Номер 13.31, страница 76 - гдз по алгебре 10 класс сборник задач Арефьева, Пирютко

Алгебра, 10 класс Сборник задач, авторы: Арефьева Ирина Глебовна, Пирютко Ольга Николаевна, издательство Народная асвета, Минск, 2020, белого цвета

Авторы: Арефьева И. Г., Пирютко О. Н.

Тип: Сборник задач

Издательство: Народная асвета

Год издания: 2020 - 2026

Уровень обучения: базовый и повышенный

Цвет обложки: белый, голубой с графиком

Допущено Министерством образования Республики Беларусь

Популярные ГДЗ в 10 классе

Глава 3. Тригонометрия. Параграф 13. Тригонометрические уравнения. Тригонометрические неравенства - номер 13.31, страница 76.

№13.31 (с. 76)
Условие. №13.31 (с. 76)
скриншот условия
Алгебра, 10 класс Сборник задач, авторы: Арефьева Ирина Глебовна, Пирютко Ольга Николаевна, издательство Народная асвета, Минск, 2020, белого цвета, страница 76, номер 13.31, Условие

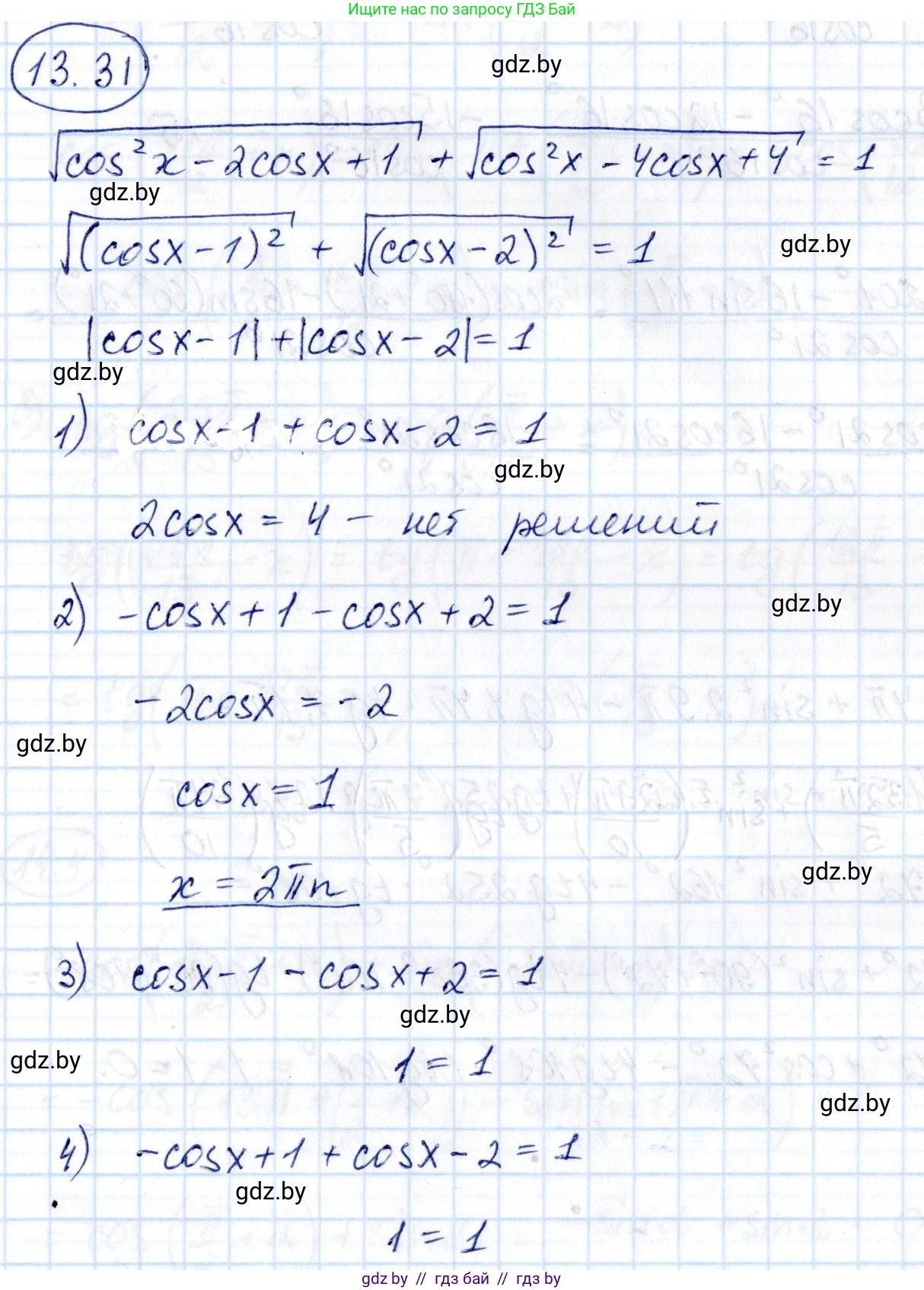
13.31. Найдите число корней уравнения

$ \sqrt{\cos^2 x - 2\cos x + 1} + \sqrt{\cos^2 x - 4\cos x + 4} = 1 $ на отрезке $ [0; 10] $.

