Номер 22.19, страница 111 - гдз по алгебре 10 класс сборник задач Арефьева, Пирютко

Алгебра, 10 класс Сборник задач, авторы: Арефьева Ирина Глебовна, Пирютко Ольга Николаевна, издательство Народная асвета, Минск, 2020, белого цвета

Авторы: Арефьева И. Г., Пирютко О. Н.

Тип: Сборник задач

Издательство: Народная асвета

Год издания: 2020 - 2026

Уровень обучения: базовый и повышенный

Цвет обложки: белый, голубой с графиком

Допущено Министерством образования Республики Беларусь

Популярные ГДЗ в 10 классе

Глава 4. Корень n-й степени из числа. Параграф 22. Иррациональные уравнения - номер 22.19, страница 111.

№22.19 (с. 111)
Условие. №22.19 (с. 111)
скриншот условия
Алгебра, 10 класс Сборник задач, авторы: Арефьева Ирина Глебовна, Пирютко Ольга Николаевна, издательство Народная асвета, Минск, 2020, белого цвета, страница 111, номер 22.19, Условие

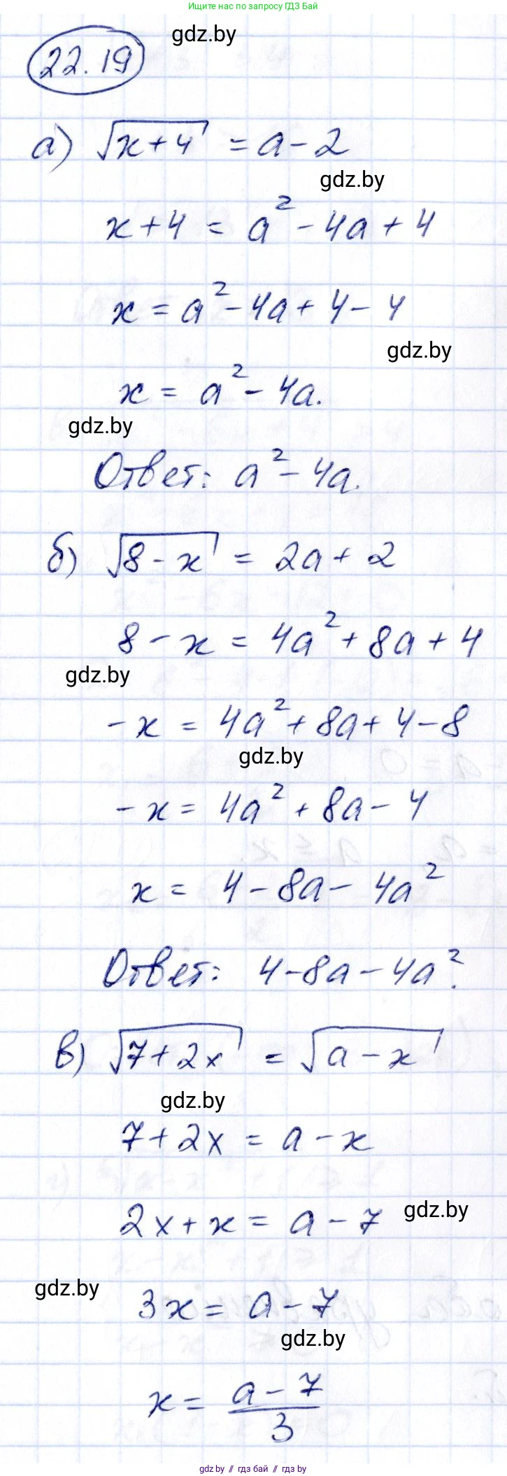
22.19. Решите уравнение относительно переменной $x$:

а) $\sqrt{x+4} = a-2;$

б) $\sqrt{8-x} = 2a+2;$

в) $\sqrt{7+2x} = \sqrt{a-x};$

г) $\sqrt{x-a} = \sqrt{4-x}.$

Решение. №22.19 (с. 111)
Алгебра, 10 класс Сборник задач, авторы: Арефьева Ирина Глебовна, Пирютко Ольга Николаевна, издательство Народная асвета, Минск, 2020, белого цвета, страница 111, номер 22.19, Решение Алгебра, 10 класс Сборник задач, авторы: Арефьева Ирина Глебовна, Пирютко Ольга Николаевна, издательство Народная асвета, Минск, 2020, белого цвета, страница 111, номер 22.19, Решение (продолжение 2)
Решение 2. №22.19 (с. 111)

а) Решим уравнение $ \sqrt{x+4} = a-2 $.

Область допустимых значений (ОДЗ) определяется двумя условиями. Во-первых, выражение под корнем должно быть неотрицательным: $ x+4 \ge 0 $, откуда $ x \ge -4 $. Во-вторых, значение квадратного корня неотрицательно, поэтому правая часть уравнения также должна быть неотрицательной: $ a-2 \ge 0 $, откуда $ a \ge 2 $.

