Номер 17.2, страница 95 - гдз по алгебре 10 класс сборник задач Арефьева, Пирютко

Алгебра, 10 класс Сборник задач, авторы: Арефьева Ирина Глебовна, Пирютко Ольга Николаевна, издательство Народная асвета, Минск, 2020, белого цвета

Авторы: Арефьева И. Г., Пирютко О. Н.

Тип: Сборник задач

Издательство: Народная асвета

Год издания: 2020 - 2026

Уровень обучения: базовый и повышенный

Цвет обложки: белый, голубой с графиком

Допущено Министерством образования Республики Беларусь

Глава 3. Тригонометрия. Параграф 17. Формулы преобразования суммы и разности синусов (косинусов) в произведение - номер 17.2, страница 95.

№17.2 (с. 95)
Условие. №17.2 (с. 95)
скриншот условия
Алгебра, 10 класс Сборник задач, авторы: Арефьева Ирина Глебовна, Пирютко Ольга Николаевна, издательство Народная асвета, Минск, 2020, белого цвета, страница 95, номер 17.2, Условие

17.2. Найдите значение выражения:

a) $\sin 72^\circ + \cos 222^\circ - \sin 12^\circ$;

б) $\frac{\cos 78^\circ + \sin 228^\circ}{\sin^2 54^\circ - \cos^2 54^\circ}$.

Решение. №17.2 (с. 95)
Алгебра, 10 класс Сборник задач, авторы: Арефьева Ирина Глебовна, Пирютко Ольга Николаевна, издательство Народная асвета, Минск, 2020, белого цвета, страница 95, номер 17.2, Решение Алгебра, 10 класс Сборник задач, авторы: Арефьева Ирина Глебовна, Пирютко Ольга Николаевна, издательство Народная асвета, Минск, 2020, белого цвета, страница 95, номер 17.2, Решение (продолжение 2)
Решение 2. №17.2 (с. 95)

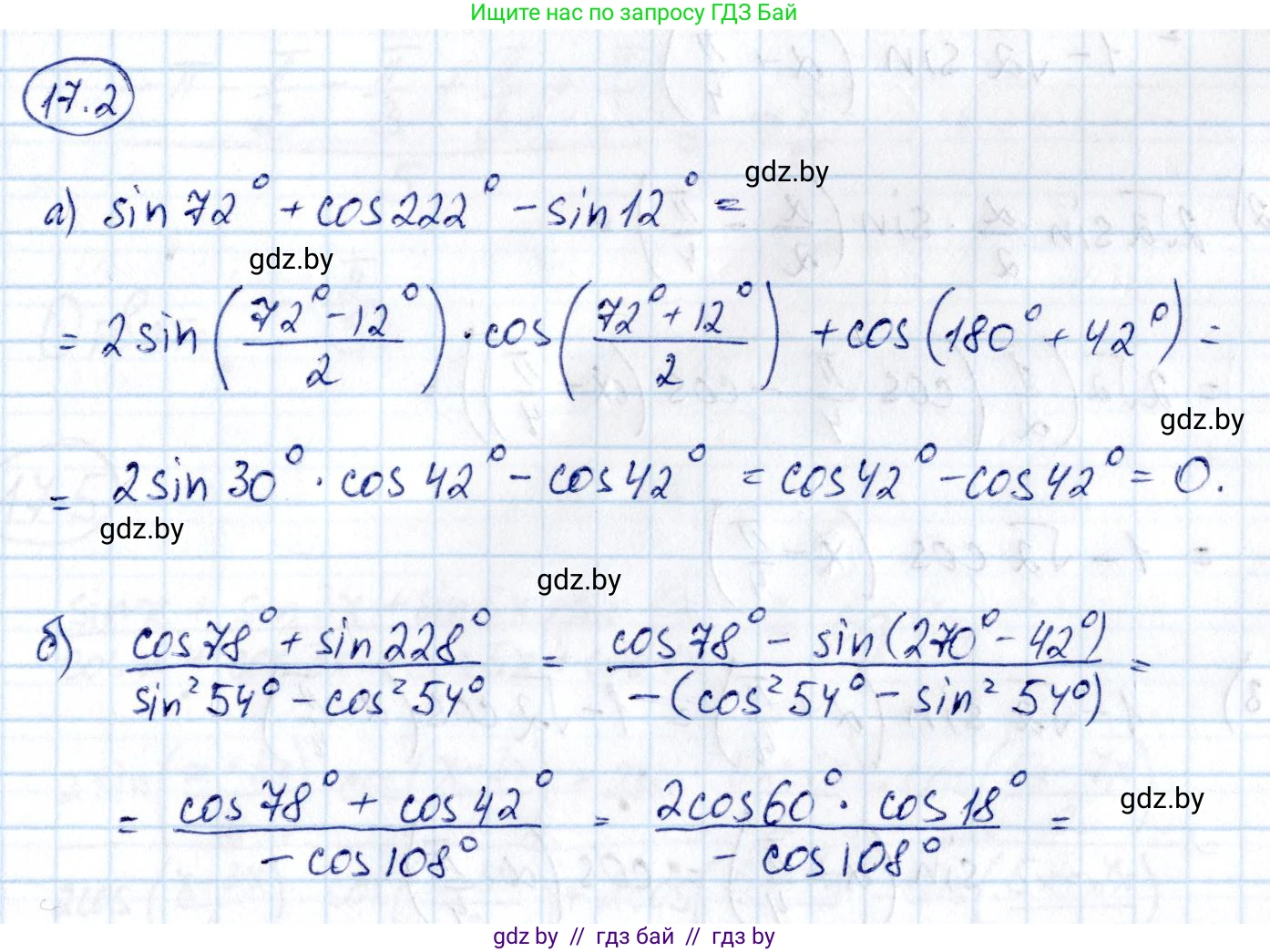
а) Решим выражение $ \sin 72^\circ + \cos 222^\circ - \sin 12^\circ $.
Сгруппируем первое и третье слагаемые и применим формулу разности синусов $ \sin \alpha - \sin \beta = 2 \sin\left(\frac{\alpha-\beta}{2}\right) \cos\left(\frac{\alpha+\beta}{2}\right) $.
$ \sin 72^\circ - \sin 12^\circ = 2 \sin\left(\frac{72^\circ-12^\circ}{2}\right) \cos\left(\frac{72^\circ+12^\circ}{2}\right) = 2 \sin 30^\circ \cos 42^\circ $.
Поскольку $ \sin 30^\circ = \frac{1}{2} $, получаем:
$ 2 \cdot \frac{1}{2} \cdot \cos 42^\circ = \cos 42^\circ $.
Теперь преобразуем второе слагаемое, используя формулу приведения $ \cos(180^\circ + \alpha) = -\cos \alpha $:
$ \cos 222^\circ = \cos(180^\circ + 42^\circ) = -\cos 42^\circ $.
Подставим полученные значения обратно в исходное выражение:
$ (\sin 72^\circ - \sin 12^\circ) + \cos 222^\circ = \cos 42^\circ - \cos 42^\circ = 0 $.
Ответ: 0.