Решение. №13.31 (с. 76)
Алгебра, 10 класс Сборник задач, авторы: Арефьева Ирина Глебовна, Пирютко Ольга Николаевна, издательство Народная асвета, Минск, 2020, белого цвета, страница 76, номер 13.31, Решение Алгебра, 10 класс Сборник задач, авторы: Арефьева Ирина Глебовна, Пирютко Ольга Николаевна, издательство Народная асвета, Минск, 2020, белого цвета, страница 76, номер 13.31, Решение (продолжение 2)
Решение 2. №13.31 (с. 76)

Рассмотрим данное уравнение: $ \sqrt{\cos^2 x - 2\cos x + 1} + \sqrt{\cos^2 x - 4\cos x + 4} = 1 $.

Заметим, что подкоренные выражения являются полными квадратами:

$ \cos^2 x - 2\cos x + 1 = (\cos x - 1)^2 $

$ \cos^2 x - 4\cos x + 4 = (\cos x - 2)^2 $

Подставив их в уравнение, получим:

$ \sqrt{(\cos x - 1)^2} + \sqrt{(\cos x - 2)^2} = 1 $

Применяя свойство $ \sqrt{a^2} = |a| $, уравнение принимает вид:

$ |\cos x - 1| + |\cos x - 2| = 1 $

Область значений функции косинуса $ -1 \le \cos x \le 1 $. Исходя из этого, раскроем модули:

1. Так как $ \cos x \le 1 $, то выражение $ \cos x - 1 \le 0 $. Следовательно, $ |\cos x - 1| = -(\cos x - 1) = 1 - \cos x $.

2. Так как $ \cos x \le 1 $, то выражение $ \cos x - 2 $ всегда отрицательно. Следовательно, $ |\cos x - 2| = -(\cos x - 2) = 2 - \cos x $.

Подставим раскрытые модули обратно в уравнение:

$ (1 - \cos x) + (2 - \cos x) = 1 $

$ 3 - 2\cos x = 1 $

$ 2 = 2\cos x $

$ \cos x = 1 $

Общее решение данного уравнения: $ x = 2\pi n $, где $ n $ — целое число ($ n \in \mathbb{Z} $).

Теперь найдем количество корней, принадлежащих отрезку $ [0; 10] $. Для этого решим двойное неравенство относительно $ n $:

$ 0 \le 2\pi n \le 10 $

Разделив все части на $ 2\pi $, получим:

$ 0 \le n \le \frac{10}{2\pi} = \frac{5}{\pi} $

Используем приближенное значение $ \pi \approx 3,14 $:

$ \frac{5}{\pi} \approx \frac{5}{3,14} \approx 1,59 $

Таким образом, $ 0 \le n \le 1,59 $.

Целочисленные значения $ n $, удовлетворяющие этому неравенству, — это $ n=0 $ и $ n=1 $.

Найдем соответствующие корни $ x $:

При $ n=0 $, $ x = 2\pi \cdot 0 = 0 $. Этот корень входит в отрезок $ [0; 10] $.

При $ n=1 $, $ x = 2\pi \cdot 1 = 2\pi \approx 6,28 $. Этот корень также входит в отрезок $ [0; 10] $.

При $ n=2 $, $ x = 2\pi \cdot 2 = 4\pi \approx 12,57 $, что больше 10 и не принадлежит отрезку.

Следовательно, на заданном отрезке уравнение имеет два корня.

Ответ: 2.

Помогло решение? Оставьте отзыв в комментариях ниже.

Присоединяйтесь к Телеграм-группе @gdz_by_belarus

Присоединиться

Мы подготовили для вас ответ c подробным объяснением домашего задания по алгебре за 10 класс, для упражнения номер 13.31 расположенного на странице 76 к сборнику задач 2020 года издания для учащихся школ и гимназий.

Теперь на нашем сайте ГДЗ.ТОП вы всегда легко и бесплатно найдёте условие с правильным ответом на вопрос «Как решить ДЗ» и «Как сделать» задание по алгебре к упражнению №13.31 (с. 76), авторов: Арефьева (Ирина Глебовна), Пирютко (Ольга Николаевна), базовый и повышенный уровень обучения учебного пособия издательства Народная асвета.