Номер 16.13, страница 91 - гдз по алгебре 10 класс сборник задач Арефьева, Пирютко

Алгебра, 10 класс Сборник задач, авторы: Арефьева Ирина Глебовна, Пирютко Ольга Николаевна, издательство Народная асвета, Минск, 2020, белого цвета

Авторы: Арефьева И. Г., Пирютко О. Н.

Тип: Сборник задач

Издательство: Народная асвета

Год издания: 2020 - 2026

Уровень обучения: базовый и повышенный

Цвет обложки: белый, голубой с графиком

Допущено Министерством образования Республики Беларусь

Популярные ГДЗ в 10 классе

Глава 3. Тригонометрия. Параграф 16. Формулы двойного аргумента - номер 16.13, страница 91.

№16.13 (с. 91)
Условие. №16.13 (с. 91)
скриншот условия
Алгебра, 10 класс Сборник задач, авторы: Арефьева Ирина Глебовна, Пирютко Ольга Николаевна, издательство Народная асвета, Минск, 2020, белого цвета, страница 91, номер 16.13, Условие

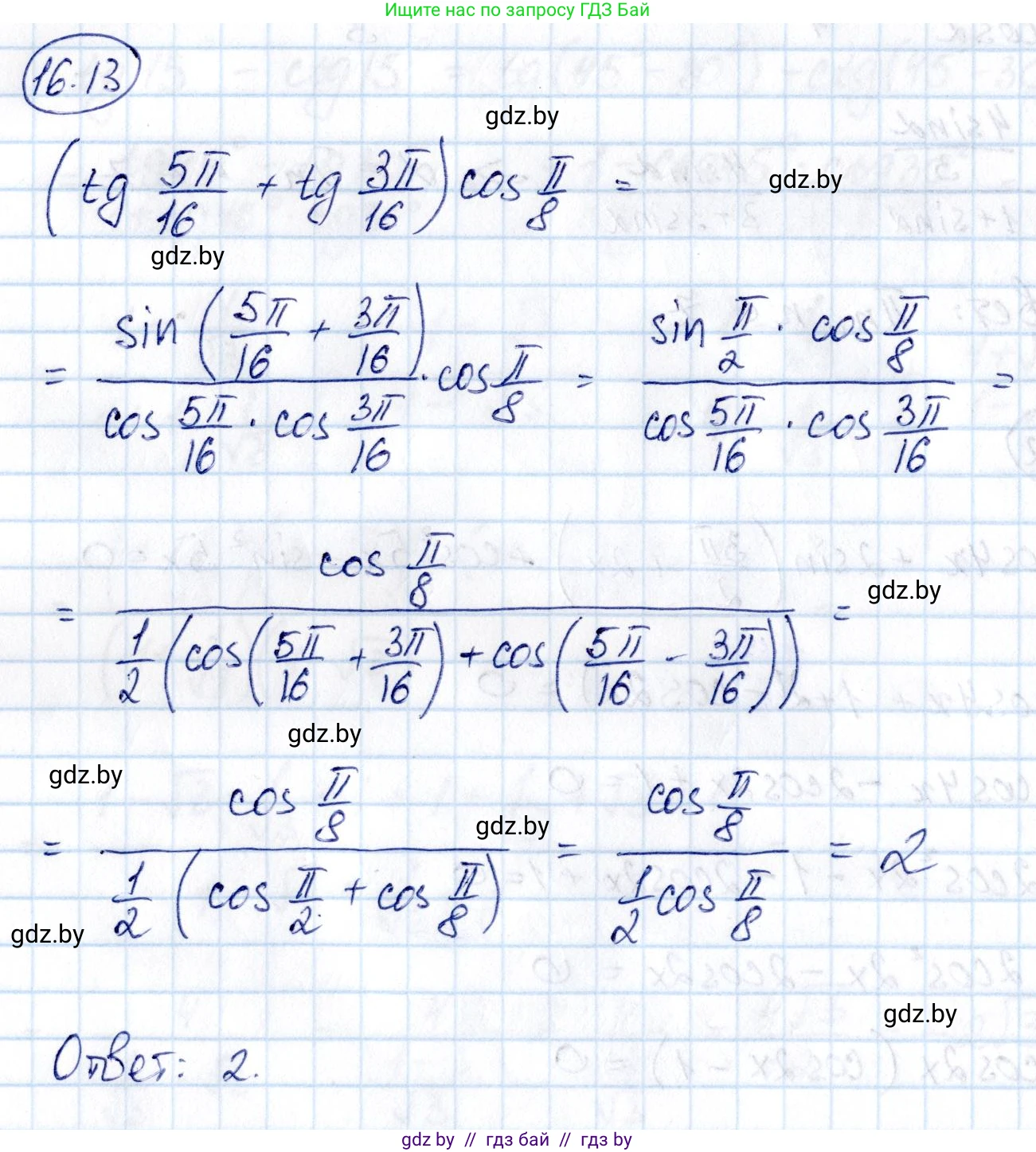
16.13. Найдите значение выражения $ (\mathrm{tg}\frac{5\pi}{16} + \mathrm{tg}\frac{3\pi}{16})\cos\frac{\pi}{8} $.

