Номер 17.6, страница 96 - гдз по алгебре 10 класс сборник задач Арефьева, Пирютко

Алгебра, 10 класс Сборник задач, авторы: Арефьева Ирина Глебовна, Пирютко Ольга Николаевна, издательство Народная асвета, Минск, 2020, белого цвета

Авторы: Арефьева И. Г., Пирютко О. Н.

Тип: Сборник задач

Издательство: Народная асвета

Год издания: 2020 - 2026

Уровень обучения: базовый и повышенный

Цвет обложки: белый, голубой с графиком

Допущено Министерством образования Республики Беларусь

Популярные ГДЗ в 10 классе

Глава 3. Тригонометрия. Параграф 17. Формулы преобразования суммы и разности синусов (косинусов) в произведение - номер 17.6, страница 96.

№17.6 (с. 96)
Условие. №17.6 (с. 96)
скриншот условия
Алгебра, 10 класс Сборник задач, авторы: Арефьева Ирина Глебовна, Пирютко Ольга Николаевна, издательство Народная асвета, Минск, 2020, белого цвета, страница 96, номер 17.6, Условие
17.6. Найдите сумму различных корней уравнения

$\cos 9x - \cos 7x + \cos 3x - \cos x = 0$

на промежутке $(0; \frac{\pi}{2}]$.

Решение. №17.6 (с. 96)
Алгебра, 10 класс Сборник задач, авторы: Арефьева Ирина Глебовна, Пирютко Ольга Николаевна, издательство Народная асвета, Минск, 2020, белого цвета, страница 96, номер 17.6, Решение Алгебра, 10 класс Сборник задач, авторы: Арефьева Ирина Глебовна, Пирютко Ольга Николаевна, издательство Народная асвета, Минск, 2020, белого цвета, страница 96, номер 17.6, Решение (продолжение 2)
Решение 2. №17.6 (с. 96)

Для решения данного уравнения сгруппируем его члены, применим формулы преобразования разности и суммы тригонометрических функций в произведение, найдем все корни на заданном промежутке, а затем вычислим их сумму.

