Номер 14.14, страница 80 - гдз по алгебре 10 класс сборник задач Арефьева, Пирютко

Алгебра, 10 класс Сборник задач, авторы: Арефьева Ирина Глебовна, Пирютко Ольга Николаевна, издательство Народная асвета, Минск, 2020, белого цвета

Авторы: Арефьева И. Г., Пирютко О. Н.

Тип: Сборник задач

Издательство: Народная асвета

Год издания: 2020 - 2026

Уровень обучения: базовый и повышенный

Цвет обложки: белый, голубой с графиком

Допущено Министерством образования Республики Беларусь

Глава 3. Тригонометрия. Параграф 14. Формулы приведения - номер 14.14, страница 80.

№14.14 (с. 80)
Условие. №14.14 (с. 80)
скриншот условия
Алгебра, 10 класс Сборник задач, авторы: Арефьева Ирина Глебовна, Пирютко Ольга Николаевна, издательство Народная асвета, Минск, 2020, белого цвета, страница 80, номер 14.14, Условие

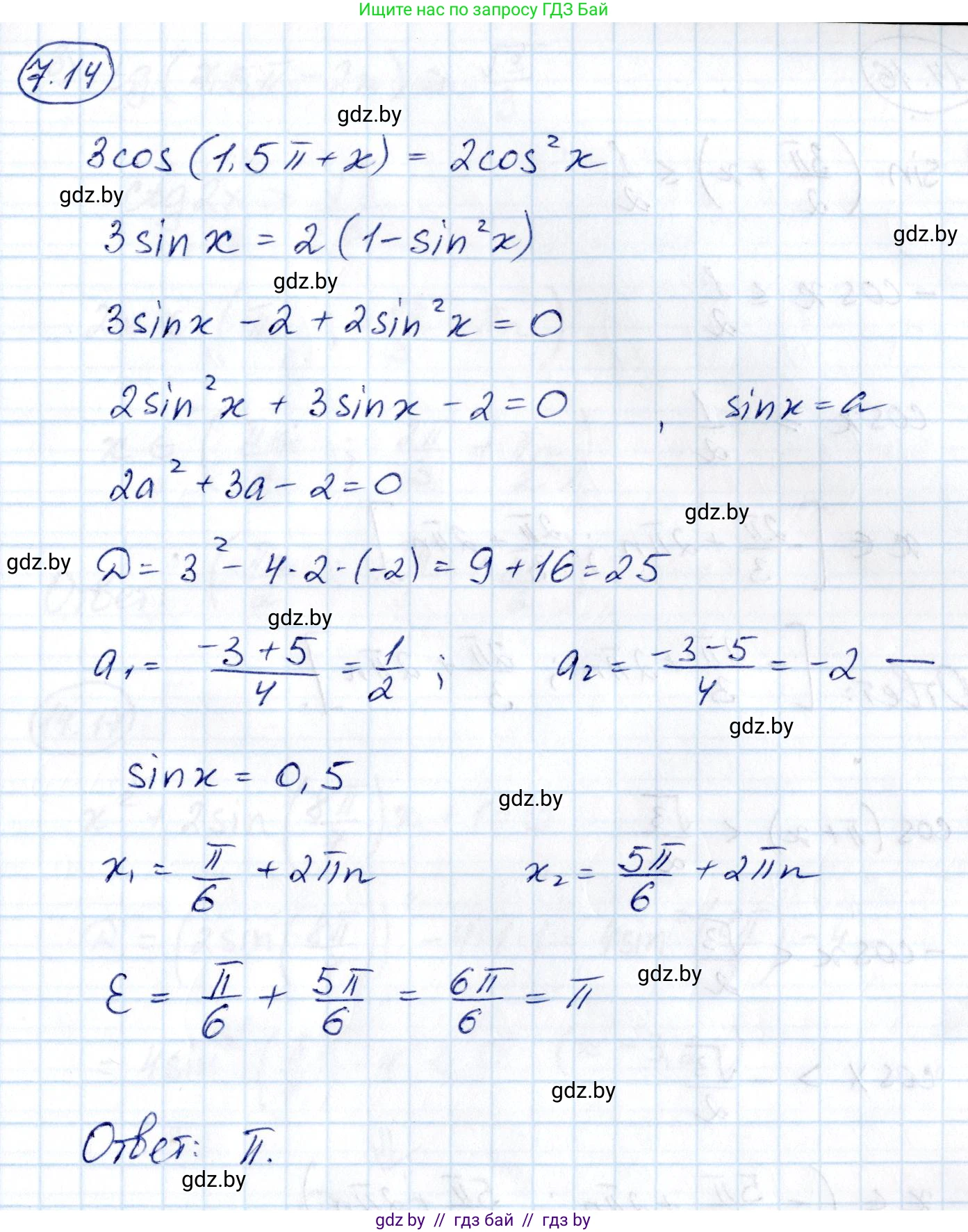
14.14. Найдите сумму корней уравнения $3\cos(1.5\pi + x) = 2\cos^2 x$, принадлежащих промежутку $[0; \pi]$.

