Номер 3.21, страница 148 - гдз по алгебре 9 класс учебник Арефьева, Пирютко

Алгебра, 9 класс Учебник, авторы: Арефьева Ирина Глебовна, Пирютко Ольга Николаевна, издательство Народная асвета, Минск, 2019, голубого цвета

Авторы: Арефьева И. Г., Пирютко О. Н.

Тип: Учебник

Издательство: Народная асвета

Год издания: 2019 - 2026

Цвет обложки: голубой, синий с графиком

ISBN: 978-985-03-3077-2

Допущено Министерством образования Республики Беларусь

Популярные ГДЗ в 9 классе

Глава 3. Дробно-рациональные уравнения и неравенства. Параграф 10. Дробно-рациональные уравнения - номер 3.21, страница 148.

№3.21 (с. 148)
Условие. №3.21 (с. 148)
скриншот условия
Алгебра, 9 класс Учебник, авторы: Арефьева Ирина Глебовна, Пирютко Ольга Николаевна, издательство Народная асвета, Минск, 2019, голубого цвета, страница 148, номер 3.21, Условие

3.21. Найдите абсциссы точек пересечения графика функции с осью Ox:

а) $f(x) = \frac{x}{x+1} - \frac{1}{x-1} - \frac{2}{x^2-1}$

б) $f(x) = \frac{1}{9x^2-1} - \frac{4}{3x+1} - \frac{5}{x-3x^2}$

Решение. №3.21 (с. 148)
Алгебра, 9 класс Учебник, авторы: Арефьева Ирина Глебовна, Пирютко Ольга Николаевна, издательство Народная асвета, Минск, 2019, голубого цвета, страница 148, номер 3.21, Решение Алгебра, 9 класс Учебник, авторы: Арефьева Ирина Глебовна, Пирютко Ольга Николаевна, издательство Народная асвета, Минск, 2019, голубого цвета, страница 148, номер 3.21, Решение (продолжение 2)
Решение 2. №3.21 (с. 148)

Чтобы найти абсциссы точек пересечения графика функции с осью Ox, необходимо найти значения $x$, при которых $f(x) = 0$. Это равносильно решению соответствующего уравнения.

а) Дана функция $f(x) = \frac{x}{x+1} - \frac{1}{x-1} - \frac{2}{x^2-1}$.

Приравняем функцию к нулю, чтобы найти точки пересечения с осью Ox:

$\frac{x}{x+1} - \frac{1}{x-1} - \frac{2}{x^2-1} = 0$

Определим область допустимых значений (ОДЗ). Знаменатели не могут быть равны нулю:

  • $x+1 \neq 0 \Rightarrow x \neq -1$
  • $x-1 \neq 0 \Rightarrow x \neq 1$
  • $x^2-1 = (x-1)(x+1) \neq 0$, что дает те же условия $x \neq \pm 1$.

Приведем все дроби к общему знаменателю $x^2-1 = (x+1)(x-1)$:

$\frac{x(x-1)}{(x+1)(x-1)} - \frac{1(x+1)}{(x-1)(x+1)} - \frac{2}{(x-1)(x+1)} = 0$

Теперь, когда знаменатели одинаковы, мы можем записать числитель как одно выражение:

$\frac{x(x-1) - (x+1) - 2}{(x-1)(x+1)} = 0$

Дробь равна нулю тогда и только тогда, когда ее числитель равен нулю, а знаменатель не равен нулю (что учтено в ОДЗ). Решим уравнение для числителя:

$x(x-1) - (x+1) - 2 = 0$

$x^2 - x - x - 1 - 2 = 0$

$x^2 - 2x - 3 = 0$

Это квадратное уравнение. Найдем его корни, например, по теореме Виета:

  • Сумма корней: $x_1 + x_2 = 2$
  • Произведение корней: $x_1 \cdot x_2 = -3$

Подбором находим корни: $x_1 = 3$ и $x_2 = -1$.

Проверим найденные корни на соответствие ОДЗ ($x \neq \pm 1$):

  • Корень $x_1 = 3$ удовлетворяет ОДЗ.
  • Корень $x_2 = -1$ не удовлетворяет ОДЗ, поэтому это посторонний корень.

