Номер 16.18, страница 91 - гдз по алгебре 10 класс сборник задач Арефьева, Пирютко

Алгебра, 10 класс Сборник задач, авторы: Арефьева Ирина Глебовна, Пирютко Ольга Николаевна, издательство Народная асвета, Минск, 2020, белого цвета

Авторы: Арефьева И. Г., Пирютко О. Н.

Тип: Сборник задач

Издательство: Народная асвета

Год издания: 2020 - 2026

Уровень обучения: базовый и повышенный

Цвет обложки: белый, голубой с графиком

Допущено Министерством образования Республики Беларусь

Популярные ГДЗ в 10 классе

Глава 3. Тригонометрия. Параграф 16. Формулы двойного аргумента - номер 16.18, страница 91.

№16.18 (с. 91)
Условие. №16.18 (с. 91)
скриншот условия
Алгебра, 10 класс Сборник задач, авторы: Арефьева Ирина Глебовна, Пирютко Ольга Николаевна, издательство Народная асвета, Минск, 2020, белого цвета, страница 91, номер 16.18, Условие

16.18. Решите неравенство:

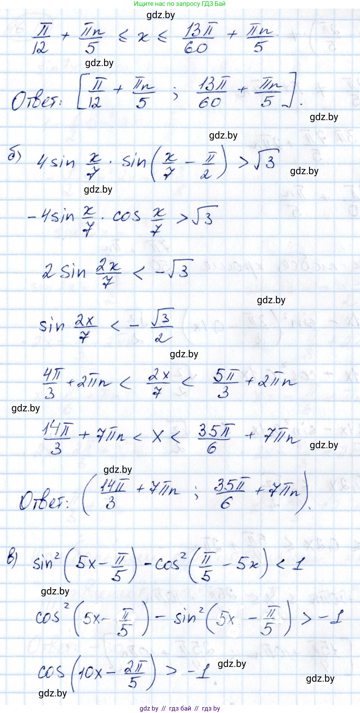
а) $\sin 5x \cos 5x \le \frac{1}{4}$;

б) $4\sin \frac{x}{7} \cdot \sin \left(\frac{x}{7} - \frac{\pi}{2}\right) > \sqrt{3}$;

в) $\sin^2\left(5x - \frac{\pi}{5}\right) - \cos^2\left(\frac{\pi}{5} - 5x\right) < 1$;

г) $\sin^2 0,1x - \sin^2\left(\frac{3\pi}{2} - 0,1x\right) \ge \frac{\sqrt{2}}{2}$.

Решение. №16.18 (с. 91)
Алгебра, 10 класс Сборник задач, авторы: Арефьева Ирина Глебовна, Пирютко Ольга Николаевна, издательство Народная асвета, Минск, 2020, белого цвета, страница 91, номер 16.18, Решение Алгебра, 10 класс Сборник задач, авторы: Арефьева Ирина Глебовна, Пирютко Ольга Николаевна, издательство Народная асвета, Минск, 2020, белого цвета, страница 91, номер 16.18, Решение (продолжение 2)
Решение 2. №16.18 (с. 91)

а) Исходное неравенство: $ \sin5x\cos5x \le \frac{1}{4} $.
Используем формулу синуса двойного угла $ \sin(2\alpha) = 2\sin\alpha\cos\alpha $. Для этого умножим левую часть на 2 и разделим на 2:
$ \frac{1}{2} (2\sin5x\cos5x) \le \frac{1}{4} $
$ \frac{1}{2}\sin(2 \cdot 5x) \le \frac{1}{4} $
$ \frac{1}{2}\sin(10x) \le \frac{1}{4} $
Умножим обе части на 2:
$ \sin(10x) \le \frac{1}{2} $
Решением этого простейшего тригонометрического неравенства является совокупность промежутков:
$ -\frac{7\pi}{6} + 2\pi n \le 10x \le \frac{\pi}{6} + 2\pi n $, где $ n \in \mathbb{Z} $.
Разделим все части неравенства на 10, чтобы найти $ x $:
$ -\frac{7\pi}{60} + \frac{2\pi n}{10} \le x \le \frac{\pi}{60} + \frac{2\pi n}{10} $
$ -\frac{7\pi}{60} + \frac{\pi n}{5} \le x \le \frac{\pi}{60} + \frac{\pi n}{5} $, где $ n \in \mathbb{Z} $.
Ответ: $ x \in [-\frac{7\pi}{60} + \frac{\pi n}{5}; \frac{\pi}{60} + \frac{\pi n}{5}], n \in \mathbb{Z} $.

б) Исходное неравенство: $ 4\sin\frac{x}{7} \cdot \sin(\frac{x}{7} - \frac{\pi}{2}) > \sqrt{3} $.
Применим формулу приведения $ \sin(\alpha - \frac{\pi}{2}) = -\cos\alpha $:
$ \sin(\frac{x}{7} - \frac{\pi}{2}) = -\cos(\frac{x}{7}) $
Неравенство принимает вид:
$ 4\sin\frac{x}{7} \cdot (-\cos\frac{x}{7}) > \sqrt{3} $
$ -4\sin\frac{x}{7}\cos\frac{x}{7} > \sqrt{3} $
Используем формулу синуса двойного угла $ \sin(2\alpha) = 2\sin\alpha\cos\alpha $:
$ -2 \cdot (2\sin\frac{x}{7}\cos\frac{x}{7}) > \sqrt{3} $
$ -2\sin(2 \cdot \frac{x}{7}) > \sqrt{3} $
$ -2\sin(\frac{2x}{7}) > \sqrt{3} $
Разделим обе части на -2, изменив знак неравенства:
$ \sin(\frac{2x}{7}) < -\frac{\sqrt{3}}{2} $
Решением этого неравенства является:
$ -\frac{2\pi}{3} + 2\pi n < \frac{2x}{7} < -\frac{\pi}{3} + 2\pi n $, где $ n \in \mathbb{Z} $.
Умножим все части на $ \frac{7}{2} $:
$ -\frac{2\pi}{3} \cdot \frac{7}{2} + 2\pi n \cdot \frac{7}{2} < x < -\frac{\pi}{3} \cdot \frac{7}{2} + 2\pi n \cdot \frac{7}{2} $
$ -\frac{7\pi}{3} + 7\pi n < x < -\frac{7\pi}{6} + 7\pi n $, где $ n \in \mathbb{Z} $.
Ответ: $ x \in (-\mathbf{2}\frac{1}{3}\pi + 7\pi n; -\mathbf{1}\frac{1}{6}\pi + 7\pi n), n \in \mathbb{Z} $.

