Номер 16.19, страница 91 - гдз по алгебре 10 класс сборник задач Арефьева, Пирютко

Алгебра, 10 класс Сборник задач, авторы: Арефьева Ирина Глебовна, Пирютко Ольга Николаевна, издательство Народная асвета, Минск, 2020, белого цвета

Авторы: Арефьева И. Г., Пирютко О. Н.

Тип: Сборник задач

Издательство: Народная асвета

Год издания: 2020 - 2026

Уровень обучения: базовый и повышенный

Цвет обложки: белый, голубой с графиком

Допущено Министерством образования Республики Беларусь

Популярные ГДЗ в 10 классе

Глава 3. Тригонометрия. Параграф 16. Формулы двойного аргумента - номер 16.19, страница 91.

№16.19 (с. 91)
Условие. №16.19 (с. 91)
скриншот условия
Алгебра, 10 класс Сборник задач, авторы: Арефьева Ирина Глебовна, Пирютко Ольга Николаевна, издательство Народная асвета, Минск, 2020, белого цвета, страница 91, номер 16.19, Условие

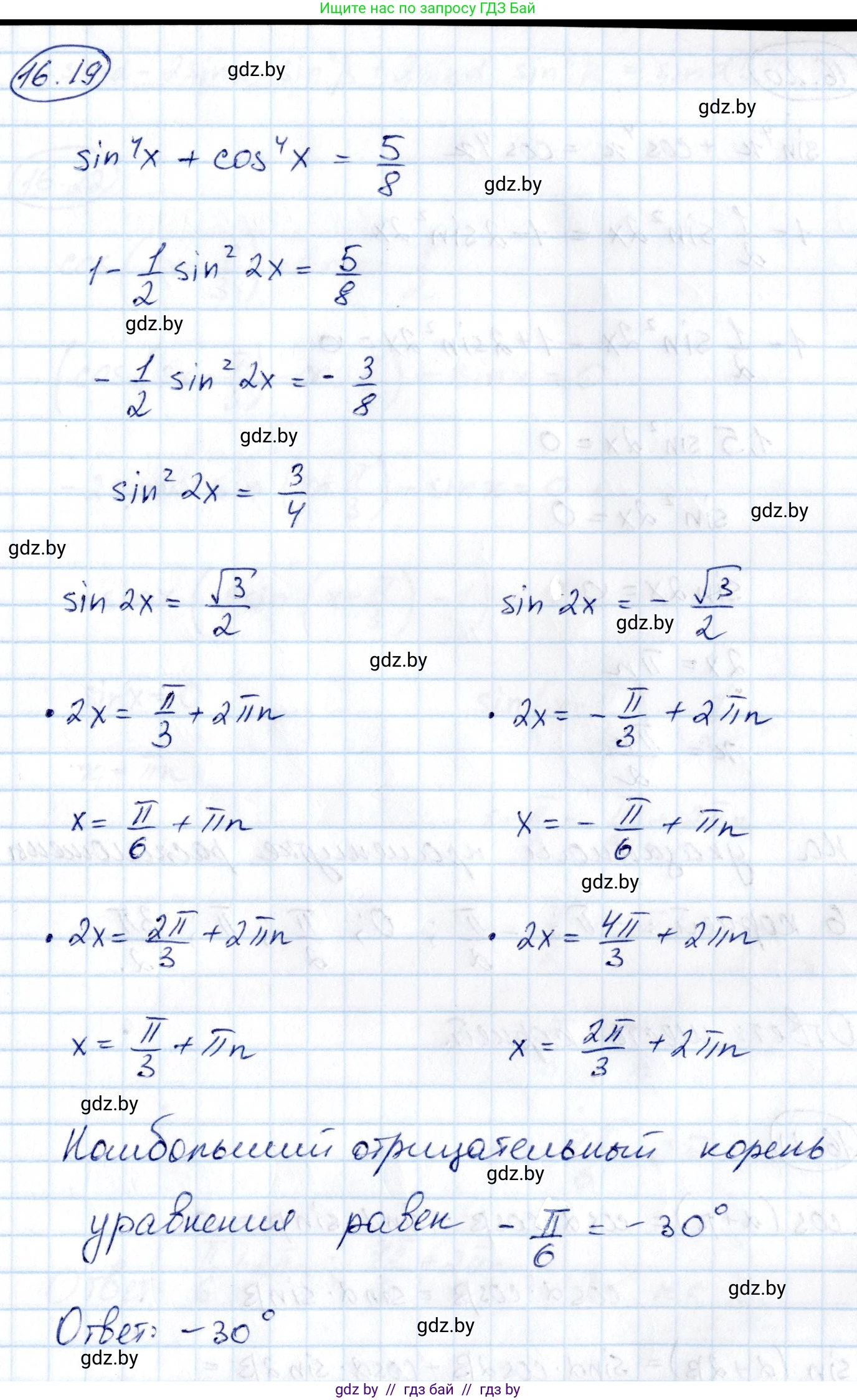
16.19. Найдите наибольший отрицательный корень (в градусах) уравнения $ \sin^4 x + \cos^4 x = \frac{5}{8} $.

