Номер 9, страница 201 - гдз по алгебре 9 класс учебник Арефьева, Пирютко

Алгебра, 9 класс Учебник, авторы: Арефьева Ирина Глебовна, Пирютко Ольга Николаевна, издательство Народная асвета, Минск, 2019, голубого цвета

Авторы: Арефьева И. Г., Пирютко О. Н.

Тип: Учебник

Издательство: Народная асвета

Год издания: 2019 - 2026

Цвет обложки: голубой, синий с графиком

ISBN: 978-985-03-3077-2

Допущено Министерством образования Республики Беларусь

Популярные ГДЗ в 9 классе

Глава 3. Дробно-рациональные уравнения и неравенства. Я проверяю свои знания - номер 9, страница 201.

№9 (с. 201)
Условие. №9 (с. 201)
скриншот условия
Алгебра, 9 класс Учебник, авторы: Арефьева Ирина Глебовна, Пирютко Ольга Николаевна, издательство Народная асвета, Минск, 2019, голубого цвета, страница 201, номер 9, Условие Алгебра, 9 класс Учебник, авторы: Арефьева Ирина Глебовна, Пирютко Ольга Николаевна, издательство Народная асвета, Минск, 2019, голубого цвета, страница 201, номер 9, Условие (продолжение 2)

9. Составьте модель условия и решите задачу:

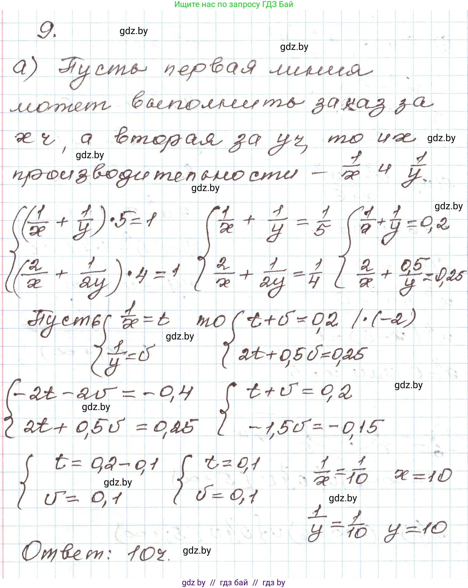
а) Две производственные линии, работая одновременно, выполнили весь заказ за 5 ч. Если бы производительность первой линии была в два раза больше, а второй — в два раза меньше, то весь заказ они выполнили бы за 4 ч. Найдите, за сколько часов выполнила бы весь заказ одна первая линия.

