Номер 13.14, страница 74 - гдз по алгебре 10 класс сборник задач Арефьева, Пирютко

Алгебра, 10 класс Сборник задач, авторы: Арефьева Ирина Глебовна, Пирютко Ольга Николаевна, издательство Народная асвета, Минск, 2020, белого цвета

Авторы: Арефьева И. Г., Пирютко О. Н.

Тип: Сборник задач

Издательство: Народная асвета

Год издания: 2020 - 2026

Уровень обучения: базовый и повышенный

Цвет обложки: белый, голубой с графиком

Допущено Министерством образования Республики Беларусь

Глава 3. Тригонометрия. Параграф 13. Тригонометрические уравнения. Тригонометрические неравенства - номер 13.14, страница 74.

№13.14 (с. 74)
Условие. №13.14 (с. 74)
скриншот условия
Алгебра, 10 класс Сборник задач, авторы: Арефьева Ирина Глебовна, Пирютко Ольга Николаевна, издательство Народная асвета, Минск, 2020, белого цвета, страница 74, номер 13.14, Условие

13.14. Определите число корней уравнения $\sin^2 x - (1 + \sqrt{3})\sin x \cos x + \sqrt{3}\cos^2 x = 0$ на промежутке $[-2\pi, \frac{5\pi}{2}].$

Решение. №13.14 (с. 74)
Алгебра, 10 класс Сборник задач, авторы: Арефьева Ирина Глебовна, Пирютко Ольга Николаевна, издательство Народная асвета, Минск, 2020, белого цвета, страница 74, номер 13.14, Решение Алгебра, 10 класс Сборник задач, авторы: Арефьева Ирина Глебовна, Пирютко Ольга Николаевна, издательство Народная асвета, Минск, 2020, белого цвета, страница 74, номер 13.14, Решение (продолжение 2)
Решение 2. №13.14 (с. 74)

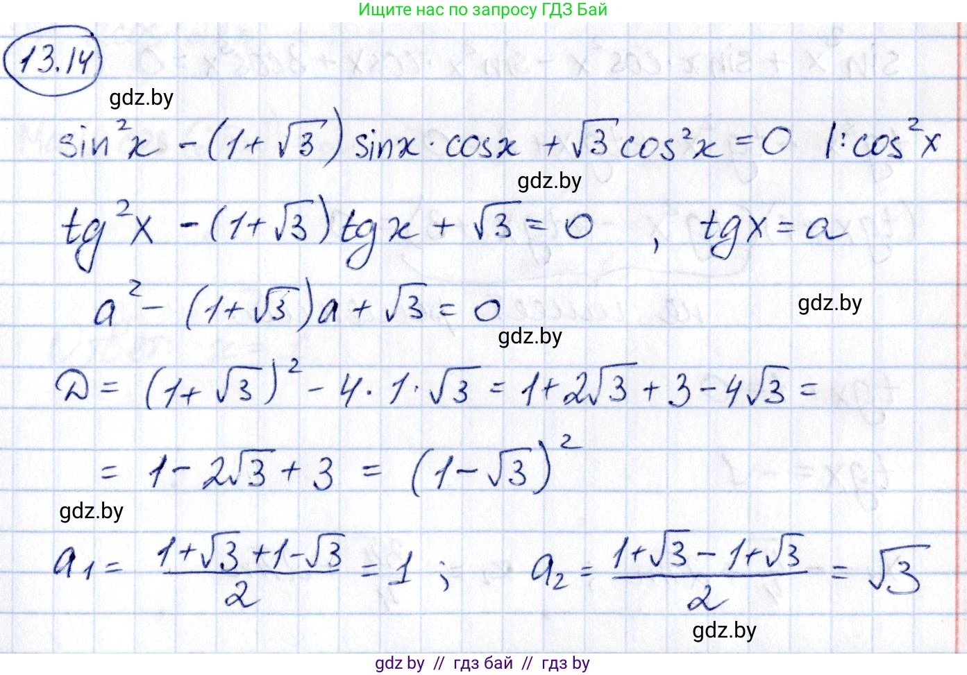
Данное уравнение $\sin^2 x - (1 + \sqrt{3})\sin x \cos x + \sqrt{3}\cos^2 x = 0$ является однородным тригонометрическим уравнением второго порядка.

