Номер 16.17, страница 91 - гдз по алгебре 10 класс сборник задач Арефьева, Пирютко

Алгебра, 10 класс Сборник задач, авторы: Арефьева Ирина Глебовна, Пирютко Ольга Николаевна, издательство Народная асвета, Минск, 2020, белого цвета

Авторы: Арефьева И. Г., Пирютко О. Н.

Тип: Сборник задач

Издательство: Народная асвета

Год издания: 2020 - 2026

Уровень обучения: базовый и повышенный

Цвет обложки: белый, голубой с графиком

Допущено Министерством образования Республики Беларусь

Популярные ГДЗ в 10 классе

Глава 3. Тригонометрия. Параграф 16. Формулы двойного аргумента - номер 16.17, страница 91.

№16.17 (с. 91)
Условие. №16.17 (с. 91)
скриншот условия
Алгебра, 10 класс Сборник задач, авторы: Арефьева Ирина Глебовна, Пирютко Ольга Николаевна, издательство Народная асвета, Минск, 2020, белого цвета, страница 91, номер 16.17, Условие

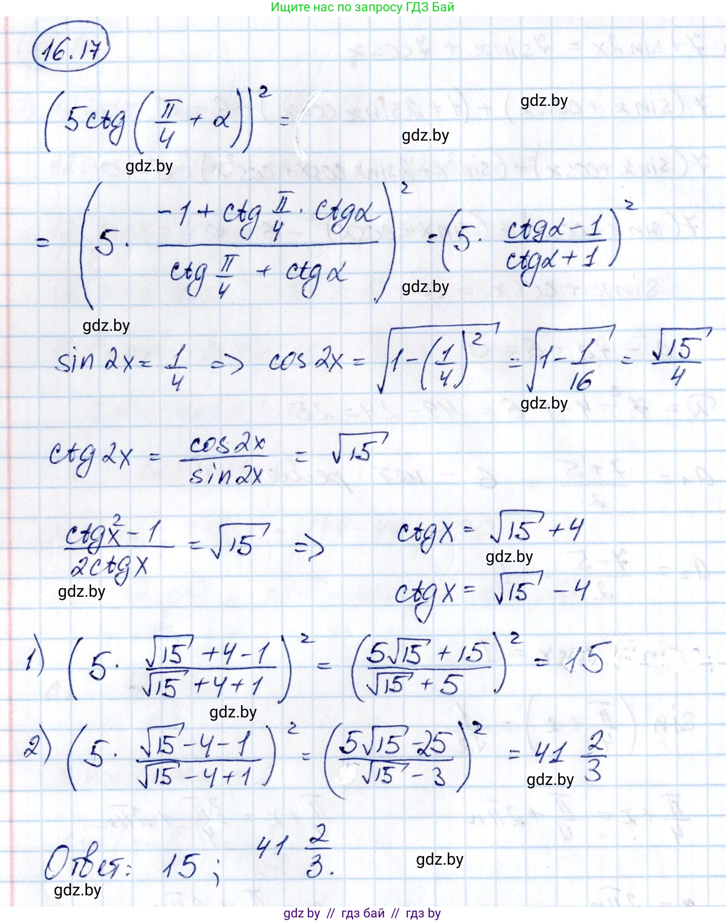
16.17. Найдите значение выражения $(5\text{ctg}(\frac{\pi}{4}+\alpha))^2$, зная, что $\sin2\alpha=0,25$.

Решение. №16.17 (с. 91)
Алгебра, 10 класс Сборник задач, авторы: Арефьева Ирина Глебовна, Пирютко Ольга Николаевна, издательство Народная асвета, Минск, 2020, белого цвета, страница 91, номер 16.17, Решение
Решение 2. №16.17 (с. 91)

Для решения данной задачи необходимо преобразовать исходное выражение $(5\text{ctg}(\frac{\pi}{4} + \alpha))^2$, чтобы выразить его через известное значение $\sin(2\alpha)$.

