Номер 3.17, страница 147 - гдз по алгебре 9 класс учебник Арефьева, Пирютко

Алгебра, 9 класс Учебник, авторы: Арефьева Ирина Глебовна, Пирютко Ольга Николаевна, издательство Народная асвета, Минск, 2019, голубого цвета

Авторы: Арефьева И. Г., Пирютко О. Н.

Тип: Учебник

Издательство: Народная асвета

Год издания: 2019 - 2026

Цвет обложки: голубой, синий с графиком

ISBN: 978-985-03-3077-2

Допущено Министерством образования Республики Беларусь

Популярные ГДЗ в 9 классе

Глава 3. Дробно-рациональные уравнения и неравенства. Параграф 10. Дробно-рациональные уравнения - номер 3.17, страница 147.

№3.17 (с. 147)
Условие. №3.17 (с. 147)
скриншот условия
Алгебра, 9 класс Учебник, авторы: Арефьева Ирина Глебовна, Пирютко Ольга Николаевна, издательство Народная асвета, Минск, 2019, голубого цвета, страница 147, номер 3.17, Условие

3.17. Найдите все значения переменной, при которых:

а) сумма дробей $\frac{1}{x}$ и $\frac{2}{x+2}$ равна 1;

б) разность дробей $\frac{1}{x}$ и $\frac{1}{x+4}$ равна $\frac{1}{3}$;

в) значение дроби $\frac{x-4}{5-x}$ на 2 меньше значения дроби $\frac{x-6}{x+5}$.

Решение. №3.17 (с. 147)
Алгебра, 9 класс Учебник, авторы: Арефьева Ирина Глебовна, Пирютко Ольга Николаевна, издательство Народная асвета, Минск, 2019, голубого цвета, страница 147, номер 3.17, Решение Алгебра, 9 класс Учебник, авторы: Арефьева Ирина Глебовна, Пирютко Ольга Николаевна, издательство Народная асвета, Минск, 2019, голубого цвета, страница 147, номер 3.17, Решение (продолжение 2)
Решение 2. №3.17 (с. 147)

а) Составим уравнение на основе условия задачи: сумма дробей $\frac{1}{x}$ и $\frac{2}{x+2}$ равна 1.

$\frac{1}{x} + \frac{2}{x+2} = 1$

Область допустимых значений (ОДЗ): знаменатели дробей не могут быть равны нулю, поэтому $x \neq 0$ и $x+2 \neq 0$, то есть $x \neq -2$.

Приведем дроби в левой части уравнения к общему знаменателю $x(x+2)$:

$\frac{1 \cdot (x+2)}{x(x+2)} + \frac{2 \cdot x}{x(x+2)} = 1$

$\frac{x+2+2x}{x(x+2)} = 1$

$\frac{3x+2}{x^2+2x} = 1$

Умножим обе части на знаменатель $x^2+2x$ (это допустимо, так как $x$ не может принимать значения, обращающие знаменатель в ноль):

$3x+2 = x^2+2x$

Перенесем все члены уравнения в одну сторону, чтобы получить стандартное квадратное уравнение:

$x^2 + 2x - 3x - 2 = 0$

$x^2 - x - 2 = 0$

Решим полученное квадратное уравнение. Воспользуемся теоремой Виета:

  • Сумма корней: $x_1 + x_2 = -(-1) = 1$
  • Произведение корней: $x_1 \cdot x_2 = -2$

Подбираем корни: $x_1 = 2$ и $x_2 = -1$.

Оба корня ($2$ и $-1$) удовлетворяют ОДЗ.

Ответ: -1; 2.

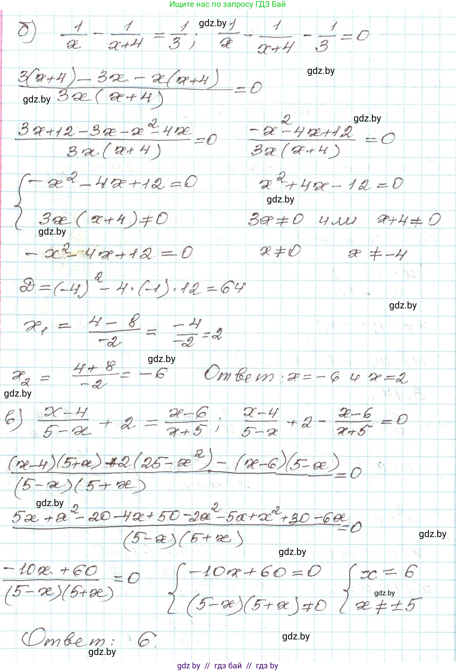
б) Составим уравнение: разность дробей $\frac{1}{x}$ и $\frac{1}{x+4}$ равна $\frac{1}{3}$.

