Номер 3.15, страница 147 - гдз по алгебре 9 класс учебник Арефьева, Пирютко

Алгебра, 9 класс Учебник, авторы: Арефьева Ирина Глебовна, Пирютко Ольга Николаевна, издательство Народная асвета, Минск, 2019, голубого цвета

Авторы: Арефьева И. Г., Пирютко О. Н.

Тип: Учебник

Издательство: Народная асвета

Год издания: 2019 - 2026

Цвет обложки: голубой, синий с графиком

ISBN: 978-985-03-3077-2

Допущено Министерством образования Республики Беларусь

Глава 3. Дробно-рациональные уравнения и неравенства. Параграф 10. Дробно-рациональные уравнения - номер 3.15, страница 147.

№3.15 (с. 147)
Условие. №3.15 (с. 147)
скриншот условия
Алгебра, 9 класс Учебник, авторы: Арефьева Ирина Глебовна, Пирютко Ольга Николаевна, издательство Народная асвета, Минск, 2019, голубого цвета, страница 147, номер 3.15, Условие

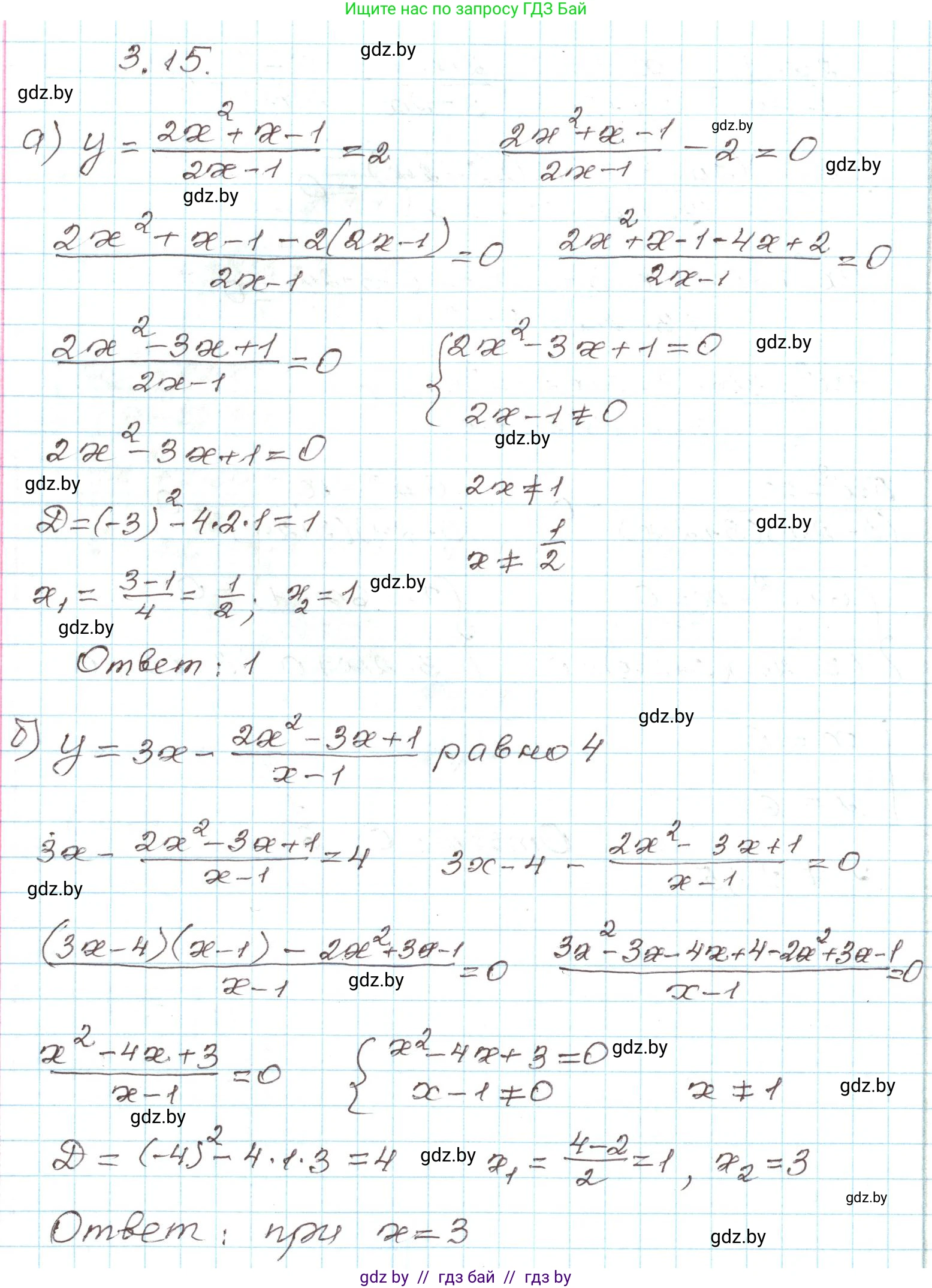
3.15. Найдите все значения аргумента, при которых значение функции:

а) $y = \frac{2x^2 + x - 1}{2x - 1}$ равно 2;

б) $y = 3x - \frac{2x^2 - 3x + 1}{x - 1}$ равно 4.