Решение. №16.19 (с. 91)
Алгебра, 10 класс Сборник задач, авторы: Арефьева Ирина Глебовна, Пирютко Ольга Николаевна, издательство Народная асвета, Минск, 2020, белого цвета, страница 91, номер 16.19, Решение
Решение 2. №16.19 (с. 91)

Для решения уравнения $\sin^4 x + \cos^4 x = \frac{5}{8}$ преобразуем его левую часть. Мы знаем основное тригонометрическое тождество $\sin^2 x + \cos^2 x = 1$. Возведем его в квадрат:

$(\sin^2 x + \cos^2 x)^2 = 1^2$

$\sin^4 x + 2\sin^2 x \cos^2 x + \cos^4 x = 1$

Отсюда можно выразить искомую сумму:

$\sin^4 x + \cos^4 x = 1 - 2\sin^2 x \cos^2 x$

Чтобы упростить правую часть, воспользуемся формулой синуса двойного угла $\sin(2x) = 2\sin x \cos x$. Возведя ее в квадрат, получим $\sin^2(2x) = 4\sin^2 x \cos^2 x$, откуда $2\sin^2 x \cos^2 x = \frac{1}{2}\sin^2(2x)$.

Таким образом, левая часть исходного уравнения равна:

$\sin^4 x + \cos^4 x = 1 - \frac{1}{2}\sin^2(2x)$

Теперь применим формулу понижения степени $\sin^2\alpha = \frac{1 - \cos(2\alpha)}{2}$. Для $\alpha = 2x$ получаем:

$1 - \frac{1}{2}\sin^2(2x) = 1 - \frac{1}{2} \cdot \left(\frac{1 - \cos(4x)}{2}\right) = 1 - \frac{1 - \cos(4x)}{4} = \frac{4 - (1 - \cos(4x))}{4} = \frac{3 + \cos(4x)}{4}$

Теперь наше исходное уравнение принимает вид:

$\frac{3 + \cos(4x)}{4} = \frac{5}{8}$

Решим это уравнение относительно $\cos(4x)$:

$3 + \cos(4x) = \frac{5}{8} \cdot 4 = \frac{5}{2}$

$\cos(4x) = \frac{5}{2} - 3 = \frac{5-6}{2} = -\frac{1}{2}$

Находим общее решение для $4x$:

$4x = \pm \arccos\left(-\frac{1}{2}\right) + 2\pi k$, где $k \in \mathbb{Z}$.

Так как $\arccos\left(-\frac{1}{2}\right) = \frac{2\pi}{3}$, то:

$4x = \pm \frac{2\pi}{3} + 2\pi k$

Разделив на 4, получим общее решение для $x$:

$x = \pm \frac{2\pi}{12} + \frac{2\pi k}{4} \implies x = \pm \frac{\pi}{6} + \frac{\pi k}{2}$

Наибольший отрицательный корень (в градусах): Нам нужно найти наибольшее отрицательное значение $x$. Рассмотрим две серии корней, подставляя целые значения $k$:

  • $x_1 = \frac{\pi}{6} + \frac{\pi k}{2}$. При $k = -1$, $x = \frac{\pi}{6} - \frac{\pi}{2} = -\frac{2\pi}{6} = -\frac{\pi}{3}$.
  • $x_2 = -\frac{\pi}{6} + \frac{\pi k}{2}$. При $k = 0$, $x = -\frac{\pi}{6}$.

Сравнивая полученные отрицательные корни $-\frac{\pi}{3}$ и $-\frac{\pi}{6}$, заключаем, что наибольшим из них (ближайшим к нулю) является $-\frac{\pi}{6}$. Переведем этот корень в градусы: $x = -\frac{180^\circ}{6} = -30^\circ$. Ответ: -30

Помогло решение? Оставьте отзыв в комментариях ниже.

Присоединяйтесь к Телеграм-группе @gdz_by_belarus

Присоединиться

Мы подготовили для вас ответ c подробным объяснением домашего задания по алгебре за 10 класс, для упражнения номер 16.19 расположенного на странице 91 к сборнику задач 2020 года издания для учащихся школ и гимназий.

Теперь на нашем сайте ГДЗ.ТОП вы всегда легко и бесплатно найдёте условие с правильным ответом на вопрос «Как решить ДЗ» и «Как сделать» задание по алгебре к упражнению №16.19 (с. 91), авторов: Арефьева (Ирина Глебовна), Пирютко (Ольга Николаевна), базовый и повышенный уровень обучения учебного пособия издательства Народная асвета.