Номер 9.6, страница 46 - гдз по алгебре 10 класс сборник задач Арефьева, Пирютко

Алгебра, 10 класс Сборник задач, авторы: Арефьева Ирина Глебовна, Пирютко Ольга Николаевна, издательство Народная асвета, Минск, 2020, белого цвета

Авторы: Арефьева И. Г., Пирютко О. Н.

Тип: Сборник задач

Издательство: Народная асвета

Год издания: 2020 - 2026

Уровень обучения: базовый и повышенный

Цвет обложки: белый, голубой с графиком

Допущено Министерством образования Республики Беларусь

Популярные ГДЗ в 10 классе

Глава 3. Тригонометрия. Параграф 9. Соотношения между синусом, косинусом, тангенсом и котангенсом одного и того же угла (тригонометрические тождества) - номер 9.6, страница 46.

№9.6 (с. 46)
Условие. №9.6 (с. 46)
скриншот условия
Алгебра, 10 класс Сборник задач, авторы: Арефьева Ирина Глебовна, Пирютко Ольга Николаевна, издательство Народная асвета, Минск, 2020, белого цвета, страница 46, номер 9.6, Условие

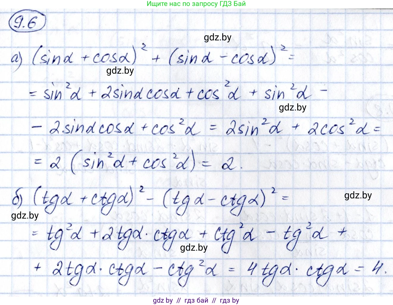
9.6. Упростите выражение:

а) $(\sin \alpha + \cos \alpha)^2 + (\sin \alpha - \cos \alpha)^2;$

б) $(\text{tg}\alpha + \text{ctg}\alpha)^2 - (\text{tg}\alpha - \text{ctg}\alpha)^2.$

Решение. №9.6 (с. 46)
Алгебра, 10 класс Сборник задач, авторы: Арефьева Ирина Глебовна, Пирютко Ольга Николаевна, издательство Народная асвета, Минск, 2020, белого цвета, страница 46, номер 9.6, Решение
Решение 2. №9.6 (с. 46)

а) $(\sin\alpha + \cos\alpha)^2 + (\sin\alpha - \cos\alpha)^2$

Для упрощения этого выражения воспользуемся формулами сокращенного умножения: квадратом суммы $(a+b)^2 = a^2+2ab+b^2$ и квадратом разности $(a-b)^2 = a^2-2ab+b^2$.

Раскроем скобки в выражении:

$(\sin^2\alpha + 2\sin\alpha\cos\alpha + \cos^2\alpha) + (\sin^2\alpha - 2\sin\alpha\cos\alpha + \cos^2\alpha)$

Сгруппируем слагаемые. Заметим, что $2\sin\alpha\cos\alpha$ и $-2\sin\alpha\cos\alpha$ взаимно уничтожаются:

$(\sin^2\alpha + \cos^2\alpha) + (\sin^2\alpha + \cos^2\alpha)$

Теперь применим основное тригонометрическое тождество $\sin^2\alpha + \cos^2\alpha = 1$:

$1 + 1 = 2$

Ответ: 2

б) $(\tan\alpha + \cot\alpha)^2 - (\tan\alpha - \cot\alpha)^2$

Как и в предыдущем пункте, раскроем скобки, используя формулы квадрата суммы и квадрата разности. Также можно применить формулу разности квадратов $a^2-b^2 = (a-b)(a+b)$, что приведет к тому же результату.

Раскроем скобки по формулам $(a+b)^2$ и $(a-b)^2$:

$(\tan^2\alpha + 2\tan\alpha\cot\alpha + \cot^2\alpha) - (\tan^2\alpha - 2\tan\alpha\cot\alpha + \cot^2\alpha)$

Раскроем вторые скобки, поменяв знаки у каждого слагаемого внутри них:

$\tan^2\alpha + 2\tan\alpha\cot\alpha + \cot^2\alpha - \tan^2\alpha + 2\tan\alpha\cot\alpha - \cot^2\alpha$

Приведем подобные слагаемые. $\tan^2\alpha$ и $-\tan^2\alpha$ сокращаются, так же как и $\cot^2\alpha$ и $-\cot^2\alpha$:

$2\tan\alpha\cot\alpha + 2\tan\alpha\cot\alpha = 4\tan\alpha\cot\alpha$

Используя тождество $\tan\alpha \cdot \cot\alpha = 1$, получаем конечный результат:

$4 \cdot 1 = 4$

Ответ: 4

Помогло решение? Оставьте отзыв в комментариях ниже.

Присоединяйтесь к Телеграм-группе @gdz_by_belarus

Присоединиться

Мы подготовили для вас ответ c подробным объяснением домашего задания по алгебре за 10 класс, для упражнения номер 9.6 расположенного на странице 46 к сборнику задач 2020 года издания для учащихся школ и гимназий.

Теперь на нашем сайте ГДЗ.ТОП вы всегда легко и бесплатно найдёте условие с правильным ответом на вопрос «Как решить ДЗ» и «Как сделать» задание по алгебре к упражнению №9.6 (с. 46), авторов: Арефьева (Ирина Глебовна), Пирютко (Ольга Николаевна), базовый и повышенный уровень обучения учебного пособия издательства Народная асвета.