Номер 10, страница 202 - гдз по алгебре 9 класс учебник Арефьева, Пирютко

Алгебра, 9 класс Учебник, авторы: Арефьева Ирина Глебовна, Пирютко Ольга Николаевна, издательство Народная асвета, Минск, 2019, голубого цвета

Авторы: Арефьева И. Г., Пирютко О. Н.

Тип: Учебник

Издательство: Народная асвета

Год издания: 2019 - 2026

Цвет обложки: голубой, синий с графиком

ISBN: 978-985-03-3077-2

Допущено Министерством образования Республики Беларусь

Популярные ГДЗ в 9 классе

Глава 3. Дробно-рациональные уравнения и неравенства. Я проверяю свои знания - номер 10, страница 202.

№10 (с. 202)
Условие. №10 (с. 202)
скриншот условия
Алгебра, 9 класс Учебник, авторы: Арефьева Ирина Глебовна, Пирютко Ольга Николаевна, издательство Народная асвета, Минск, 2019, голубого цвета, страница 202, номер 10, Условие

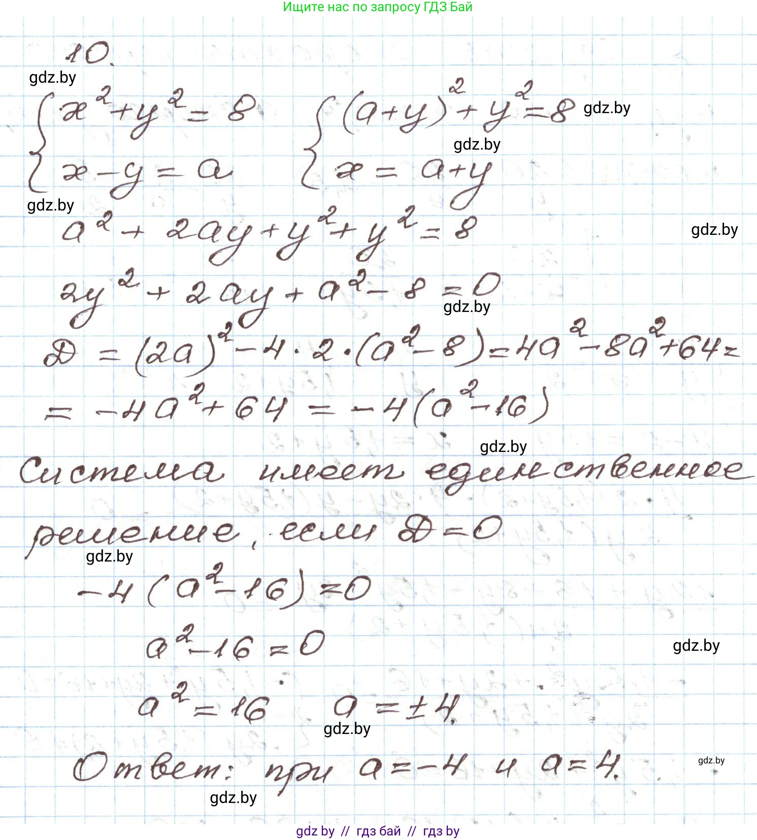
10. Найдите, при каком значении числа $a$ система уравне-

ний $\begin{cases}x^2 + y^2 = 8, \\x - y = a\end{cases}$ имеет единственное решение.

Решение. №10 (с. 202)
Алгебра, 9 класс Учебник, авторы: Арефьева Ирина Глебовна, Пирютко Ольга Николаевна, издательство Народная асвета, Минск, 2019, голубого цвета, страница 202, номер 10, Решение
Решение 2. №10 (с. 202)

Для того чтобы данная система уравнений имела единственное решение, необходимо найти такие значения параметра a, при которых графики уравнений (окружность и прямая) имеют одну общую точку. Это означает, что прямая должна быть касательной к окружности. Для решения задачи используем алгебраический метод.

Исходная система:

$$ \begin{cases} x^2 + y^2 = 8 \\ x - y = a \end{cases}$$

1. Из второго, линейного, уравнения выразим переменную x:

$x = y + a$

2. Подставим полученное выражение для x в первое уравнение системы:

$(y + a)^2 + y^2 = 8$

3. Раскроем скобки и приведем уравнение к стандартному виду квадратного уравнения относительно переменной y:

$y^2 + 2ay + a^2 + y^2 - 8 = 0$

$2y^2 + 2ay + (a^2 - 8) = 0$

4. Исходная система имеет единственное решение тогда и только тогда, когда это квадратное уравнение имеет единственный корень. Квадратное уравнение имеет один корень, если его дискриминант (D) равен нулю.

Дискриминант для уравнения вида $Ay^2 + By + C = 0$ вычисляется по формуле $D = B^2 - 4AC$. В нашем случае коэффициенты следующие: $A = 2$, $B = 2a$, $C = a^2 - 8$.

Найдем дискриминант:

$D = (2a)^2 - 4 \cdot 2 \cdot (a^2 - 8) = 4a^2 - 8(a^2 - 8) = 4a^2 - 8a^2 + 64 = -4a^2 + 64$

5. Приравняем дискриминант к нулю и найдем значения a:

$-4a^2 + 64 = 0$

$4a^2 = 64$

$a^2 = 16$

Из этого уравнения получаем два возможных значения для a: $a=4$ и $a=-4$.

Ответ: система имеет единственное решение при a = 4 и a = -4.

Помогло решение? Оставьте отзыв в комментариях ниже.

Присоединяйтесь к Телеграм-группе @gdz_by_belarus

Присоединиться

Мы подготовили для вас ответ c подробным объяснением домашего задания по алгебре за 9 класс, для упражнения номер 10 расположенного на странице 202 к учебнику 2019 года издания для учащихся школ и гимназий.

Теперь на нашем сайте ГДЗ.ТОП вы всегда легко и бесплатно найдёте условие с правильным ответом на вопрос «Как решить ДЗ» и «Как сделать» задание по алгебре к упражнению №10 (с. 202), авторов: Арефьева (Ирина Глебовна), Пирютко (Ольга Николаевна), учебного пособия издательства Народная асвета.