Номер 14.7, страница 79 - гдз по алгебре 10 класс сборник задач Арефьева, Пирютко

Алгебра, 10 класс Сборник задач, авторы: Арефьева Ирина Глебовна, Пирютко Ольга Николаевна, издательство Народная асвета, Минск, 2020, белого цвета

Авторы: Арефьева И. Г., Пирютко О. Н.

Тип: Сборник задач

Издательство: Народная асвета

Год издания: 2020 - 2026

Уровень обучения: базовый и повышенный

Цвет обложки: белый, голубой с графиком

Допущено Министерством образования Республики Беларусь

Популярные ГДЗ в 10 классе

Глава 3. Тригонометрия. Параграф 14. Формулы приведения - номер 14.7, страница 79.

№14.7 (с. 79)
Условие. №14.7 (с. 79)
скриншот условия
Алгебра, 10 класс Сборник задач, авторы: Арефьева Ирина Глебовна, Пирютко Ольга Николаевна, издательство Народная асвета, Минск, 2020, белого цвета, страница 79, номер 14.7, Условие

14.7. Упростите выражение:

a) $sin^2(\pi - \alpha) + \operatorname{tg}^2(\alpha - \pi) \cdot \operatorname{tg}^2(1.5\pi + \alpha) + \sin(0.5\pi + \alpha)\cos(\alpha - 2\pi);$

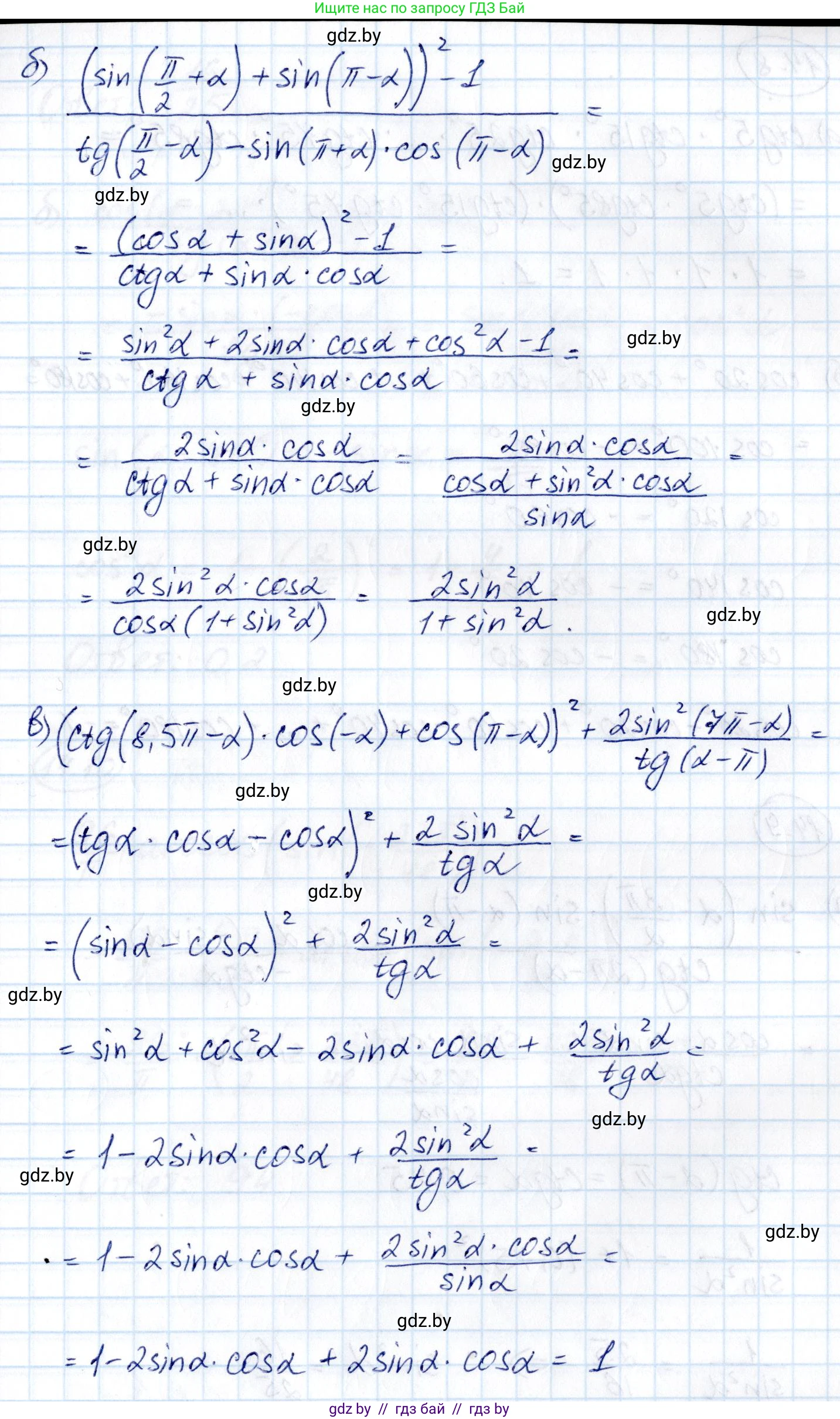
б) $\frac{\left(\sin\left(\frac{\pi}{2} + \alpha\right) + \sin(\pi - \alpha)\right)^2 - 1}{\operatorname{tg}\left(\frac{\pi}{2} - \alpha\right) - \sin(\pi + \alpha)\cos(\pi - \alpha)};$