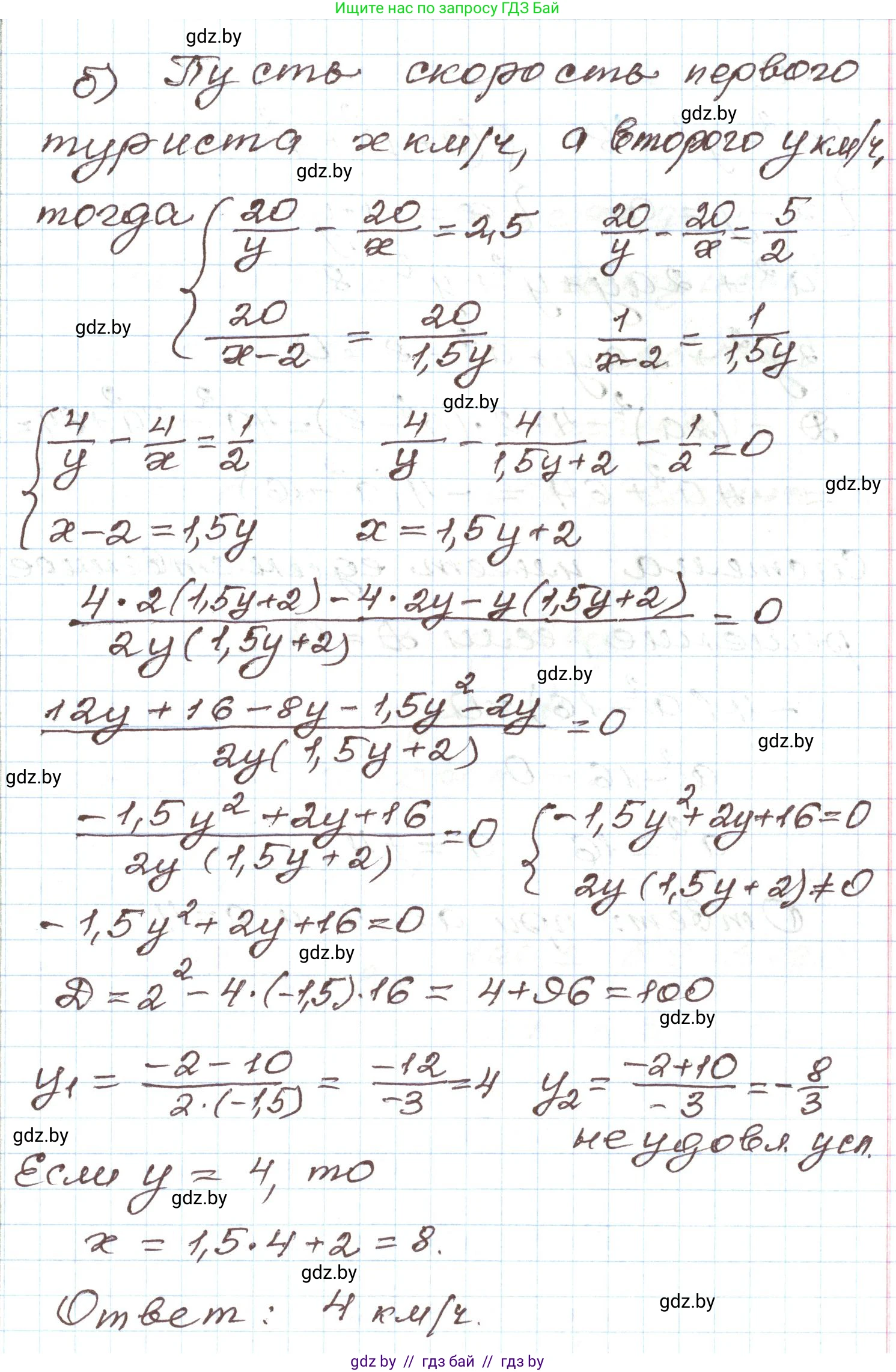
б) Первый турист преодолевает расстояние 20 км на 2,5 ч быстрее, чем второй. Если бы первый турист уменьшил свою скорость на $2 \frac{\text{км}}{\text{ч}}$, а второй увеличил свою скорость в 1,5 раза, то они затратили бы на тот же путь одинаковое время. Найдите скорость второго туриста.

Решение. №9 (с. 201)
Алгебра, 9 класс Учебник, авторы: Арефьева Ирина Глебовна, Пирютко Ольга Николаевна, издательство Народная асвета, Минск, 2019, голубого цвета, страница 201, номер 9, Решение Алгебра, 9 класс Учебник, авторы: Арефьева Ирина Глебовна, Пирютко Ольга Николаевна, издательство Народная асвета, Минск, 2019, голубого цвета, страница 201, номер 9, Решение (продолжение 2)
Решение 2. №9 (с. 201)

а) Для решения задачи составим математическую модель. Пусть $p_1$ — производительность первой линии (часть заказа в час), а $p_2$ — производительность второй линии. Весь заказ примем за 1.

Из первого условия, что две линии вместе выполняют заказ за 5 часов, следует, что их общая производительность $p_1 + p_2 = \frac{1}{5}$ заказа в час.

Из второго условия, что при производительности первой $2p_1$ и второй $\frac{p_2}{2}$ заказ выполняется за 4 часа, следует, что их новая общая производительность $2p_1 + \frac{p_2}{2} = \frac{1}{4}$ заказа в час.