Сначала проверим, является ли $\cos x = 0$ решением. Если $\cos x = 0$, то $\sin^2 x = 1$. Подставляя эти значения в исходное уравнение, получаем $1 - (1 + \sqrt{3})\cdot(\pm 1)\cdot 0 + \sqrt{3}\cdot 0^2 = 1$. Так как $1 \neq 0$, то $\cos x = 0$ не является решением уравнения. Следовательно, мы можем разделить обе части уравнения на $\cos^2 x$, который не равен нулю.

Выполним деление:

$\frac{\sin^2 x}{\cos^2 x} - (1 + \sqrt{3})\frac{\sin x \cos x}{\cos^2 x} + \sqrt{3}\frac{\cos^2 x}{\cos^2 x} = 0$

$\tan^2 x - (1 + \sqrt{3})\tan x + \sqrt{3} = 0$

Получили квадратное уравнение относительно $\tan x$. Сделаем замену $t = \tan x$:

$t^2 - (1 + \sqrt{3})t + \sqrt{3} = 0$

По теореме Виета, сумма корней этого уравнения $t_1 + t_2 = 1 + \sqrt{3}$, а произведение корней $t_1 \cdot t_2 = \sqrt{3}$. Отсюда следует, что корнями являются $t_1 = 1$ и $t_2 = \sqrt{3}$.

Вернемся к замене и решим два простейших тригонометрических уравнения:

1) $\tan x = 1 \implies x = \frac{\pi}{4} + \pi n, n \in Z$

2) $\tan x = \sqrt{3} \implies x = \frac{\pi}{3} + \pi k, k \in Z$

Теперь определим, сколько корней из этих двух серий принадлежит промежутку $[-2\pi, \frac{5\pi}{2}]$.

Для первой серии корней $x = \frac{\pi}{4} + \pi n$ найдем подходящие целые значения $n$ из двойного неравенства:

$-2\pi \le \frac{\pi}{4} + \pi n \le \frac{5\pi}{2}$

Разделим все части на $\pi$: $-2 \le \frac{1}{4} + n \le \frac{5}{2}$.

Вычтем $\frac{1}{4}$: $-2 - \frac{1}{4} \le n \le \frac{5}{2} - \frac{1}{4}$, что равносильно $-\frac{9}{4} \le n \le \frac{9}{4}$, или $-2.25 \le n \le 2.25$.

Этому условию удовлетворяют следующие целые значения $n: -2, -1, 0, 1, 2$. Таким образом, из первой серии в заданный промежуток попадают 5 корней.

Для второй серии корней $x = \frac{\pi}{3} + \pi k$ найдем подходящие целые значения $k$ из двойного неравенства:

$-2\pi \le \frac{\pi}{3} + \pi k \le \frac{5\pi}{2}$

Разделим все части на $\pi$: $-2 \le \frac{1}{3} + k \le \frac{5}{2}$.

Вычтем $\frac{1}{3}$: $-2 - \frac{1}{3} \le k \le \frac{5}{2} - \frac{1}{3}$, что равносильно $-\frac{7}{3} \le k \le \frac{13}{6}$, или приблизительно $-2.33 \le k \le 2.17$.

Этому условию удовлетворяют следующие целые значения $k: -2, -1, 0, 1, 2$. Таким образом, из второй серии в заданный промежуток также попадают 5 корней.

Общее число корней уравнения на промежутке $[-2\pi, \frac{5\pi}{2}]$ равно сумме корней из обеих серий: $5 + 5 = 10$.

Ответ: 10

Помогло решение? Оставьте отзыв в комментариях ниже.

Присоединяйтесь к Телеграм-группе @gdz_by_belarus

Присоединиться

Мы подготовили для вас ответ c подробным объяснением домашего задания по алгебре за 10 класс, для упражнения номер 13.14 расположенного на странице 74 к сборнику задач 2020 года издания для учащихся школ и гимназий.

Теперь на нашем сайте ГДЗ.ТОП вы всегда легко и бесплатно найдёте условие с правильным ответом на вопрос «Как решить ДЗ» и «Как сделать» задание по алгебре к упражнению №13.14 (с. 74), авторов: Арефьева (Ирина Глебовна), Пирютко (Ольга Николаевна), базовый и повышенный уровень обучения учебного пособия издательства Народная асвета.