в) $(\operatorname{ctg}(8.5\pi - \alpha)\cos(-\alpha) + \cos(\pi - \alpha))^2 + \frac{2\sin^2(7\pi - \alpha)}{\operatorname{tg}(\alpha - \pi)}.$

Решение. №14.7 (с. 79)
Алгебра, 10 класс Сборник задач, авторы: Арефьева Ирина Глебовна, Пирютко Ольга Николаевна, издательство Народная асвета, Минск, 2020, белого цвета, страница 79, номер 14.7, Решение Алгебра, 10 класс Сборник задач, авторы: Арефьева Ирина Глебовна, Пирютко Ольга Николаевна, издательство Народная асвета, Минск, 2020, белого цвета, страница 79, номер 14.7, Решение (продолжение 2)
Решение 2. №14.7 (с. 79)

а) Упростим выражение $sin^2(\pi - \alpha) + tg^2(\alpha - \pi) \cdot tg^2(1.5\pi + \alpha) + sin(0.5\pi + \alpha)cos(\alpha - 2\pi)$.

Для этого применим формулы приведения для каждого тригонометрического выражения:
$sin^2(\pi - \alpha) = (sin(\alpha))^2 = sin^2(\alpha)$
$tg^2(\alpha - \pi) = (tg(-(\pi - \alpha)))^2 = (-tg(\pi - \alpha))^2 = (-(-tg(\alpha)))^2 = tg^2(\alpha)$
$tg^2(1.5\pi + \alpha) = tg^2(\frac{3\pi}{2} + \alpha) = (-ctg(\alpha))^2 = ctg^2(\alpha)$
$sin(0.5\pi + \alpha) = sin(\frac{\pi}{2} + \alpha) = cos(\alpha)$
$cos(\alpha - 2\pi) = cos(\alpha)$ (период косинуса равен $2\pi$)

Подставим упрощенные части обратно в исходное выражение:
$sin^2(\alpha) + tg^2(\alpha) \cdot ctg^2(\alpha) + cos(\alpha) \cdot cos(\alpha)$
Так как $tg(\alpha) \cdot ctg(\alpha) = 1$, то $tg^2(\alpha) \cdot ctg^2(\alpha) = 1$. Выражение становится:
$sin^2(\alpha) + 1 + cos^2(\alpha)$
Используя основное тригонометрическое тождество $sin^2(\alpha) + cos^2(\alpha) = 1$, получаем:
$(sin^2(\alpha) + cos^2(\alpha)) + 1 = 1 + 1 = 2$

Ответ: 2.

б) Упростим выражение $\frac{(sin(\frac{\pi}{2} + \alpha) + sin(\pi - \alpha))^2 - 1}{tg(\frac{\pi}{2} - \alpha) - sin(\pi + \alpha)cos(\pi - \alpha)}$.

Сначала упростим числитель:
$(sin(\frac{\pi}{2} + \alpha) + sin(\pi - \alpha))^2 - 1$
Используя формулы приведения $sin(\frac{\pi}{2} + \alpha) = cos(\alpha)$ и $sin(\pi - \alpha) = sin(\alpha)$, получаем:
$(cos(\alpha) + sin(\alpha))^2 - 1 = (cos^2(\alpha) + 2sin(\alpha)cos(\alpha) + sin^2(\alpha)) - 1$
Так как $sin^2(\alpha) + cos^2(\alpha) = 1$, числитель равен:
$1 + 2sin(\alpha)cos(\alpha) - 1 = 2sin(\alpha)cos(\alpha)$.