Получаем систему уравнений:
$$ \begin{cases} p_1 + p_2 = \frac{1}{5} \\ 2p_1 + \frac{p_2}{2} = \frac{1}{4} \end{cases} $$

Решим систему. Из первого уравнения выразим $p_2 = \frac{1}{5} - p_1$ и подставим во второе:
$2p_1 + \frac{1}{2}(\frac{1}{5} - p_1) = \frac{1}{4}$
$2p_1 + \frac{1}{10} - \frac{p_1}{2} = \frac{1}{4}$
$\frac{3}{2}p_1 = \frac{1}{4} - \frac{1}{10} = \frac{5 - 2}{20} = \frac{3}{20}$
$p_1 = \frac{3}{20} \cdot \frac{2}{3} = \frac{1}{10}$

Производительность первой линии — $\frac{1}{10}$ заказа в час. Следовательно, время, за которое первая линия самостоятельно выполнит весь заказ, равно $t_1 = \frac{1}{p_1} = 10$ часов.

Ответ: 10

б) Составим модель. Пусть $v_1$ и $v_2$ — начальные скорости первого и второго туристов (км/ч). Расстояние $S = 20$ км.

Время в пути для каждого туриста: $t_1 = \frac{20}{v_1}$ и $t_2 = \frac{20}{v_2}$.

Из первого условия, что первый турист на 2.5 часа быстрее второго, получаем уравнение: $t_2 - t_1 = 2.5$.
$\frac{20}{v_2} - \frac{20}{v_1} = 2.5$

Из второго условия, что при измененных скоростях ($v_1 - 2$ км/ч и $1.5v_2$ км/ч) время в пути одинаково, получаем уравнение:
$\frac{20}{v_1 - 2} = \frac{20}{1.5v_2}$

Из второго уравнения следует, что $v_1 - 2 = 1.5v_2$, откуда $v_1 = 1.5v_2 + 2$.

Подставим это выражение для $v_1$ в первое уравнение, предварительно разделив его на 2.5:
$\frac{8}{v_2} - \frac{8}{v_1} = 1 \implies 8(v_1 - v_2) = v_1 v_2$
Подставляем $v_1$:
$8((1.5v_2 + 2) - v_2) = (1.5v_2 + 2)v_2$
$8(0.5v_2 + 2) = 1.5v_2^2 + 2v_2$
$4v_2 + 16 = 1.5v_2^2 + 2v_2$
$1.5v_2^2 - 2v_2 - 16 = 0$

Умножим уравнение на 2, чтобы работать с целыми коэффициентами: $3v_2^2 - 4v_2 - 32 = 0$.

Решим полученное квадратное уравнение с помощью дискриминанта:
$D = b^2 - 4ac = (-4)^2 - 4 \cdot 3 \cdot (-32) = 16 + 384 = 400$
$v_2 = \frac{-b \pm \sqrt{D}}{2a} = \frac{4 \pm \sqrt{400}}{2 \cdot 3} = \frac{4 \pm 20}{6}$

Скорость не может быть отрицательной, поэтому выбираем корень со знаком "плюс":
$v_2 = \frac{4 + 20}{6} = \frac{24}{6} = 4$ км/ч.

Ответ: 4

Помогло решение? Оставьте отзыв в комментариях ниже.

Присоединяйтесь к Телеграм-группе @gdz_by_belarus

Присоединиться

Мы подготовили для вас ответ c подробным объяснением домашего задания по алгебре за 9 класс, для упражнения номер 9 расположенного на странице 201 к учебнику 2019 года издания для учащихся школ и гимназий.

Теперь на нашем сайте ГДЗ.ТОП вы всегда легко и бесплатно найдёте условие с правильным ответом на вопрос «Как решить ДЗ» и «Как сделать» задание по алгебре к упражнению №9 (с. 201), авторов: Арефьева (Ирина Глебовна), Пирютко (Ольга Николаевна), учебного пособия издательства Народная асвета.