Номер 14.12, страница 80 - гдз по алгебре 10 класс сборник задач Арефьева, Пирютко

Алгебра, 10 класс Сборник задач, авторы: Арефьева Ирина Глебовна, Пирютко Ольга Николаевна, издательство Народная асвета, Минск, 2020, белого цвета

Авторы: Арефьева И. Г., Пирютко О. Н.

Тип: Сборник задач

Издательство: Народная асвета

Год издания: 2020 - 2026

Уровень обучения: базовый и повышенный

Цвет обложки: белый, голубой с графиком

Допущено Министерством образования Республики Беларусь

Глава 3. Тригонометрия. Параграф 14. Формулы приведения - номер 14.12, страница 80.

№14.12 (с. 80)
Условие. №14.12 (с. 80)
скриншот условия
Алгебра, 10 класс Сборник задач, авторы: Арефьева Ирина Глебовна, Пирютко Ольга Николаевна, издательство Народная асвета, Минск, 2020, белого цвета, страница 80, номер 14.12, Условие

14.12. Для функции $f(x) = 7\cos(4x) + \cot(8x)$ найдите:

а) $f\left(\frac{\pi}{3}\right);$

б) $f\left(-\frac{5\pi}{16}\right).$

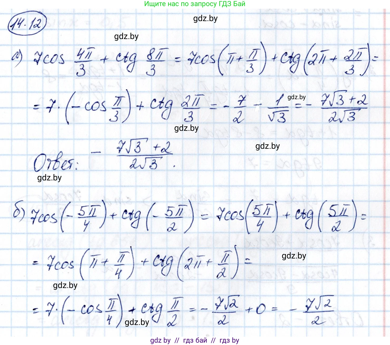
Решение. №14.12 (с. 80)
Алгебра, 10 класс Сборник задач, авторы: Арефьева Ирина Глебовна, Пирютко Ольга Николаевна, издательство Народная асвета, Минск, 2020, белого цвета, страница 80, номер 14.12, Решение Алгебра, 10 класс Сборник задач, авторы: Арефьева Ирина Глебовна, Пирютко Ольга Николаевна, издательство Народная асвета, Минск, 2020, белого цвета, страница 80, номер 14.12, Решение (продолжение 2)
Решение 2. №14.12 (с. 80)

а) Найдём значение функции $f(x) = 7\cos4x + \text{ctg}8x$ при $x = \frac{\pi}{3}$.

Для этого подставим значение $x = \frac{\pi}{3}$ в выражение функции:

$f(\frac{\pi}{3}) = 7\cos(4 \cdot \frac{\pi}{3}) + \text{ctg}(8 \cdot \frac{\pi}{3}) = 7\cos(\frac{4\pi}{3}) + \text{ctg}(\frac{8\pi}{3})$

Теперь вычислим значения тригонометрических функций для полученных аргументов.

Для косинуса используем формулу приведения $\cos(\pi + \alpha) = -\cos(\alpha)$:

$\cos(\frac{4\pi}{3}) = \cos(\pi + \frac{\pi}{3}) = -\cos(\frac{\pi}{3}) = -\frac{1}{2}$

Для котангенса сначала воспользуемся его периодичностью ($T=\pi$), чтобы упростить аргумент. Можно вычесть $2\pi$, что эквивалентно $\frac{6\pi}{3}$:

$\text{ctg}(\frac{8\pi}{3}) = \text{ctg}(\frac{8\pi}{3} - 2\pi) = \text{ctg}(\frac{8\pi - 6\pi}{3}) = \text{ctg}(\frac{2\pi}{3})$

Теперь используем формулу приведения $\text{ctg}(\pi - \alpha) = -\text{ctg}(\alpha)$:

$\text{ctg}(\frac{2\pi}{3}) = \text{ctg}(\pi - \frac{\pi}{3}) = -\text{ctg}(\frac{\pi}{3}) = -\frac{\sqrt{3}}{3}$

Подставим вычисленные значения обратно в выражение для функции:

$f(\frac{\pi}{3}) = 7 \cdot (-\frac{1}{2}) + (-\frac{\sqrt{3}}{3}) = -\frac{7}{2} - \frac{\sqrt{3}}{3}$

В полученном результате есть неправильная дробь $-\frac{7}{2}$. Выделим из неё целую часть:

$-\frac{7}{2} = -3\frac{1}{2}$

Таким образом, значение функции равно $-3\frac{1}{2} - \frac{\sqrt{3}}{3}$.

Ответ: $-3\frac{1}{2} - \frac{\sqrt{3}}{3}$.

б) Найдём значение функции $f(x) = 7\cos4x + \text{ctg}8x$ при $x = -\frac{5\pi}{16}$.

Подставим $x = -\frac{5\pi}{16}$ в выражение для функции:

$f(-\frac{5\pi}{16}) = 7\cos(4 \cdot (-\frac{5\pi}{16})) + \text{ctg}(8 \cdot (-\frac{5\pi}{16}))$

Упростим аргументы:

$f(-\frac{5\pi}{16}) = 7\cos(-\frac{20\pi}{16}) + \text{ctg}(-\frac{40\pi}{16}) = 7\cos(-\frac{5\pi}{4}) + \text{ctg}(-\frac{5\pi}{2})$

Используем свойства чётности и нечётности тригонометрических функций. Косинус — чётная функция ($\cos(-\alpha) = \cos(\alpha)$), а котангенс — нечётная ($\text{ctg}(-\alpha) = -\text{ctg}(\alpha)$):

$f(-\frac{5\pi}{16}) = 7\cos(\frac{5\pi}{4}) - \text{ctg}(\frac{5\pi}{2})$

Вычислим значения этих функций.

Для косинуса:

$\cos(\frac{5\pi}{4}) = \cos(\pi + \frac{\pi}{4}) = -\cos(\frac{\pi}{4}) = -\frac{\sqrt{2}}{2}$

Для котангенса, учитывая периодичность:

$\text{ctg}(\frac{5\pi}{2}) = \text{ctg}(\frac{4\pi+\pi}{2}) = \text{ctg}(2\pi + \frac{\pi}{2}) = \text{ctg}(\frac{\pi}{2}) = 0$

Подставляем найденные значения обратно в выражение:

$f(-\frac{5\pi}{16}) = 7 \cdot (-\frac{\sqrt{2}}{2}) - 0 = -\frac{7\sqrt{2}}{2}$

Результат является иррациональным числом, а не рациональной неправильной дробью, поэтому стандартное выделение целой части здесь не применяется.

Ответ: $-\frac{7\sqrt{2}}{2}$.

Помогло решение? Оставьте отзыв в комментариях ниже.

Присоединяйтесь к Телеграм-группе @gdz_by_belarus

Присоединиться

Мы подготовили для вас ответ c подробным объяснением домашего задания по алгебре за 10 класс, для упражнения номер 14.12 расположенного на странице 80 к сборнику задач 2020 года издания для учащихся школ и гимназий.

Теперь на нашем сайте ГДЗ.ТОП вы всегда легко и бесплатно найдёте условие с правильным ответом на вопрос «Как решить ДЗ» и «Как сделать» задание по алгебре к упражнению №14.12 (с. 80), авторов: Арефьева (Ирина Глебовна), Пирютко (Ольга Николаевна), базовый и повышенный уровень обучения учебного пособия издательства Народная асвета.