Номер 6, страница 201 - гдз по алгебре 9 класс учебник Арефьева, Пирютко

Алгебра, 9 класс Учебник, авторы: Арефьева Ирина Глебовна, Пирютко Ольга Николаевна, издательство Народная асвета, Минск, 2019, голубого цвета

Авторы: Арефьева И. Г., Пирютко О. Н.

Тип: Учебник

Издательство: Народная асвета

Год издания: 2019 - 2026

Цвет обложки: голубой, синий с графиком

ISBN: 978-985-03-3077-2

Допущено Министерством образования Республики Беларусь

Популярные ГДЗ в 9 классе

Глава 3. Дробно-рациональные уравнения и неравенства. Я проверяю свои знания - номер 6, страница 201.

№6 (с. 201)
Условие. №6 (с. 201)
скриншот условия
Алгебра, 9 класс Учебник, авторы: Арефьева Ирина Глебовна, Пирютко Ольга Николаевна, издательство Народная асвета, Минск, 2019, голубого цвета, страница 201, номер 6, Условие

6. Решите уравнение:

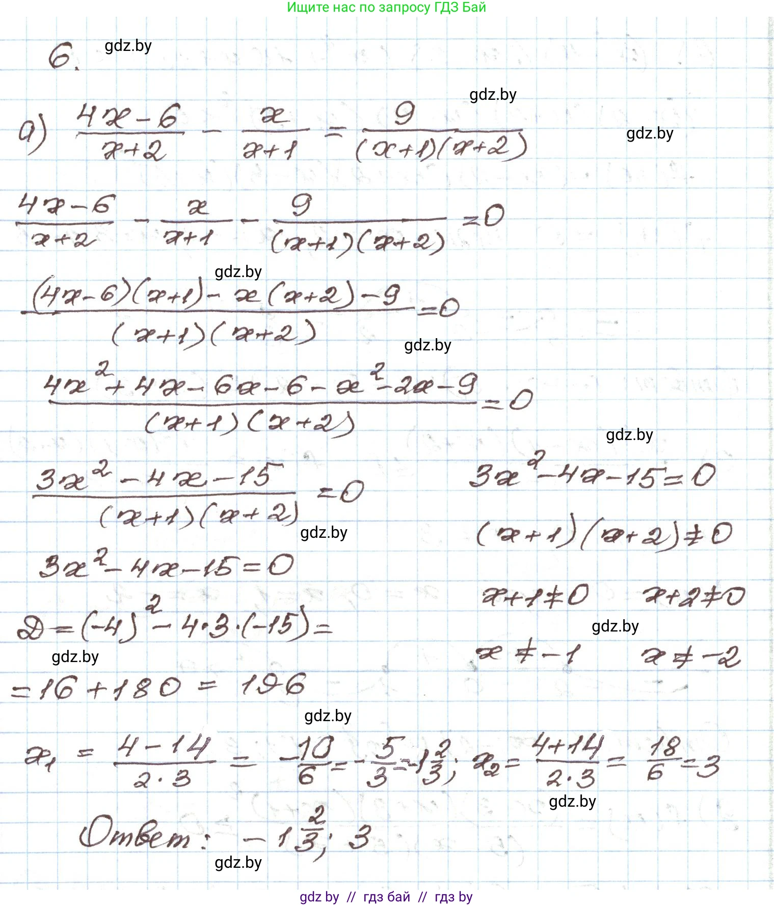
а) $ \frac{4x - 6}{x + 2} - \frac{x}{x + 1} = \frac{9}{(x + 1)(x + 2)}; $