1. Упростим исходное выражение, раскрыв скобки:

$(5\text{ctg}(\frac{\pi}{4} + \alpha))^2 = 5^2 \cdot \text{ctg}^2(\frac{\pi}{4} + \alpha) = 25 \cdot \text{ctg}^2(\frac{\pi}{4} + \alpha)$

2. Теперь преобразуем $\text{ctg}(\frac{\pi}{4} + \alpha)$, используя формулу котангенса суммы, выраженную через синус и косинус, и формулы сложения для синуса и косинуса:

$\text{ctg}(\frac{\pi}{4} + \alpha) = \frac{\cos(\frac{\pi}{4} + \alpha)}{\sin(\frac{\pi}{4} + \alpha)} = \frac{\cos\frac{\pi}{4}\cos\alpha - \sin\frac{\pi}{4}\sin\alpha}{\sin\frac{\pi}{4}\cos\alpha + \cos\frac{\pi}{4}\sin\alpha}$

3. Подставим значения $\cos\frac{\pi}{4} = \frac{\sqrt{2}}{2}$ и $\sin\frac{\pi}{4} = \frac{\sqrt{2}}{2}$:

$\text{ctg}(\frac{\pi}{4} + \alpha) = \frac{\frac{\sqrt{2}}{2}\cos\alpha - \frac{\sqrt{2}}{2}\sin\alpha}{\frac{\sqrt{2}}{2}\cos\alpha + \frac{\sqrt{2}}{2}\sin\alpha} = \frac{\frac{\sqrt{2}}{2}(\cos\alpha - \sin\alpha)}{\frac{\sqrt{2}}{2}(\cos\alpha + \sin\alpha)} = \frac{\cos\alpha - \sin\alpha}{\cos\alpha + \sin\alpha}$

4. Возведем полученное выражение в квадрат, чтобы найти $\text{ctg}^2(\frac{\pi}{4} + \alpha)$:

$\text{ctg}^2(\frac{\pi}{4} + \alpha) = \left(\frac{\cos\alpha - \sin\alpha}{\cos\alpha + \sin\alpha}\right)^2 = \frac{(\cos\alpha - \sin\alpha)^2}{(\cos\alpha + \sin\alpha)^2}$

5. Раскроем квадраты в числителе и знаменателе, используя формулы сокращенного умножения, а затем применим основное тригонометрическое тождество $\sin^2\alpha + \cos^2\alpha = 1$ и формулу синуса двойного угла $\sin(2\alpha) = 2\sin\alpha\cos\alpha$:

$\frac{\cos^2\alpha - 2\sin\alpha\cos\alpha + \sin^2\alpha}{\cos^2\alpha + 2\sin\alpha\cos\alpha + \sin^2\alpha} = \frac{(\sin^2\alpha + \cos^2\alpha) - 2\sin\alpha\cos\alpha}{(\sin^2\alpha + \cos^2\alpha) + 2\sin\alpha\cos\alpha} = \frac{1 - \sin(2\alpha)}{1 + \sin(2\alpha)}$

6. Теперь мы можем подставить полученное выражение в формулу из шага 1:

$25 \cdot \text{ctg}^2(\frac{\pi}{4} + \alpha) = 25 \cdot \frac{1 - \sin(2\alpha)}{1 + \sin(2\alpha)}$

7. По условию задачи $\sin(2\alpha) = 0,25 = \frac{1}{4}$. Подставим это значение в выражение и выполним вычисления:

$25 \cdot \frac{1 - \frac{1}{4}}{1 + \frac{1}{4}} = 25 \cdot \frac{\frac{3}{4}}{\frac{5}{4}} = 25 \cdot \left(\frac{3}{4} \cdot \frac{4}{5}\right) = 25 \cdot \frac{3}{5}$

$\frac{25 \cdot 3}{5} = 5 \cdot 3 = 15$

16.17. Ответ: 15

Помогло решение? Оставьте отзыв в комментариях ниже.

Присоединяйтесь к Телеграм-группе @gdz_by_belarus

Присоединиться

Мы подготовили для вас ответ c подробным объяснением домашего задания по алгебре за 10 класс, для упражнения номер 16.17 расположенного на странице 91 к сборнику задач 2020 года издания для учащихся школ и гимназий.

Теперь на нашем сайте ГДЗ.ТОП вы всегда легко и бесплатно найдёте условие с правильным ответом на вопрос «Как решить ДЗ» и «Как сделать» задание по алгебре к упражнению №16.17 (с. 91), авторов: Арефьева (Ирина Глебовна), Пирютко (Ольга Николаевна), базовый и повышенный уровень обучения учебного пособия издательства Народная асвета.