$\frac{1}{x} - \frac{1}{x+4} = \frac{1}{3}$

ОДЗ: $x \neq 0$ и $x+4 \neq 0$, то есть $x \neq -4$.

Приведем дроби в левой части к общему знаменателю $x(x+4)$:

$\frac{1 \cdot (x+4) - 1 \cdot x}{x(x+4)} = \frac{1}{3}$

$\frac{x+4-x}{x(x+4)} = \frac{1}{3}$

$\frac{4}{x^2+4x} = \frac{1}{3}$

Используя основное свойство пропорции ("крест-накрест"), получаем:

$x^2+4x = 4 \cdot 3$

$x^2+4x = 12$

$x^2+4x-12 = 0$

Решим квадратное уравнение по теореме Виета:

  • Сумма корней: $x_1 + x_2 = -4$
  • Произведение корней: $x_1 \cdot x_2 = -12$

Подбираем корни: $x_1 = 2$ и $x_2 = -6$.

Оба корня ($2$ и $-6$) удовлетворяют ОДЗ.

Ответ: -6; 2.

в) Составим уравнение по условию: значение дроби $\frac{x-4}{5-x}$ на 2 меньше значения дроби $\frac{x-6}{x+5}$. Это записывается как:

$\frac{x-4}{5-x} = \frac{x-6}{x+5} - 2$

ОДЗ: $5-x \neq 0 \Rightarrow x \neq 5$ и $x+5 \neq 0 \Rightarrow x \neq -5$.

Для удобства вычислений перенесем слагаемые:

$2 = \frac{x-6}{x+5} - \frac{x-4}{5-x}$

Заметим, что $5-x = -(x-5)$. Подставим это в уравнение:

$2 = \frac{x-6}{x+5} - \frac{x-4}{-(x-5)}$

$2 = \frac{x-6}{x+5} + \frac{x-4}{x-5}$

Приведем дроби в правой части к общему знаменателю $(x+5)(x-5) = x^2-25$:

$2 = \frac{(x-6)(x-5) + (x-4)(x+5)}{x^2-25}$

Раскроем скобки в числителе:

$(x^2 - 5x - 6x + 30) + (x^2 + 5x - 4x - 20) = 2x^2 - 10x + 10$

Подставим полученное выражение в числитель:

$2 = \frac{2x^2 - 10x + 10}{x^2-25}$

Умножим обе части на знаменатель $x^2-25$:

$2(x^2-25) = 2x^2 - 10x + 10$

$2x^2 - 50 = 2x^2 - 10x + 10$

Вычтем $2x^2$ из обеих частей уравнения:

$-50 = -10x + 10$

$-60 = -10x$

$x = \frac{-60}{-10} = 6$

Найденный корень $x=6$ удовлетворяет ОДЗ ($6 \neq 5$ и $6 \neq -5$).

Ответ: 6.

Помогло решение? Оставьте отзыв в комментариях ниже.

Присоединяйтесь к Телеграм-группе @gdz_by_belarus

Присоединиться

Мы подготовили для вас ответ c подробным объяснением домашего задания по алгебре за 9 класс, для упражнения номер 3.17 расположенного на странице 147 к учебнику 2019 года издания для учащихся школ и гимназий.

Теперь на нашем сайте ГДЗ.ТОП вы всегда легко и бесплатно найдёте условие с правильным ответом на вопрос «Как решить ДЗ» и «Как сделать» задание по алгебре к упражнению №3.17 (с. 147), авторов: Арефьева (Ирина Глебовна), Пирютко (Ольга Николаевна), учебного пособия издательства Народная асвета.