Решение. №16.13 (с. 91)
Алгебра, 10 класс Сборник задач, авторы: Арефьева Ирина Глебовна, Пирютко Ольга Николаевна, издательство Народная асвета, Минск, 2020, белого цвета, страница 91, номер 16.13, Решение
Решение 2. №16.13 (с. 91)

16.13. Для нахождения значения выражения $\left(\text{tg}\frac{5\pi}{16} + \text{tg}\frac{3\pi}{16}\right)\cos\frac{\pi}{8}$ выполним следующие преобразования.
Сначала воспользуемся определением тангенса $\text{tg}\alpha = \frac{\sin\alpha}{\cos\alpha}$ и заменим тангенсы в скобках:
$\left(\frac{\sin\frac{5\pi}{16}}{\cos\frac{5\pi}{16}} + \frac{\sin\frac{3\pi}{16}}{\cos\frac{3\pi}{16}}\right)\cos\frac{\pi}{8}$
Приведем дроби в скобках к общему знаменателю $\cos\frac{5\pi}{16}\cos\frac{3\pi}{16}$:
$\left(\frac{\sin\frac{5\pi}{16}\cos\frac{3\pi}{16} + \cos\frac{5\pi}{16}\sin\frac{3\pi}{16}}{\cos\frac{5\pi}{16}\cos\frac{3\pi}{16}}\right)\cos\frac{\pi}{8}$
Числитель дроби в скобках представляет собой формулу синуса суммы двух углов: $\sin(\alpha+\beta) = \sin\alpha\cos\beta + \cos\alpha\sin\beta$.
Применим эту формулу для $\alpha = \frac{5\pi}{16}$ и $\beta = \frac{3\pi}{16}$:
$\sin\left(\frac{5\pi}{16} + \frac{3\pi}{16}\right) = \sin\left(\frac{8\pi}{16}\right) = \sin\frac{\pi}{2} = 1$
После подстановки значения числителя выражение упрощается до:
$\frac{1}{\cos\frac{5\pi}{16}\cos\frac{3\pi}{16}} \cdot \cos\frac{\pi}{8} = \frac{\cos\frac{\pi}{8}}{\cos\frac{5\pi}{16}\cos\frac{3\pi}{16}}$
Теперь преобразуем знаменатель. Воспользуемся формулой произведения косинусов: $\cos\alpha\cos\beta = \frac{1}{2}(\cos(\alpha+\beta) + \cos(\alpha-\beta))$.
$\cos\frac{5\pi}{16}\cos\frac{3\pi}{16} = \frac{1}{2}\left(\cos\left(\frac{5\pi}{16}+\frac{3\pi}{16}\right) + \cos\left(\frac{5\pi}{16}-\frac{3\pi}{16}\right)\right)$
$\cos\frac{5\pi}{16}\cos\frac{3\pi}{16} = \frac{1}{2}\left(\cos\left(\frac{8\pi}{16}\right) + \cos\left(\frac{2\pi}{16}\right)\right) = \frac{1}{2}\left(\cos\frac{\pi}{2} + \cos\frac{\pi}{8}\right)$
Так как $\cos\frac{\pi}{2} = 0$, получаем:
$\cos\frac{5\pi}{16}\cos\frac{3\pi}{16} = \frac{1}{2}\left(0 + \cos\frac{\pi}{8}\right) = \frac{1}{2}\cos\frac{\pi}{8}$
Подставим полученное выражение для знаменателя в основную формулу:
$\frac{\cos\frac{\pi}{8}}{\frac{1}{2}\cos\frac{\pi}{8}}$
Сократив $\cos\frac{\pi}{8}$ в числителе и знаменателе, получим окончательный результат:
$\frac{1}{\frac{1}{2}} = 2$
Ответ: 2

Помогло решение? Оставьте отзыв в комментариях ниже.

Присоединяйтесь к Телеграм-группе @gdz_by_belarus

Присоединиться

Мы подготовили для вас ответ c подробным объяснением домашего задания по алгебре за 10 класс, для упражнения номер 16.13 расположенного на странице 91 к сборнику задач 2020 года издания для учащихся школ и гимназий.

Теперь на нашем сайте ГДЗ.ТОП вы всегда легко и бесплатно найдёте условие с правильным ответом на вопрос «Как решить ДЗ» и «Как сделать» задание по алгебре к упражнению №16.13 (с. 91), авторов: Арефьева (Ирина Глебовна), Пирютко (Ольга Николаевна), базовый и повышенный уровень обучения учебного пособия издательства Народная асвета.