в) Исходное неравенство: $ \sin^2(5x - \frac{\pi}{5}) - \cos^2(\frac{\pi}{5} - 5x) < 1 $.
Поскольку косинус — четная функция, $ \cos(-\alpha) = \cos\alpha $, то и $ \cos^2(-\alpha) = \cos^2\alpha $.
$ \cos^2(\frac{\pi}{5} - 5x) = \cos^2(-(5x - \frac{\pi}{5})) = \cos^2(5x - \frac{\pi}{5}) $.
Подставим это в неравенство:
$ \sin^2(5x - \frac{\pi}{5}) - \cos^2(5x - \frac{\pi}{5}) < 1 $
Применим формулу косинуса двойного угла $ \cos(2\alpha) = \cos^2\alpha - \sin^2\alpha $:
$ -(\cos^2(5x - \frac{\pi}{5}) - \sin^2(5x - \frac{\pi}{5})) < 1 $
$ -\cos(2(5x - \frac{\pi}{5})) < 1 $
$ -\cos(10x - \frac{2\pi}{5}) < 1 $
Умножим на -1, изменив знак неравенства:
$ \cos(10x - \frac{2\pi}{5}) > -1 $
Это неравенство выполняется для всех действительных значений аргумента, кроме тех, при которых косинус равен -1.
Найдем значения $ x $, которые нужно исключить:
$ \cos(10x - \frac{2\pi}{5}) = -1 $
$ 10x - \frac{2\pi}{5} = \pi + 2\pi n $, где $ n \in \mathbb{Z} $.
$ 10x = \pi + \frac{2\pi}{5} + 2\pi n $
$ 10x = \frac{7\pi}{5} + 2\pi n $
$ x = \frac{7\pi}{50} + \frac{2\pi n}{10} $
$ x = \frac{7\pi}{50} + \frac{\pi n}{5} $, где $ n \in \mathbb{Z} $.
Ответ: $ x \neq \frac{7\pi}{50} + \frac{\pi n}{5}, n \in \mathbb{Z} $.

г) Исходное неравенство: $ \sin^2 0,1x - \sin^2(\frac{3\pi}{2} - 0,1x) \ge \frac{\sqrt{2}}{2} $.
Используем формулу приведения $ \sin(\frac{3\pi}{2} - \alpha) = -\cos\alpha $:
$ \sin^2(\frac{3\pi}{2} - 0,1x) = (-\cos(0,1x))^2 = \cos^2(0,1x) $.
Неравенство принимает вид:
$ \sin^2(0,1x) - \cos^2(0,1x) \ge \frac{\sqrt{2}}{2} $
Применим формулу косинуса двойного угла:
$ -(\cos^2(0,1x) - \sin^2(0,1x)) \ge \frac{\sqrt{2}}{2} $
$ -\cos(2 \cdot 0,1x) \ge \frac{\sqrt{2}}{2} $
$ -\cos(0,2x) \ge \frac{\sqrt{2}}{2} $
Умножим на -1, изменив знак неравенства:
$ \cos(0,2x) \le -\frac{\sqrt{2}}{2} $
Решением этого неравенства является:
$ \frac{3\pi}{4} + 2\pi n \le 0,2x \le \frac{5\pi}{4} + 2\pi n $, где $ n \in \mathbb{Z} $.
Так как $ 0,2 = \frac{1}{5} $, то $ \frac{x}{5} $. Умножим все части неравенства на 5:
$ 5 \cdot \frac{3\pi}{4} + 5 \cdot 2\pi n \le x \le 5 \cdot \frac{5\pi}{4} + 5 \cdot 2\pi n $
$ \frac{15\pi}{4} + 10\pi n \le x \le \frac{25\pi}{4} + 10\pi n $, где $ n \in \mathbb{Z} $.
Ответ: $ x \in [\mathbf{3}\frac{3}{4}\pi + 10\pi n; \mathbf{6}\frac{1}{4}\pi + 10\pi n], n \in \mathbb{Z} $.

Помогло решение? Оставьте отзыв в комментариях ниже.

Присоединяйтесь к Телеграм-группе @gdz_by_belarus

Присоединиться

Мы подготовили для вас ответ c подробным объяснением домашего задания по алгебре за 10 класс, для упражнения номер 16.18 расположенного на странице 91 к сборнику задач 2020 года издания для учащихся школ и гимназий.

Теперь на нашем сайте ГДЗ.ТОП вы всегда легко и бесплатно найдёте условие с правильным ответом на вопрос «Как решить ДЗ» и «Как сделать» задание по алгебре к упражнению №16.18 (с. 91), авторов: Арефьева (Ирина Глебовна), Пирютко (Ольга Николаевна), базовый и повышенный уровень обучения учебного пособия издательства Народная асвета.