Номер 3, страница 202 - гдз по алгебре 9 класс учебник Арефьева, Пирютко

Алгебра, 9 класс Учебник, авторы: Арефьева Ирина Глебовна, Пирютко Ольга Николаевна, издательство Народная асвета, Минск, 2019, голубого цвета

Авторы: Арефьева И. Г., Пирютко О. Н.

Тип: Учебник

Издательство: Народная асвета

Год издания: 2019 - 2026

Цвет обложки: голубой, синий с графиком

ISBN: 978-985-03-3077-2

Допущено Министерством образования Республики Беларусь

Популярные ГДЗ в 9 классе

Глава 3. Дробно-рациональные уравнения и неравенства. Практическая математика - номер 3, страница 202.

№3 (с. 202)
Условие. №3 (с. 202)
скриншот условия
Алгебра, 9 класс Учебник, авторы: Арефьева Ирина Глебовна, Пирютко Ольга Николаевна, издательство Народная асвета, Минск, 2019, голубого цвета, страница 202, номер 3, Условие Алгебра, 9 класс Учебник, авторы: Арефьева Ирина Глебовна, Пирютко Ольга Николаевна, издательство Народная асвета, Минск, 2019, голубого цвета, страница 202, номер 3, Условие (продолжение 2)

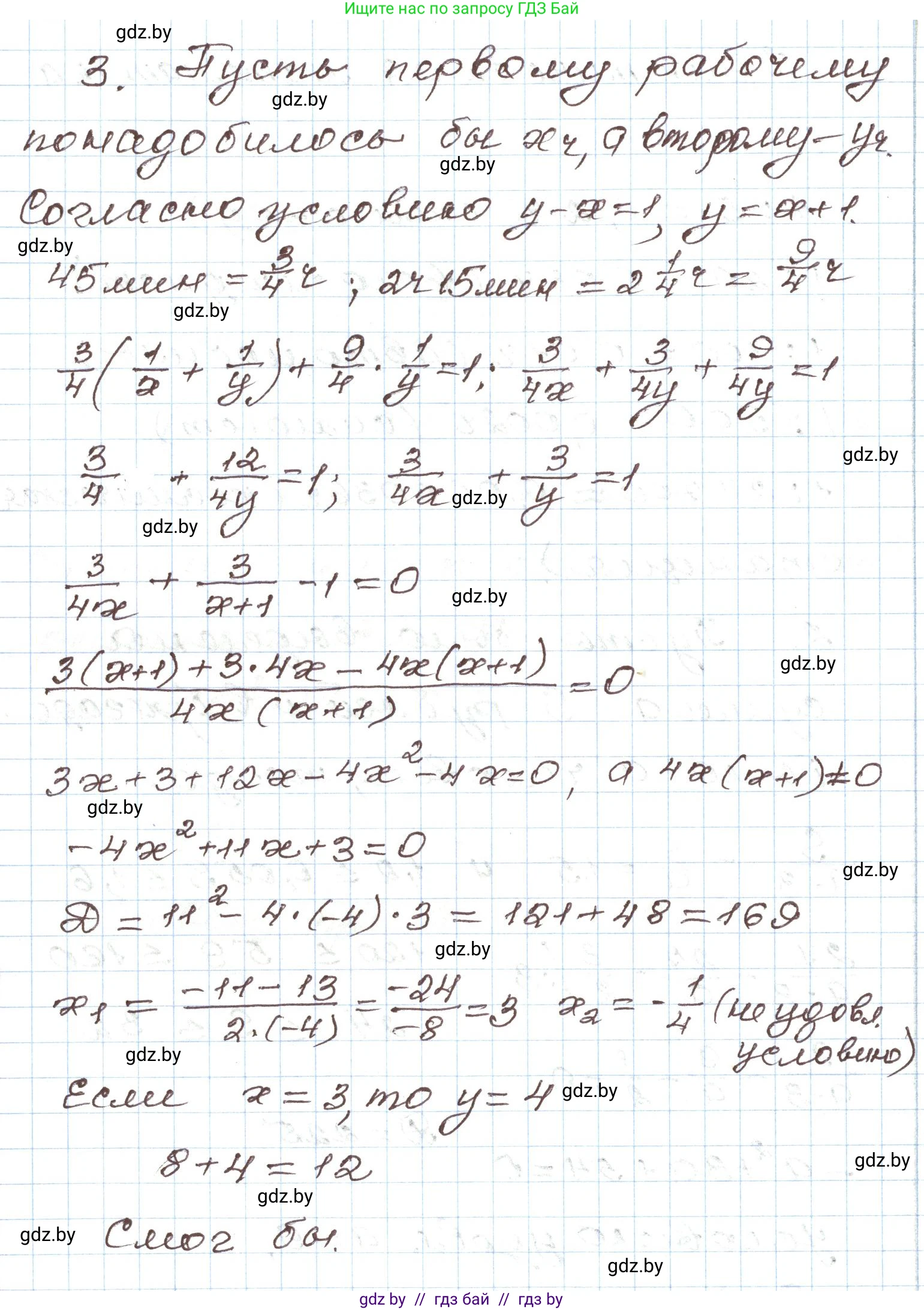
3. Рабочая смена сотрудников «Зеленстроя» начинается в 8 часов утра. Два сотрудника с начала смены выполняли работу по озеленению проспекта. После 45 мин совместной работы первый сотрудник был переведен на другую работу, и второй сотрудник закончил оставшуюся часть работы за 2 ч 15 мин. Если бы каждый сотрудник работал в отдельности, то второму для выполнения всей работы понадобилось бы на 1 ч больше, чем первому. Выясните, смог ли бы первый сотрудник выполнить всю работу до полудня, если бы с начала смены работал один.