Решение. №3.15 (с. 147)
Алгебра, 9 класс Учебник, авторы: Арефьева Ирина Глебовна, Пирютко Ольга Николаевна, издательство Народная асвета, Минск, 2019, голубого цвета, страница 147, номер 3.15, Решение
Решение 2. №3.15 (с. 147)

а) Чтобы найти значения аргумента, при которых значение функции равно 2, необходимо решить уравнение:

$$ \frac{2x^2 + x - 1}{2x - 1} = 2 $$

Область допустимых значений (ОДЗ) определяется условием, что знаменатель дроби не равен нулю:

$$ 2x - 1 \neq 0 $$

$$ x \neq \frac{1}{2} $$

Для решения уравнения умножим обе его части на знаменатель $(2x - 1)$, учитывая ОДЗ:

$$ 2x^2 + x - 1 = 2(2x - 1) $$

$$ 2x^2 + x - 1 = 4x - 2 $$

Перенесём все члены в левую часть и приведём подобные слагаемые, чтобы получить стандартное квадратное уравнение:

$$ 2x^2 + x - 4x - 1 + 2 = 0 $$

$$ 2x^2 - 3x + 1 = 0 $$

Найдём корни этого уравнения. Вычислим дискриминант $D = b^2 - 4ac$:

$$ D = (-3)^2 - 4 \cdot 2 \cdot 1 = 9 - 8 = 1 $$

Поскольку $D > 0$, уравнение имеет два действительных корня:

$$ x_1 = \frac{-(-3) + \sqrt{1}}{2 \cdot 2} = \frac{3 + 1}{4} = \frac{4}{4} = 1 $$

$$ x_2 = \frac{-(-3) - \sqrt{1}}{2 \cdot 2} = \frac{3 - 1}{4} = \frac{2}{4} = \frac{1}{2} $$

Теперь необходимо проверить, принадлежат ли найденные корни области допустимых значений. Корень $x_1 = 1$ удовлетворяет условию $x \neq \frac{1}{2}$. Корень $x_2 = \frac{1}{2}$ не удовлетворяет ОДЗ, следовательно, является посторонним.

Ответ: 1.


б) Чтобы найти значения аргумента, при которых значение функции равно 4, необходимо решить уравнение:

$$ 3x - \frac{2x^2 - 3x + 1}{x - 1} = 4 $$

Область допустимых значений (ОДЗ) определяется условием:

$$ x - 1 \neq 0 $$

$$ x \neq 1 $$

Для решения уравнения приведём левую часть к общему знаменателю $(x - 1)$:

$$ \frac{3x(x - 1) - (2x^2 - 3x + 1)}{x - 1} = 4 $$

Раскроем скобки в числителе и упростим выражение:

$$ \frac{3x^2 - 3x - 2x^2 + 3x - 1}{x - 1} = 4 $$

$$ \frac{x^2 - 1}{x - 1} = 4 $$

Числитель $x^2 - 1$ можно разложить на множители по формуле разности квадратов:

$$ \frac{(x - 1)(x + 1)}{x - 1} = 4 $$

Так как из ОДЗ следует, что $x \neq 1$, мы можем сократить дробь на $(x - 1)$:

$$ x + 1 = 4 $$

$$ x = 3 $$

Полученный корень $x = 3$ удовлетворяет области допустимых значений ($x \neq 1$).

Ответ: 3.

Помогло решение? Оставьте отзыв в комментариях ниже.

Присоединяйтесь к Телеграм-группе @gdz_by_belarus

Присоединиться

Мы подготовили для вас ответ c подробным объяснением домашего задания по алгебре за 9 класс, для упражнения номер 3.15 расположенного на странице 147 к учебнику 2019 года издания для учащихся школ и гимназий.

Теперь на нашем сайте ГДЗ.ТОП вы всегда легко и бесплатно найдёте условие с правильным ответом на вопрос «Как решить ДЗ» и «Как сделать» задание по алгебре к упражнению №3.15 (с. 147), авторов: Арефьева (Ирина Глебовна), Пирютко (Ольга Николаевна), учебного пособия издательства Народная асвета.