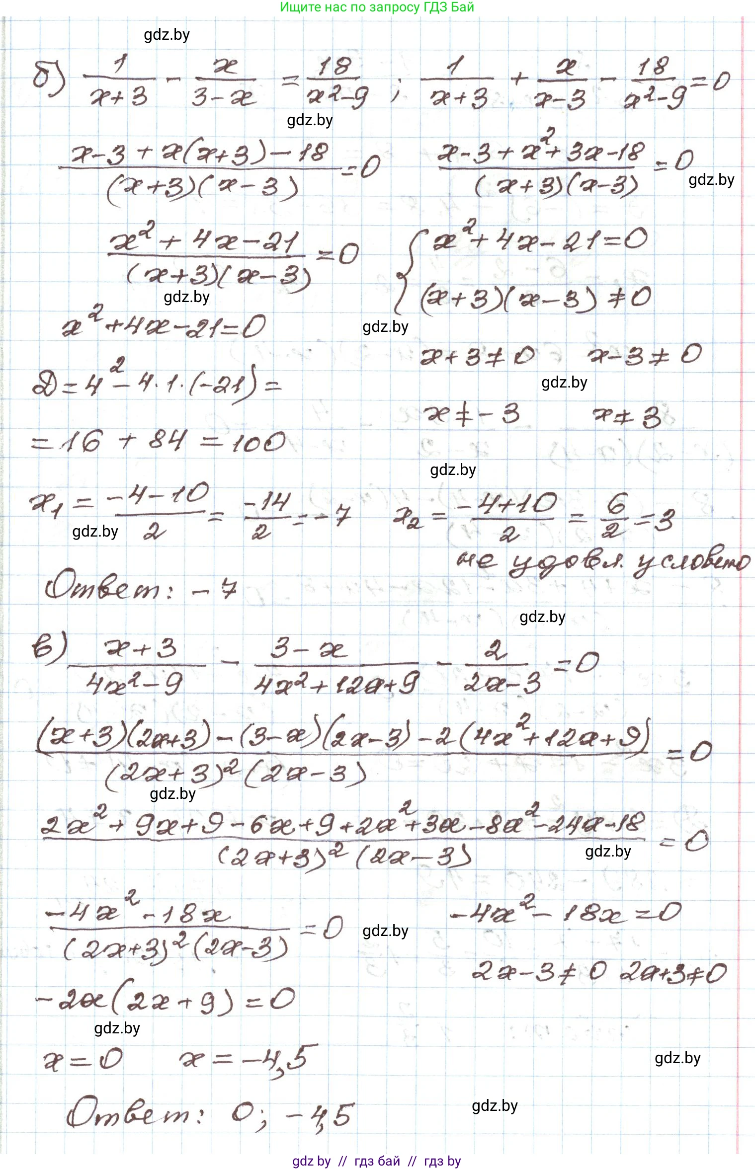
б) $ \frac{1}{x + 3} - \frac{x}{3 - x} = \frac{18}{x^2 - 9}; $

В) $ \frac{x + 3}{4x^2 - 9} - \frac{3 - x}{4x^2 + 12x + 9} = \frac{2}{2x - 3}; $

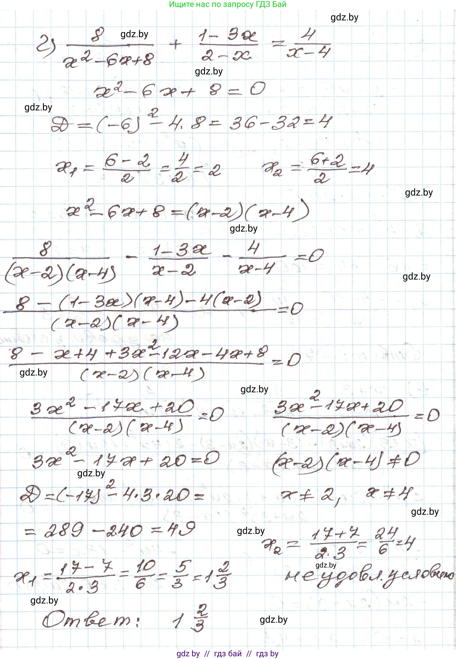
Г) $ \frac{8}{x^2 - 6x + 8} + \frac{1 - 3x}{2 - x} = \frac{4}{x - 4}; $

Решение. №6 (с. 201)
Алгебра, 9 класс Учебник, авторы: Арефьева Ирина Глебовна, Пирютко Ольга Николаевна, издательство Народная асвета, Минск, 2019, голубого цвета, страница 201, номер 6, Решение Алгебра, 9 класс Учебник, авторы: Арефьева Ирина Глебовна, Пирютко Ольга Николаевна, издательство Народная асвета, Минск, 2019, голубого цвета, страница 201, номер 6, Решение (продолжение 2)
Решение 2. №6 (с. 201)

а) $ \frac{4x-6}{x+2} - \frac{x}{x+1} = \frac{9}{(x+1)(x+2)} $
Определим область допустимых значений (ОДЗ): знаменатели не могут быть равны нулю, следовательно $ x \neq -2 $ и $ x \neq -1 $.
Умножим обе части уравнения на общий знаменатель $ (x+1)(x+2) $:
$ (4x-6)(x+1) - x(x+2) = 9 $
Раскроем скобки и приведём подобные слагаемые:
$ 4x^2 + 4x - 6x - 6 - x^2 - 2x = 9 $
$ 3x^2 - 4x - 15 = 0 $
Решим квадратное уравнение через дискриминант:
$ D = (-4)^2 - 4 \cdot 3 \cdot (-15) = 16 + 180 = 196 = 14^2 $
$ x_1 = \frac{4 + 14}{2 \cdot 3} = \frac{18}{6} = 3 $
$ x_2 = \frac{4 - 14}{2 \cdot 3} = \frac{-10}{6} = -\frac{5}{3} $
Оба корня удовлетворяют ОДЗ. Выделим целую часть из дроби $ -\frac{5}{3} $: $ -1\frac{2}{3} $.
Ответ: $3; -1\frac{2}{3}$.