Решение. №3 (с. 202)
Алгебра, 9 класс Учебник, авторы: Арефьева Ирина Глебовна, Пирютко Ольга Николаевна, издательство Народная асвета, Минск, 2019, голубого цвета, страница 202, номер 3, Решение
Решение 2. №3 (с. 202)

Для решения задачи примем весь объем работы за 1. Введем следующие обозначения:

  • $t_1$ — время (в часах), за которое первый сотрудник выполнит всю работу самостоятельно.
  • $t_2$ — время (в часах), за которое второй сотрудник выполнит всю работу самостоятельно.
  • $v_1 = 1/t_1$ — производительность первого сотрудника (часть работы в час).
  • $v_2 = 1/t_2$ — производительность второго сотрудника (часть работы в час).

Согласно условию, второму сотруднику для выполнения всей работы понадобилось бы на 1 час больше, чем первому. Это дает нам первое уравнение:

$t_2 = t_1 + 1$

Далее, составим уравнение на основе совместной и последующей работы. Переведем время в часы:

  • 45 минут = $\frac{45}{60} = \frac{3}{4}$ часа.
  • 2 часа 15 минут = $2 + \frac{15}{60} = 2 + \frac{1}{4} = \frac{9}{4}$ часа.

За $\frac{3}{4}$ часа совместной работы сотрудники выполнили часть работы, равную $(v_1 + v_2) \cdot \frac{3}{4}$. Оставшуюся часть второй сотрудник выполнил за $\frac{9}{4}$ часа, то есть его работа составила $v_2 \cdot \frac{9}{4}$. Вся работа равна 1:

$(v_1 + v_2) \cdot \frac{3}{4} + v_2 \cdot \frac{9}{4} = 1$

Подставим в это уравнение выражения для производительности через время $t_1$ и $t_2$:

$(\frac{1}{t_1} + \frac{1}{t_2}) \cdot \frac{3}{4} + \frac{1}{t_2} \cdot \frac{9}{4} = 1$

Теперь мы имеем систему из двух уравнений. Подставим выражение $t_2 = t_1 + 1$ во второе уравнение:

$(\frac{1}{t_1} + \frac{1}{t_1 + 1}) \cdot \frac{3}{4} + \frac{1}{t_1 + 1} \cdot \frac{9}{4} = 1$

Для упрощения умножим все уравнение на 4:

$3 \cdot (\frac{1}{t_1} + \frac{1}{t_1 + 1}) + \frac{9}{t_1 + 1} = 4$

Раскроем скобки и объединим дроби с одинаковым знаменателем:

$\frac{3}{t_1} + \frac{3}{t_1 + 1} + \frac{9}{t_1 + 1} = 4$

$\frac{3}{t_1} + \frac{12}{t_1 + 1} = 4$

Приведем левую часть к общему знаменателю $t_1(t_1 + 1)$:

$\frac{3(t_1 + 1) + 12t_1}{t_1(t_1 + 1)} = 4$

$\frac{3t_1 + 3 + 12t_1}{t_1^2 + t_1} = 4$

$\frac{15t_1 + 3}{t_1^2 + t_1} = 4$

Теперь решим это уравнение:

$15t_1 + 3 = 4(t_1^2 + t_1)$

$15t_1 + 3 = 4t_1^2 + 4t_1$

$4t_1^2 - 11t_1 - 3 = 0$

Решим полученное квадратное уравнение с помощью дискриминанта $D = b^2 - 4ac$:

$D = (-11)^2 - 4 \cdot 4 \cdot (-3) = 121 + 48 = 169 = 13^2$

$t_1 = \frac{-b \pm \sqrt{D}}{2a} = \frac{11 \pm 13}{8}$

Уравнение имеет два корня:

  • $t_{1,1} = \frac{11 + 13}{8} = \frac{24}{8} = 3$
  • $t_{1,2} = \frac{11 - 13}{8} = -\frac{2}{8} = -0.25$

Так как время не может быть отрицательным, то единственное верное решение $t_1 = 3$ часа. Это время, за которое первый сотрудник выполнит всю работу один.

Выясните, смог ли бы первый сотрудник выполнить всю работу до полудня, если бы с начала смены работал один.
Рабочая смена начинается в 8:00 утра, а полдень — это 12:00. Следовательно, время, доступное первому сотруднику для выполнения работы до полудня, составляет $12 - 8 = 4$ часа. Время, которое требуется первому сотруднику для выполнения всей работы, равно 3 часам. Поскольку $3$ часа меньше, чем $4$ часа, сотрудник успеет выполнить всю работу до полудня. Он начнет в 8:00 и закончит через 3 часа, то есть в 11:00. Ответ: Да, сможет.

Помогло решение? Оставьте отзыв в комментариях ниже.

Присоединяйтесь к Телеграм-группе @gdz_by_belarus

Присоединиться

Мы подготовили для вас ответ c подробным объяснением домашего задания по алгебре за 9 класс, для упражнения номер 3 расположенного на странице 202 к учебнику 2019 года издания для учащихся школ и гимназий.

Теперь на нашем сайте ГДЗ.ТОП вы всегда легко и бесплатно найдёте условие с правильным ответом на вопрос «Как решить ДЗ» и «Как сделать» задание по алгебре к упражнению №3 (с. 202), авторов: Арефьева (Ирина Глебовна), Пирютко (Ольга Николаевна), учебного пособия издательства Народная асвета.