Таким образом, существует только одна точка пересечения графика с осью Ox.

Ответ: 3.

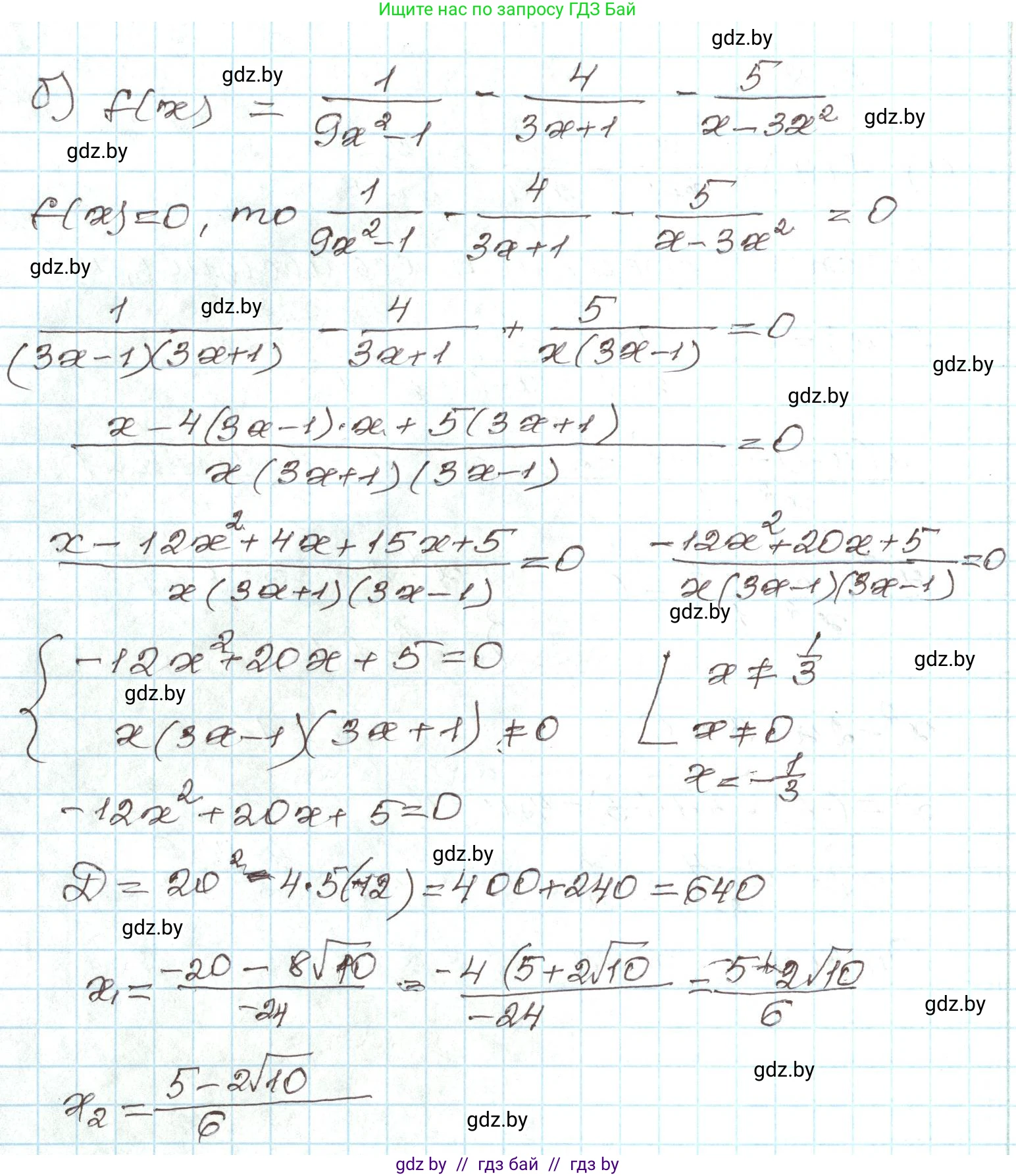
б) Дана функция $f(x) = \frac{1}{9x^2-1} - \frac{4}{3x+1} - \frac{5}{x-3x^2}$.