б) $ \frac{1}{x+3} - \frac{x}{3-x} = \frac{18}{x^2-9} $
Преобразуем уравнение, учитывая что $ 3-x = -(x-3) $ и $ x^2-9 = (x-3)(x+3) $:
$ \frac{1}{x+3} + \frac{x}{x-3} = \frac{18}{(x-3)(x+3)} $
ОДЗ: $ x \neq 3, x \neq -3 $.
Умножим обе части на общий знаменатель $ (x-3)(x+3) $:
$ 1(x-3) + x(x+3) = 18 $
$ x - 3 + x^2 + 3x = 18 $
$ x^2 + 4x - 21 = 0 $
По теореме Виета, корни уравнения: $ x_1 = 3, x_2 = -7 $.
Корень $ x_1 = 3 $ является посторонним, так как не входит в ОДЗ.
Ответ: $-7$.

в) $ \frac{x+3}{4x^2-9} - \frac{3-x}{4x^2+12x+9} = \frac{2}{2x-3} $
Разложим знаменатели на множители: $ 4x^2-9 = (2x-3)(2x+3) $ и $ 4x^2+12x+9 = (2x+3)^2 $. Также $ 3-x = -(x-3) $.
$ \frac{x+3}{(2x-3)(2x+3)} + \frac{x-3}{(2x+3)^2} = \frac{2}{2x-3} $
ОДЗ: $ 2x-3 \neq 0 \Rightarrow x \neq \frac{3}{2} $ и $ 2x+3 \neq 0 \Rightarrow x \neq -\frac{3}{2} $.
Умножим обе части на общий знаменатель $ (2x-3)(2x+3)^2 $:
$ (x+3)(2x+3) + (x-3)(2x-3) = 2(2x+3)^2 $
$ (2x^2 + 9x + 9) + (2x^2 - 9x + 9) = 2(4x^2 + 12x + 9) $
$ 4x^2 + 18 = 8x^2 + 24x + 18 $
$ 4x^2 + 24x = 0 $
$ 4x(x+6) = 0 $
Корни: $ x_1 = 0, x_2 = -6 $. Оба корня удовлетворяют ОДЗ.
Ответ: $0; -6$.

г) $ \frac{8}{x^2-6x+8} + \frac{1-3x}{2-x} = \frac{4}{x-4} $
Разложим знаменатель $ x^2-6x+8 = (x-2)(x-4) $. Учтём, что $ 2-x = -(x-2) $.
$ \frac{8}{(x-2)(x-4)} - \frac{1-3x}{x-2} = \frac{4}{x-4} $
ОДЗ: $ x \neq 2, x \neq 4 $.
Умножим обе части на общий знаменатель $ (x-2)(x-4) $:
$ 8 - (1-3x)(x-4) = 4(x-2) $
$ 8 - (x - 4 - 3x^2 + 12x) = 4x - 8 $
$ 8 - (-3x^2 + 13x - 4) = 4x - 8 $
$ 8 + 3x^2 - 13x + 4 = 4x - 8 $
$ 3x^2 - 17x + 20 = 0 $
Решим квадратное уравнение. $ D = (-17)^2 - 4 \cdot 3 \cdot 20 = 289 - 240 = 49 = 7^2 $.
$ x_1 = \frac{17+7}{2 \cdot 3} = \frac{24}{6} = 4 $
$ x_2 = \frac{17-7}{2 \cdot 3} = \frac{10}{6} = \frac{5}{3} $
Корень $ x_1=4 $ является посторонним, так как не входит в ОДЗ. Выделим целую часть из дроби $ \frac{5}{3} $: $ 1\frac{2}{3} $.
Ответ: $1\frac{2}{3}$.

Помогло решение? Оставьте отзыв в комментариях ниже.

Присоединяйтесь к Телеграм-группе @gdz_by_belarus

Присоединиться

Мы подготовили для вас ответ c подробным объяснением домашего задания по алгебре за 9 класс, для упражнения номер 6 расположенного на странице 201 к учебнику 2019 года издания для учащихся школ и гимназий.

Теперь на нашем сайте ГДЗ.ТОП вы всегда легко и бесплатно найдёте условие с правильным ответом на вопрос «Как решить ДЗ» и «Как сделать» задание по алгебре к упражнению №6 (с. 201), авторов: Арефьева (Ирина Глебовна), Пирютко (Ольга Николаевна), учебного пособия издательства Народная асвета.