Теперь упростим знаменатель:
$tg(\frac{\pi}{2} - \alpha) - sin(\pi + \alpha)cos(\pi - \alpha)$
Используя формулы приведения $tg(\frac{\pi}{2} - \alpha) = ctg(\alpha)$, $sin(\pi + \alpha) = -sin(\alpha)$ и $cos(\pi - \alpha) = -cos(\alpha)$, получаем:
$ctg(\alpha) - (-sin(\alpha))(-cos(\alpha)) = ctg(\alpha) - sin(\alpha)cos(\alpha)$
Представим $ctg(\alpha)$ как $\frac{cos(\alpha)}{sin(\alpha)}$:
$\frac{cos(\alpha)}{sin(\alpha)} - sin(\alpha)cos(\alpha) = \frac{cos(\alpha) - sin^2(\alpha)cos(\alpha)}{sin(\alpha)} = \frac{cos(\alpha)(1-sin^2(\alpha))}{sin(\alpha)} = \frac{cos(\alpha)cos^2(\alpha)}{sin(\alpha)} = \frac{cos^3(\alpha)}{sin(\alpha)}$.

Теперь разделим упрощенный числитель на упрощенный знаменатель:
$\frac{2sin(\alpha)cos(\alpha)}{\frac{cos^3(\alpha)}{sin(\alpha)}} = 2sin(\alpha)cos(\alpha) \cdot \frac{sin(\alpha)}{cos^3(\alpha)} = \frac{2sin^2(\alpha)cos(\alpha)}{cos^3(\alpha)} = \frac{2sin^2(\alpha)}{cos^2(\alpha)} = 2tg^2(\alpha)$.

Ответ: $2tg^2(\alpha)$.

в) Упростим выражение $(ctg(8.5\pi - \alpha)cos(-\alpha) + cos(\pi - \alpha))^2 + \frac{2sin^2(7\pi - \alpha)}{tg(\alpha - \pi)}$.

Упростим первую часть выражения, выражение в скобках в квадрате:
$(ctg(8.5\pi - \alpha)cos(-\alpha) + cos(\pi - \alpha))^2$
Применим формулы приведения:
$ctg(8.5\pi - \alpha) = ctg(8\pi + \frac{\pi}{2} - \alpha) = ctg(\frac{\pi}{2} - \alpha) = tg(\alpha)$
$cos(-\alpha) = cos(\alpha)$
$cos(\pi - \alpha) = -cos(\alpha)$
Подставляем: $(tg(\alpha)cos(\alpha) - cos(\alpha))^2 = (\frac{sin(\alpha)}{cos(\alpha)}cos(\alpha) - cos(\alpha))^2 = (sin(\alpha) - cos(\alpha))^2$
Раскрываем квадрат: $sin^2(\alpha) - 2sin(\alpha)cos(\alpha) + cos^2(\alpha) = (sin^2(\alpha) + cos^2(\alpha)) - 2sin(\alpha)cos(\alpha) = 1 - 2sin(\alpha)cos(\alpha)$.

Теперь упростим вторую часть выражения, дробь:
$\frac{2sin^2(7\pi - \alpha)}{tg(\alpha - \pi)}$
Упростим числитель: $sin(7\pi - \alpha) = sin(6\pi + \pi - \alpha) = sin(\pi - \alpha) = sin(\alpha)$, значит $2sin^2(7\pi - \alpha) = 2sin^2(\alpha)$.
Упростим знаменатель: $tg(\alpha - \pi) = tg(-(\pi-\alpha)) = -tg(\pi-\alpha) = -(-tg(\alpha)) = tg(\alpha)$.
Дробь равна: $\frac{2sin^2(\alpha)}{tg(\alpha)} = \frac{2sin^2(\alpha)}{\frac{sin(\alpha)}{cos(\alpha)}} = 2sin^2(\alpha) \cdot \frac{cos(\alpha)}{sin(\alpha)} = 2sin(\alpha)cos(\alpha)$.

Сложим обе упрощенные части:
$(1 - 2sin(\alpha)cos(\alpha)) + (2sin(\alpha)cos(\alpha)) = 1$.

Ответ: 1.

Помогло решение? Оставьте отзыв в комментариях ниже.

Присоединяйтесь к Телеграм-группе @gdz_by_belarus

Присоединиться

Мы подготовили для вас ответ c подробным объяснением домашего задания по алгебре за 10 класс, для упражнения номер 14.7 расположенного на странице 79 к сборнику задач 2020 года издания для учащихся школ и гимназий.

Теперь на нашем сайте ГДЗ.ТОП вы всегда легко и бесплатно найдёте условие с правильным ответом на вопрос «Как решить ДЗ» и «Как сделать» задание по алгебре к упражнению №14.7 (с. 79), авторов: Арефьева (Ирина Глебовна), Пирютко (Ольга Николаевна), базовый и повышенный уровень обучения учебного пособия издательства Народная асвета.