Номер 16.10, страница 91 - гдз по алгебре 10 класс сборник задач Арефьева, Пирютко

Алгебра, 10 класс Сборник задач, авторы: Арефьева Ирина Глебовна, Пирютко Ольга Николаевна, издательство Народная асвета, Минск, 2020, белого цвета

Авторы: Арефьева И. Г., Пирютко О. Н.

Тип: Сборник задач

Издательство: Народная асвета

Год издания: 2020 - 2026

Уровень обучения: базовый и повышенный

Цвет обложки: белый, голубой с графиком

Допущено Министерством образования Республики Беларусь

Популярные ГДЗ в 10 классе

Глава 3. Тригонометрия. Параграф 16. Формулы двойного аргумента - номер 16.10, страница 91.

№16.10 (с. 91)
Условие. №16.10 (с. 91)
скриншот условия
Алгебра, 10 класс Сборник задач, авторы: Арефьева Ирина Глебовна, Пирютко Ольга Николаевна, издательство Народная асвета, Минск, 2020, белого цвета, страница 91, номер 16.10, Условие

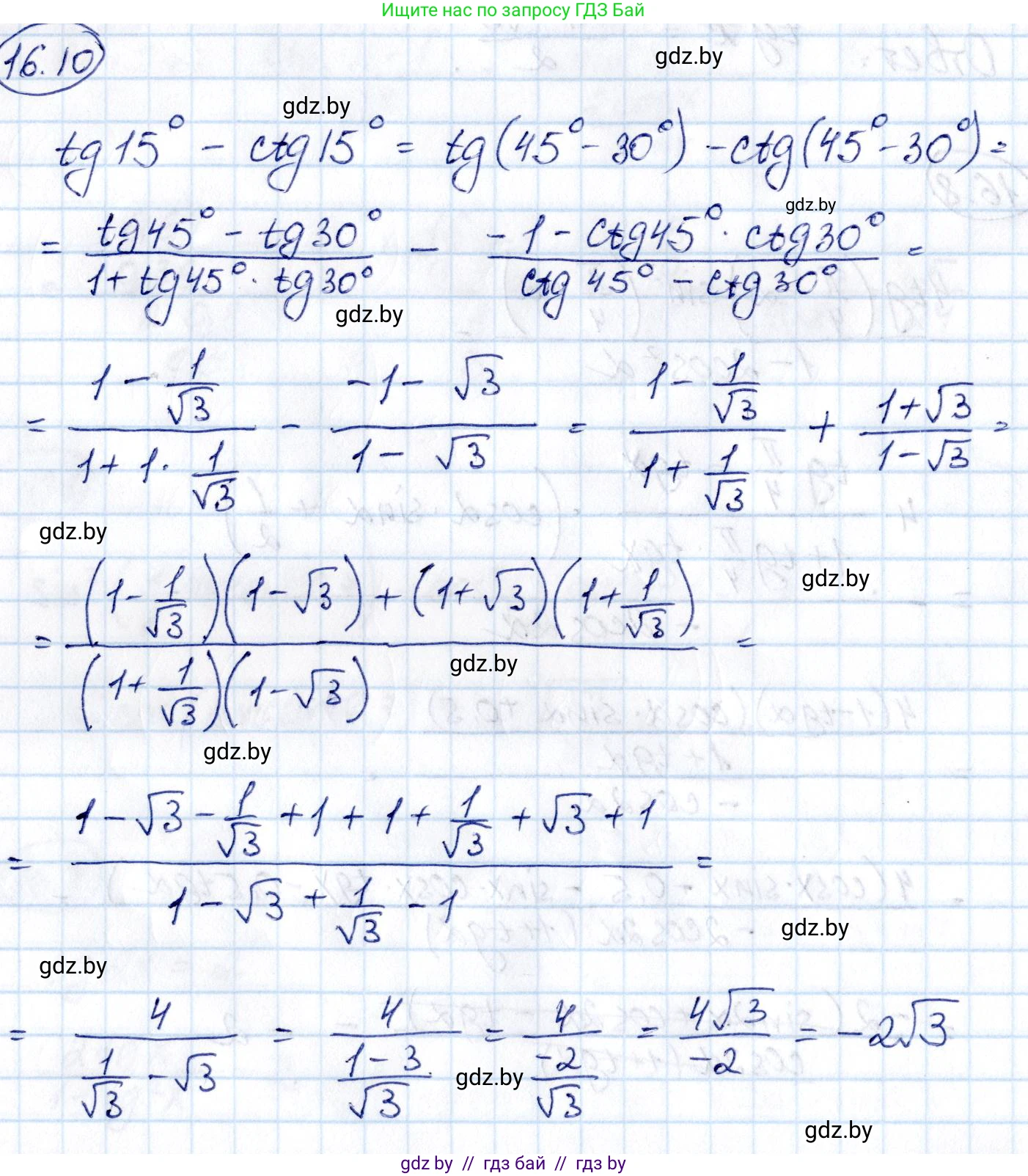
16.10. Вычислите: $\text{tg}15^\circ - \text{ctg}15^\circ$.

