Номер 3.18, страница 147 - гдз по алгебре 9 класс учебник Арефьева, Пирютко

Алгебра, 9 класс Учебник, авторы: Арефьева Ирина Глебовна, Пирютко Ольга Николаевна, издательство Народная асвета, Минск, 2019, голубого цвета

Авторы: Арефьева И. Г., Пирютко О. Н.

Тип: Учебник

Издательство: Народная асвета

Год издания: 2019 - 2026

Цвет обложки: голубой, синий с графиком

ISBN: 978-985-03-3077-2

Допущено Министерством образования Республики Беларусь

Популярные ГДЗ в 9 классе

Глава 3. Дробно-рациональные уравнения и неравенства. Параграф 10. Дробно-рациональные уравнения - номер 3.18, страница 147.

№3.18 (с. 147)
Условие. №3.18 (с. 147)
скриншот условия
Алгебра, 9 класс Учебник, авторы: Арефьева Ирина Глебовна, Пирютко Ольга Николаевна, издательство Народная асвета, Минск, 2019, голубого цвета, страница 147, номер 3.18, Условие

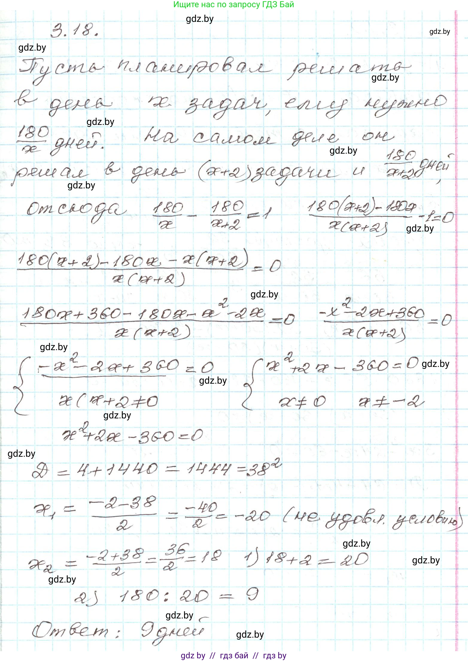
3.18. Готовясь к вступительным экзаменам, абитуриент должен был решить 180 задач. Ежедневно он решал на 2 задачи больше, чем планировал, и поэтому закончил подготовку на 1 день раньше запланированного срока. За сколько дней абитуриент решил все задачи?

Решение. №3.18 (с. 147)
Алгебра, 9 класс Учебник, авторы: Арефьева Ирина Глебовна, Пирютко Ольга Николаевна, издательство Народная асвета, Минск, 2019, голубого цвета, страница 147, номер 3.18, Решение
Решение 2. №3.18 (с. 147)

Для решения задачи составим систему уравнений. Пусть $x$ — это количество задач, которое абитуриент планировал решать в день, а $y$ — количество дней, за которое он планировал решить все задачи.

Согласно плану, общее количество задач равно произведению количества задач в день на количество дней:

$x \cdot y = 180$

По условию, абитуриент решал на 2 задачи больше, чем планировал, то есть его фактическая производительность была $(x+2)$ задачи в день. Он закончил подготовку на 1 день раньше, то есть затратил $(y-1)$ дней. Общее количество решенных задач при этом осталось прежним:

$(x+2)(y-1) = 180$

Получаем систему из двух уравнений:

$\begin{cases} xy = 180 \\ (x+2)(y-1) = 180 \end{cases}$

Выразим $x$ из первого уравнения: $x = \frac{180}{y}$

Подставим это выражение во второе уравнение:

$(\frac{180}{y} + 2)(y-1) = 180$

Раскроем скобки:

$\frac{180}{y} \cdot y - \frac{180}{y} \cdot 1 + 2 \cdot y - 2 \cdot 1 = 180$

$180 - \frac{180}{y} + 2y - 2 = 180$

Приведем подобные слагаемые и упростим уравнение:

$-\frac{180}{y} + 2y - 2 = 0$

Умножим все члены уравнения на $y$ (при условии, что $y \neq 0$, что верно, так как это количество дней):

$-180 + 2y^2 - 2y = 0$

Расположим члены в стандартном порядке для квадратного уравнения и разделим на 2 для упрощения:

$2y^2 - 2y - 180 = 0 \quad | :2$

$y^2 - y - 90 = 0$

Решим полученное квадратное уравнение через дискриминант:

$D = b^2 - 4ac = (-1)^2 - 4 \cdot 1 \cdot (-90) = 1 + 360 = 361$

$\sqrt{D} = \sqrt{361} = 19$

Найдем корни уравнения:

$y_1 = \frac{-b + \sqrt{D}}{2a} = \frac{1 + 19}{2} = \frac{20}{2} = 10$

$y_2 = \frac{-b - \sqrt{D}}{2a} = \frac{1 - 19}{2} = \frac{-18}{2} = -9$

Корень $y_2 = -9$ не подходит по смыслу задачи, так как количество дней не может быть отрицательным. Следовательно, запланированное количество дней $y = 10$.

Вопрос задачи — за сколько дней абитуриент решил все задачи, то есть найти фактическое время. Фактическое время составляет $(y-1)$ дней.

$10 - 1 = 9$ дней.

За сколько дней абитуриент решил все задачи? Ответ: 9

Помогло решение? Оставьте отзыв в комментариях ниже.

Присоединяйтесь к Телеграм-группе @gdz_by_belarus

Присоединиться

Мы подготовили для вас ответ c подробным объяснением домашего задания по алгебре за 9 класс, для упражнения номер 3.18 расположенного на странице 147 к учебнику 2019 года издания для учащихся школ и гимназий.

Теперь на нашем сайте ГДЗ.ТОП вы всегда легко и бесплатно найдёте условие с правильным ответом на вопрос «Как решить ДЗ» и «Как сделать» задание по алгебре к упражнению №3.18 (с. 147), авторов: Арефьева (Ирина Глебовна), Пирютко (Ольга Николаевна), учебного пособия издательства Народная асвета.