Решение. №14.14 (с. 80)
Алгебра, 10 класс Сборник задач, авторы: Арефьева Ирина Глебовна, Пирютко Ольга Николаевна, издательство Народная асвета, Минск, 2020, белого цвета, страница 80, номер 14.14, Решение
Решение 2. №14.14 (с. 80)

а) Решите уравнение $3\cos(1,5\pi + x) = 2\cos^2 x$

Преобразуем левую часть уравнения, используя формулу приведения. Так как $1,5\pi = \frac{3\pi}{2}$, имеем:

$\cos(1,5\pi + x) = \cos(\frac{3\pi}{2} + x) = \sin x$.

Подставим это в исходное уравнение:

$3\sin x = 2\cos^2 x$.

Чтобы привести уравнение к одной тригонометрической функции, воспользуемся основным тригонометрическим тождеством $\cos^2 x = 1 - \sin^2 x$:

$3\sin x = 2(1 - \sin^2 x)$

$3\sin x = 2 - 2\sin^2 x$

$2\sin^2 x + 3\sin x - 2 = 0$.

Сделаем замену переменной $t = \sin x$, где $t \in [-1; 1]$. Уравнение примет вид:

$2t^2 + 3t - 2 = 0$.

Находим корни квадратного уравнения. Дискриминант $D = 3^2 - 4 \cdot 2 \cdot (-2) = 9 + 16 = 25$.

$t_1 = \frac{-3 - \sqrt{25}}{2 \cdot 2} = \frac{-8}{4} = -2$.

$t_2 = \frac{-3 + \sqrt{25}}{2 \cdot 2} = \frac{2}{4} = \frac{1}{2}$.

Корень $t_1 = -2$ является посторонним, так как не принадлежит области значений синуса $[-1; 1]$.

Возвращаемся к переменной $x$ с единственным подходящим корнем $t_2 = \frac{1}{2}$:

$\sin x = \frac{1}{2}$.

Это простейшее тригонометрическое уравнение имеет две серии решений.

Ответ: $x = \frac{\pi}{6} + 2\pi k, x = \frac{5\pi}{6} + 2\pi k$, где $k \in \mathbb{Z}$.

б) Найдите корни, принадлежащие промежутку $[0; \pi]$

Проанализируем каждую серию корней, найденных в пункте а).

1. Для серии $x = \frac{\pi}{6} + 2\pi k$:

Чтобы найти корень в промежутке $[0; \pi]$, решим двойное неравенство $0 \le \frac{\pi}{6} + 2\pi k \le \pi$.

$-\frac{\pi}{6} \le 2\pi k \le \pi - \frac{\pi}{6}$

$-\frac{\pi}{6} \le 2\pi k \le \frac{5\pi}{6}$

Разделив все части на $2\pi$, получим:

$-\frac{1}{12} \le k \le \frac{5}{12}$.

Единственное целое значение $k$, удовлетворяющее этому неравенству, — это $k=0$. При $k=0$ получаем корень $x_1 = \frac{\pi}{6}$.

2. Для серии $x = \frac{5\pi}{6} + 2\pi k$:

Решим двойное неравенство $0 \le \frac{5\pi}{6} + 2\pi k \le \pi$.

$-\frac{5\pi}{6} \le 2\pi k \le \pi - \frac{5\pi}{6}$

$-\frac{5\pi}{6} \le 2\pi k \le \frac{\pi}{6}$

Разделив все части на $2\pi$, получим:

$-\frac{5}{12} \le k \le \frac{1}{12}$.

Единственное целое значение $k$, удовлетворяющее этому неравенству, — это $k=0$. При $k=0$ получаем корень $x_2 = \frac{5\pi}{6}$.

Ответ: $\frac{\pi}{6}$, $\frac{5\pi}{6}$.

в) Найдите сумму найденных корней

Суммируем корни, найденные в пункте б), которые принадлежат промежутку $[0; \pi]$:

Сумма = $x_1 + x_2 = \frac{\pi}{6} + \frac{5\pi}{6} = \frac{\pi+5\pi}{6} = \frac{6\pi}{6} = \pi$.

Ответ: $\pi$.

Помогло решение? Оставьте отзыв в комментариях ниже.

Присоединяйтесь к Телеграм-группе @gdz_by_belarus

Присоединиться

Мы подготовили для вас ответ c подробным объяснением домашего задания по алгебре за 10 класс, для упражнения номер 14.14 расположенного на странице 80 к сборнику задач 2020 года издания для учащихся школ и гимназий.

Теперь на нашем сайте ГДЗ.ТОП вы всегда легко и бесплатно найдёте условие с правильным ответом на вопрос «Как решить ДЗ» и «Как сделать» задание по алгебре к упражнению №14.14 (с. 80), авторов: Арефьева (Ирина Глебовна), Пирютко (Ольга Николаевна), базовый и повышенный уровень обучения учебного пособия издательства Народная асвета.