б) Рассмотрим выражение $ \frac{\cos 78^\circ + \sin 228^\circ}{\sin^2 54^\circ - \cos^2 54^\circ} $.
Преобразуем числитель. Используем формулу приведения $ \sin(270^\circ - \alpha) = -\cos \alpha $:
$ \sin 228^\circ = \sin(270^\circ - 42^\circ) = -\cos 42^\circ $.
Числитель принимает вид: $ \cos 78^\circ - \cos 42^\circ $.
Применим формулу разности косинусов $ \cos \alpha - \cos \beta = -2 \sin\left(\frac{\alpha+\beta}{2}\right) \sin\left(\frac{\alpha-\beta}{2}\right) $:
$ \cos 78^\circ - \cos 42^\circ = -2 \sin\left(\frac{78^\circ+42^\circ}{2}\right) \sin\left(\frac{78^\circ-42^\circ}{2}\right) = -2 \sin 60^\circ \sin 18^\circ $.
Так как $ \sin 60^\circ = \frac{\sqrt{3}}{2} $, числитель равен: $ -2 \cdot \frac{\sqrt{3}}{2} \cdot \sin 18^\circ = -\sqrt{3} \sin 18^\circ $.
Теперь преобразуем знаменатель. Вынесем минус за скобки:
$ \sin^2 54^\circ - \cos^2 54^\circ = -(\cos^2 54^\circ - \sin^2 54^\circ) $.
Используем формулу косинуса двойного угла $ \cos(2\alpha) = \cos^2 \alpha - \sin^2 \alpha $:
$ -(\cos^2 54^\circ - \sin^2 54^\circ) = -\cos(2 \cdot 54^\circ) = -\cos(108^\circ) $.
Применим формулу приведения $ \cos(90^\circ + \alpha) = -\sin \alpha $:
$ -\cos(108^\circ) = -\cos(90^\circ + 18^\circ) = -(-\sin 18^\circ) = \sin 18^\circ $.
Теперь разделим преобразованный числитель на преобразованный знаменатель:
$ \frac{-\sqrt{3} \sin 18^\circ}{\sin 18^\circ} = -\sqrt{3} $.
Ответ: $ -\sqrt{3} $.

Помогло решение? Оставьте отзыв в комментариях ниже.

Присоединяйтесь к Телеграм-группе @gdz_by_belarus

Присоединиться

Мы подготовили для вас ответ c подробным объяснением домашего задания по алгебре за 10 класс, для упражнения номер 17.2 расположенного на странице 95 к сборнику задач 2020 года издания для учащихся школ и гимназий.

Теперь на нашем сайте ГДЗ.ТОП вы всегда легко и бесплатно найдёте условие с правильным ответом на вопрос «Как решить ДЗ» и «Как сделать» задание по алгебре к упражнению №17.2 (с. 95), авторов: Арефьева (Ирина Глебовна), Пирютко (Ольга Николаевна), базовый и повышенный уровень обучения учебного пособия издательства Народная асвета.