Приравняем функцию к нулю:

$\frac{1}{9x^2-1} - \frac{4}{3x+1} - \frac{5}{x-3x^2} = 0$

Для дальнейшего решения разложим знаменатели на множители:

  • $9x^2-1 = (3x-1)(3x+1)$
  • $x-3x^2 = x(1-3x) = -x(3x-1)$

Подставим разложенные знаменатели в уравнение:

$\frac{1}{(3x-1)(3x+1)} - \frac{4}{3x+1} - \frac{5}{-x(3x-1)} = 0$

$\frac{1}{(3x-1)(3x+1)} - \frac{4}{3x+1} + \frac{5}{x(3x-1)} = 0$

ОДЗ: знаменатели не должны быть равны нулю, поэтому $x \neq 0$, $x \neq 1/3$ и $x \neq -1/3$.

Приведем дроби к общему знаменателю $x(3x-1)(3x+1)$:

$\frac{x}{x(3x-1)(3x+1)} - \frac{4x(3x-1)}{x(3x-1)(3x+1)} + \frac{5(3x+1)}{x(3x-1)(3x+1)} = 0$

Решим уравнение для числителя:

$x - 4x(3x-1) + 5(3x+1) = 0$

$x - 12x^2 + 4x + 15x + 5 = 0$

$-12x^2 + 20x + 5 = 0$

Умножим обе части на -1 для удобства:

$12x^2 - 20x - 5 = 0$

Решим это квадратное уравнение с помощью дискриминанта $D = b^2 - 4ac$:

$D = (-20)^2 - 4 \cdot 12 \cdot (-5) = 400 + 240 = 640$

$\sqrt{D} = \sqrt{640} = \sqrt{64 \cdot 10} = 8\sqrt{10}$

Найдем корни:

$x = \frac{-b \pm \sqrt{D}}{2a} = \frac{20 \pm 8\sqrt{10}}{2 \cdot 12} = \frac{20 \pm 8\sqrt{10}}{24}$

Сократим дробь на 4:

$x = \frac{5 \pm 2\sqrt{10}}{6}$

Мы получили два корня:

$x_1 = \frac{5 + 2\sqrt{10}}{6}$ и $x_2 = \frac{5 - 2\sqrt{10}}{6}$

Оба корня не совпадают ни с одним из значений, исключенных из ОДЗ, поэтому оба являются решениями.

Проверим, является ли дробь $x_1$ неправильной. Так как $\sqrt{10} \approx 3.16$, то числитель $5 + 2\sqrt{10} \approx 5 + 6.32 = 11.32$. Поскольку $11.32 > 6$, дробь является неправильной. Выделим целую часть: $x_1 = \frac{5 + 2\sqrt{10}}{6} = \frac{6 + (2\sqrt{10}-1)}{6} = 1 + \frac{2\sqrt{10}-1}{6}$.
Для $x_2$, числитель $5 - 2\sqrt{10} \approx 5 - 6.32 = -1.32$. Так как $|-1.32| < 6$, дробь является правильной.

Ответ: $x_1 = $ 1$ + \frac{2\sqrt{10}-1}{6}$, $x_2 = \frac{5 - 2\sqrt{10}}{6}$.

Помогло решение? Оставьте отзыв в комментариях ниже.

Присоединяйтесь к Телеграм-группе @gdz_by_belarus

Присоединиться

Мы подготовили для вас ответ c подробным объяснением домашего задания по алгебре за 9 класс, для упражнения номер 3.21 расположенного на странице 148 к учебнику 2019 года издания для учащихся школ и гимназий.

Теперь на нашем сайте ГДЗ.ТОП вы всегда легко и бесплатно найдёте условие с правильным ответом на вопрос «Как решить ДЗ» и «Как сделать» задание по алгебре к упражнению №3.21 (с. 148), авторов: Арефьева (Ирина Глебовна), Пирютко (Ольга Николаевна), учебного пособия издательства Народная асвета.