Решение. №16.10 (с. 91)
Алгебра, 10 класс Сборник задач, авторы: Арефьева Ирина Глебовна, Пирютко Ольга Николаевна, издательство Народная асвета, Минск, 2020, белого цвета, страница 91, номер 16.10, Решение Алгебра, 10 класс Сборник задач, авторы: Арефьева Ирина Глебовна, Пирютко Ольга Николаевна, издательство Народная асвета, Минск, 2020, белого цвета, страница 91, номер 16.10, Решение (продолжение 2)
Решение 2. №16.10 (с. 91)

Для вычисления значения выражения $tg15^\circ - ctg15^\circ$ воспользуемся определениями тангенса и котангенса через синус и косинус.

$tg\alpha = \frac{\sin\alpha}{\cos\alpha}$
$ctg\alpha = \frac{\cos\alpha}{\sin\alpha}$

Подставим эти определения в исходное выражение:
$tg15^\circ - ctg15^\circ = \frac{\sin15^\circ}{\cos15^\circ} - \frac{\cos15^\circ}{\sin15^\circ}$

Приведем дроби к общему знаменателю $\sin15^\circ \cos15^\circ$:
$\frac{\sin15^\circ \cdot \sin15^\circ - \cos15^\circ \cdot \cos15^\circ}{\sin15^\circ \cos15^\circ} = \frac{\sin^215^\circ - \cos^215^\circ}{\sin15^\circ \cos15^\circ}$

В числителе и знаменателе дроби воспользуемся формулами двойного угла:
1. Для числителя используем формулу косинуса двойного угла $\cos(2\alpha) = \cos^2\alpha - \sin^2\alpha$. Тогда числитель можно преобразовать:
$\sin^215^\circ - \cos^215^\circ = -(\cos^215^\circ - \sin^215^\circ) = -\cos(2 \cdot 15^\circ) = -\cos(30^\circ)$.
2. Для знаменателя используем формулу синуса двойного угла $\sin(2\alpha) = 2\sin\alpha\cos\alpha$, из которой следует, что $\sin\alpha\cos\alpha = \frac{\sin(2\alpha)}{2}$. Тогда знаменатель равен:
$\sin(15^\circ)\cos(15^\circ) = \frac{\sin(2 \cdot 15^\circ)}{2} = \frac{\sin(30^\circ)}{2}$.

Подставим полученные выражения обратно в дробь:
$\frac{-\cos(30^\circ)}{\frac{\sin(30^\circ)}{2}}$

Упростим полученное выражение:
$-2 \cdot \frac{\cos(30^\circ)}{\sin(30^\circ)} = -2 ctg(30^\circ)$

Зная табличное значение $ctg(30^\circ) = \sqrt{3}$, находим окончательный результат:
$-2 \cdot \sqrt{3} = -2\sqrt{3}$

Ответ: $-2\sqrt{3}$.

Помогло решение? Оставьте отзыв в комментариях ниже.

Присоединяйтесь к Телеграм-группе @gdz_by_belarus

Присоединиться

Мы подготовили для вас ответ c подробным объяснением домашего задания по алгебре за 10 класс, для упражнения номер 16.10 расположенного на странице 91 к сборнику задач 2020 года издания для учащихся школ и гимназий.

Теперь на нашем сайте ГДЗ.ТОП вы всегда легко и бесплатно найдёте условие с правильным ответом на вопрос «Как решить ДЗ» и «Как сделать» задание по алгебре к упражнению №16.10 (с. 91), авторов: Арефьева (Ирина Глебовна), Пирютко (Ольга Николаевна), базовый и повышенный уровень обучения учебного пособия издательства Народная асвета.