1. Нахождение различных корней уравнения на промежутке $(0; \frac{\pi}{2}]$:
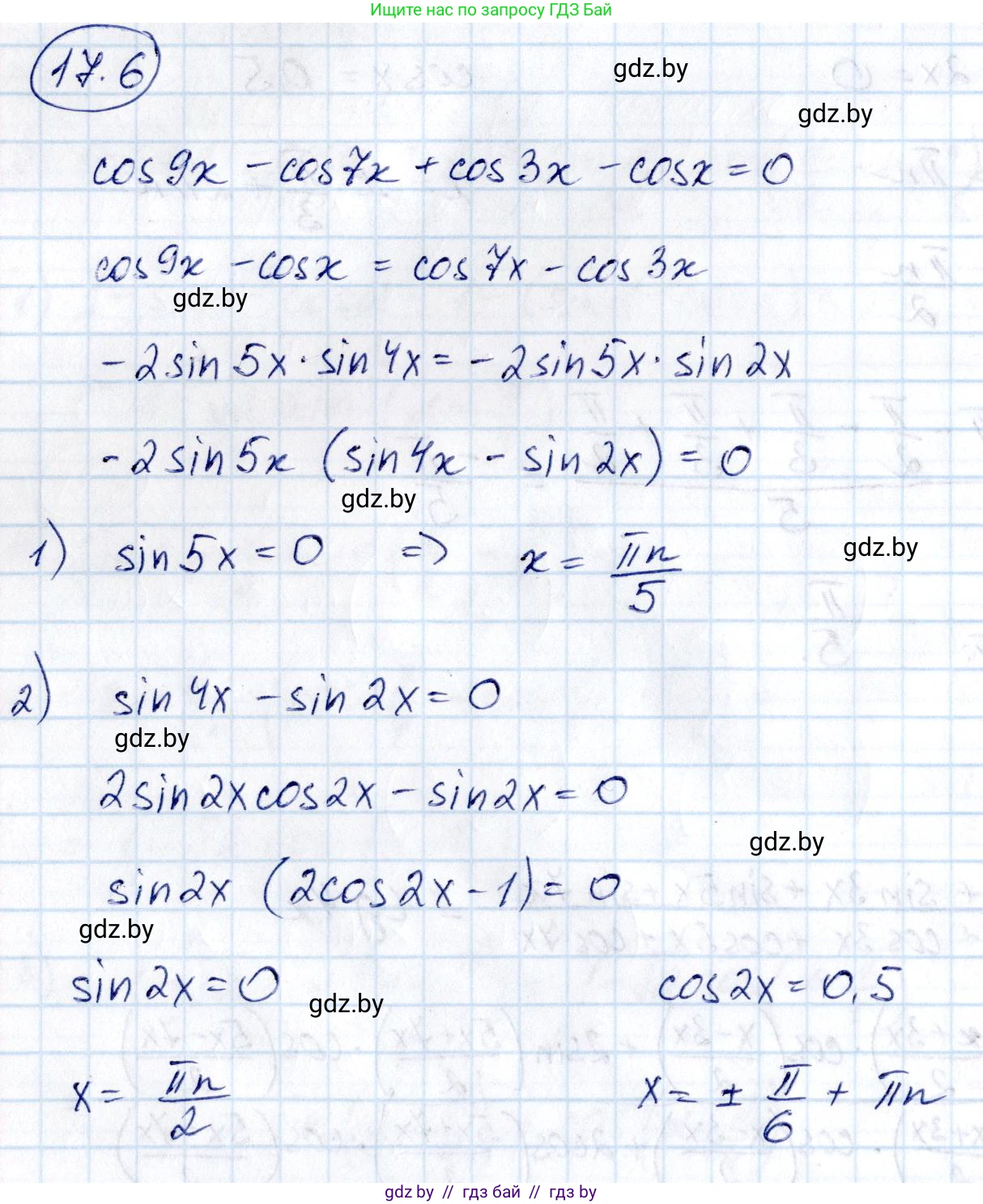
Исходное уравнение: $ \cos9x - \cos7x + \cos3x - \cos x = 0 $.
Сгруппируем слагаемые: $ (\cos9x - \cos7x) + (\cos3x - \cos x) = 0 $.
Применим формулу разности косинусов $ \cos\alpha - \cos\beta = -2\sin\frac{\alpha+\beta}{2}\sin\frac{\alpha-\beta}{2} $ к каждой из групп:
$ -2\sin\frac{9x+7x}{2}\sin\frac{9x-7x}{2} - 2\sin\frac{3x+x}{2}\sin\frac{3x-x}{2} = 0 $
$ -2\sin8x\sin x - 2\sin2x\sin x = 0 $
Вынесем за скобки общий множитель $ -2\sin x $:
$ -2\sin x(\sin8x + \sin2x) = 0 $
Теперь к выражению в скобках применим формулу суммы синусов $ \sin\alpha + \sin\beta = 2\sin\frac{\alpha+\beta}{2}\cos\frac{\alpha-\beta}{2} $:
$ -2\sin x \cdot \left(2\sin\frac{8x+2x}{2}\cos\frac{8x-2x}{2}\right) = 0 $
$ -4\sin x \sin5x \cos3x = 0 $
Произведение равно нулю, если хотя бы один из множителей равен нулю. Получаем совокупность трех уравнений:
1) $ \sin x = 0 \implies x = k\pi, k \in \mathbb{Z} $. На промежутке $ (0; \frac{\pi}{2}] $ данное уравнение корней не имеет.
2) $ \sin5x = 0 \implies 5x = k\pi \implies x = \frac{k\pi}{5}, k \in \mathbb{Z} $. Отберем корни на промежутке $ (0; \frac{\pi}{2}] $.
$ 0 < \frac{k\pi}{5} \le \frac{\pi}{2} \implies 0 < \frac{k}{5} \le \frac{1}{2} \implies 0 < k \le 2.5 $. Целые значения $ k $: 1, 2. Корни: $ x_1 = \frac{\pi}{5} $, $ x_2 = \frac{2\pi}{5} $.
3) $ \cos3x = 0 \implies 3x = \frac{\pi}{2} + k\pi \implies x = \frac{\pi}{6} + \frac{k\pi}{3}, k \in \mathbb{Z} $. Отберем корни на промежутке $ (0; \frac{\pi}{2}] $.
$ 0 < \frac{\pi}{6} + \frac{k\pi}{3} \le \frac{\pi}{2} \implies 0 < \frac{1}{6} + \frac{k}{3} \le \frac{1}{2} \implies -\frac{1}{6} < \frac{k}{3} \le \frac{1}{3} \implies -0.5 < k \le 1 $. Целые значения $ k $: 0, 1. Корни: $ x_3 = \frac{\pi}{6} $, $ x_4 = \frac{\pi}{2} $.
Ответ: Различные корни уравнения на заданном промежутке: $ \frac{\pi}{5}, \frac{2\pi}{5}, \frac{\pi}{6}, \frac{\pi}{2} $.

2. Нахождение суммы различных корней:
Сложим все найденные уникальные корни:
$ S = \frac{\pi}{5} + \frac{2\pi}{5} + \frac{\pi}{6} + \frac{\pi}{2} = \frac{3\pi}{5} + \frac{\pi + 3\pi}{6} = \frac{3\pi}{5} + \frac{4\pi}{6} = \frac{3\pi}{5} + \frac{2\pi}{3} $
Приведем дроби к общему знаменателю 15:
$ S = \frac{3\pi \cdot 3}{15} + \frac{2\pi \cdot 5}{15} = \frac{9\pi + 10\pi}{15} = \frac{19\pi}{15} $
Выделим целую часть из полученной неправильной дроби $ \frac{19}{15} = 1\frac{4}{15} $.
Ответ: $ \mathbf{1}\frac{4}{15}\pi $.

Помогло решение? Оставьте отзыв в комментариях ниже.

Присоединяйтесь к Телеграм-группе @gdz_by_belarus

Присоединиться

Мы подготовили для вас ответ c подробным объяснением домашего задания по алгебре за 10 класс, для упражнения номер 17.6 расположенного на странице 96 к сборнику задач 2020 года издания для учащихся школ и гимназий.

Теперь на нашем сайте ГДЗ.ТОП вы всегда легко и бесплатно найдёте условие с правильным ответом на вопрос «Как решить ДЗ» и «Как сделать» задание по алгебре к упражнению №17.6 (с. 96), авторов: Арефьева (Ирина Глебовна), Пирютко (Ольга Николаевна), базовый и повышенный уровень обучения учебного пособия издательства Народная асвета.