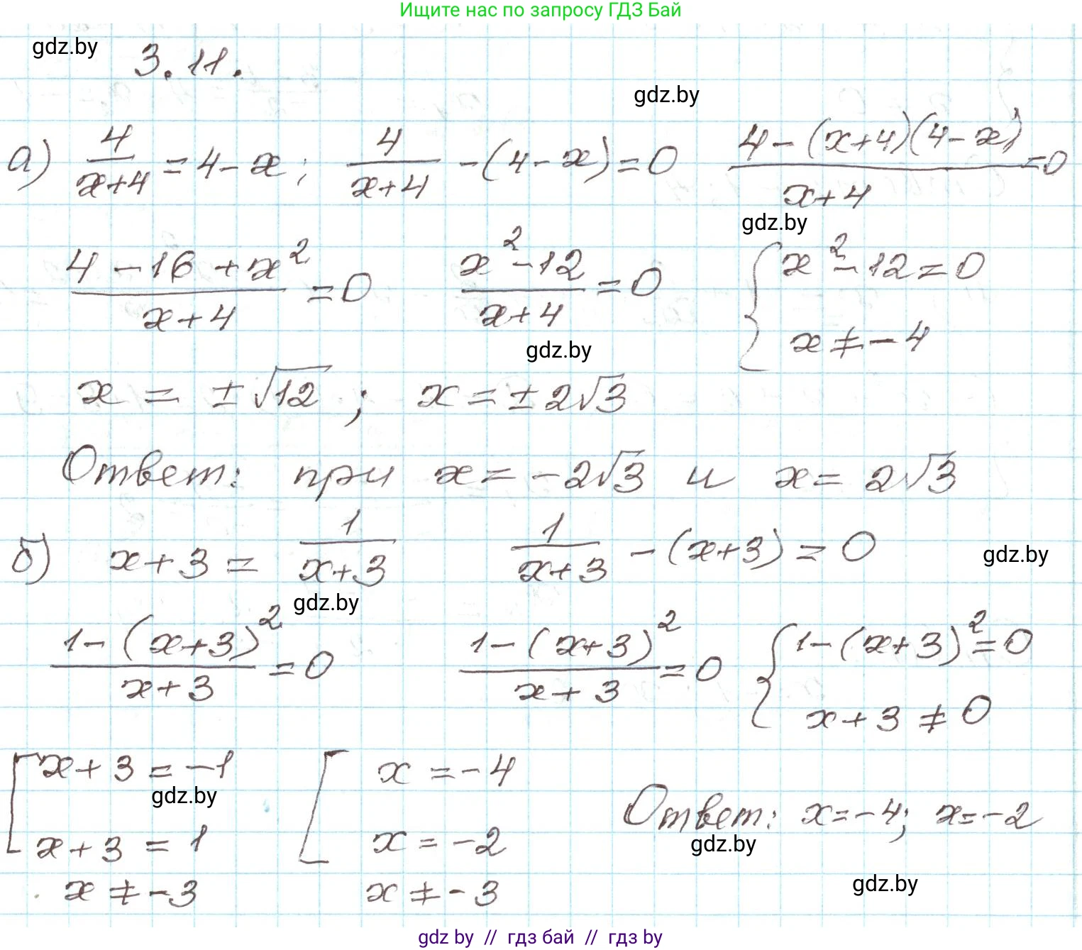
3.11. Найдите все значения переменной, при которых равны значения выражений:

а) $ \frac{4}{x+4} $ и $ 4-x $;

б) $ x+3 $ и $ \frac{1}{x+3} $.

Решение. №3.11 (с. 146)
Алгебра, 9 класс Учебник, авторы: Арефьева Ирина Глебовна, Пирютко Ольга Николаевна, издательство Народная асвета, Минск, 2019, голубого цвета, страница 146, номер 3.11, Решение
Решение 2. №3.11 (с. 146)

а) Чтобы найти все значения переменной, при которых значения выражений равны, необходимо приравнять эти выражения:

$$ \frac{4}{x+4} = 4-x $$

Область допустимых значений (ОДЗ) для этого уравнения определяется условием, что знаменатель дроби не может быть равен нулю:
$x + 4 \neq 0$
$x \neq -4$

Теперь решим уравнение. Умножим обе части на $(x+4)$, чтобы избавиться от знаменателя:

$$ 4 = (4-x)(x+4) $$

Правая часть является произведением разности и суммы двух чисел, что соответствует формуле разности квадратов $(a-b)(a+b) = a^2 - b^2$:

$$ 4 = 4^2 - x^2 $$ $$ 4 = 16 - x^2 $$

Перенесем $x^2$ в левую часть, а 4 - в правую:

$$ x^2 = 16 - 4 $$ $$ x^2 = 12 $$

Извлечем квадратный корень из обеих частей уравнения:

$$ x = \pm\sqrt{12} $$ $$ x = \pm\sqrt{4 \cdot 3} $$ $$ x = \pm 2\sqrt{3} $$

Полученные значения $x_1 = 2\sqrt{3}$ и $x_2 = -2\sqrt{3}$ не равны -4, следовательно, они являются решениями уравнения.

Ответ: $2\sqrt{3}; -2\sqrt{3}$.

б) Приравняем данные выражения:

$$ x+3 = \frac{1}{x+3} $$

ОДЗ: знаменатель не должен быть равен нулю:
$x + 3 \neq 0$
$x \neq -3$

Умножим обе части уравнения на $(x+3)$:

$$ (x+3)(x+3) = 1 $$ $$ (x+3)^2 = 1 $$

Это уравнение означает, что выражение $(x+3)$ должно быть равно либо 1, либо -1. Рассмотрим оба случая:

1) $x+3 = 1$
$x_1 = 1 - 3$
$x_1 = -2$

2) $x+3 = -1$
$x_2 = -1 - 3$
$x_2 = -4$

Оба корня, $x_1 = -2$ и $x_2 = -4$, не равны -3, значит, они входят в ОДЗ и являются решениями.

Ответ: $-2; -4$.

Помогло решение? Оставьте отзыв в комментариях ниже.

Присоединяйтесь к Телеграм-группе @gdz_by_belarus

Присоединиться

Мы подготовили для вас ответ c подробным объяснением домашего задания по алгебре за 9 класс, для упражнения номер 3.11 расположенного на странице 146 к учебнику 2019 года издания для учащихся школ и гимназий.

Теперь на нашем сайте ГДЗ.ТОП вы всегда легко и бесплатно найдёте условие с правильным ответом на вопрос «Как решить ДЗ» и «Как сделать» задание по алгебре к упражнению №3.11 (с. 146), авторов: Арефьева (Ирина Глебовна), Пирютко (Ольга Николаевна), учебного пособия издательства Народная асвета.