Если условие $ a \ge 2 $ не выполняется, то есть при $ a < 2 $, уравнение не имеет решений, так как его левая часть неотрицательна, а правая — отрицательна.

При $ a \ge 2 $ возведем обе части уравнения в квадрат:

$ (\sqrt{x+4})^2 = (a-2)^2 $

$ x+4 = a^2 - 4a + 4 $

$ x = a^2 - 4a $

Проверим, выполняется ли для этого решения условие $ x \ge -4 $:

$ a^2 - 4a \ge -4 $

$ a^2 - 4a + 4 \ge 0 $

$ (a-2)^2 \ge 0 $

Это неравенство справедливо для всех действительных чисел $ a $, в том числе и для $ a \ge 2 $. Таким образом, найденное решение является корнем уравнения при заданных ограничениях на параметр $a$.

Ответ: при $ a \ge 2 $ $ x = a^2 - 4a $; при $ a < 2 $ решений нет.

б) Решим уравнение $ \sqrt{8-x} = 2a+2 $.

ОДЗ определяется условиями: $ 8-x \ge 0 $ и $ 2a+2 \ge 0 $. Из них следует, что $ x \le 8 $ и $ a \ge -1 $. Если условие $ a \ge -1 $ не выполняется, то есть при $ a < -1 $, уравнение не имеет решений.

При $ a \ge -1 $ возведем обе части уравнения в квадрат:

$ (\sqrt{8-x})^2 = (2a+2)^2 $

$ 8-x = 4a^2 + 8a + 4 $

$ x = 8 - (4a^2 + 8a + 4) $

$ x = -4a^2 - 8a + 4 $

Проверим, выполняется ли для этого решения условие $ x \le 8 $:

$ -4a^2 - 8a + 4 \le 8 $

$ -4a^2 - 8a - 4 \le 0 $

Разделим обе части на -4, изменив знак неравенства на противоположный:

$ a^2 + 2a + 1 \ge 0 $

$ (a+1)^2 \ge 0 $

Это неравенство справедливо для всех действительных $ a $, в том числе и для $ a \ge -1 $.

Ответ: при $ a \ge -1 $ $ x = -4a^2 - 8a + 4 $; при $ a < -1 $ решений нет.

в) Решим уравнение $ \sqrt{7+2x} = \sqrt{a-x} $.

ОДЗ определяется системой неравенств: $ 7+2x \ge 0 $ и $ a-x \ge 0 $. Отсюда получаем $ 2x \ge -7 \implies x \ge -\frac{7}{2} $ и $ x \le a $. Для существования решения необходимо, чтобы интервал $ [-\frac{7}{2}; a] $ был непустым, то есть должно выполняться условие $ a \ge -\frac{7}{2} $. Если $ a < -\frac{7}{2} $, то система ОДЗ не имеет решений, и, следовательно, уравнение тоже не имеет решений.

При $ a \ge -\frac{7}{2} $ возведем обе части уравнения в квадрат:

$ 7+2x = a-x $

$ 3x = a-7 $

$ x = \frac{a-7}{3} $

Проверим, принадлежит ли найденный корень $x$ отрезку ОДЗ $ [-\frac{7}{2}; a] $.

Проверка левой границы: $ x \ge -\frac{7}{2} \implies \frac{a-7}{3} \ge -\frac{7}{2} \implies 2(a-7) \ge -21 \implies 2a-14 \ge -21 \implies 2a \ge -7 \implies a \ge -\frac{7}{2} $.

Проверка правой границы: $ x \le a \implies \frac{a-7}{3} \le a \implies a-7 \le 3a \implies -7 \le 2a \implies a \ge -\frac{7}{2} $.

Оба условия сводятся к $ a \ge -\frac{7}{2} $, что совпадает с нашим первоначальным условием существования решения.

Ответ: при $ a \ge -\frac{7}{2} $ $ x = \frac{a-7}{3} $; при $ a < -\frac{7}{2} $ решений нет.

г) Решим уравнение $ \sqrt{x-a} = \sqrt{4-x} $.

ОДЗ определяется системой неравенств: $ x-a \ge 0 $ и $ 4-x \ge 0 $. Отсюда получаем $ x \ge a $ и $ x \le 4 $. Для существования решения необходимо, чтобы интервал $ [a; 4] $ был непустым, то есть должно выполняться условие $ a \le 4 $. Если $ a > 4 $, уравнение не имеет решений.

При $ a \le 4 $ возведем обе части уравнения в квадрат:

$ x-a = 4-x $

$ 2x = a+4 $

$ x = \frac{a+4}{2} $

Проверим, принадлежит ли найденный корень $x$ отрезку ОДЗ $ [a; 4] $.

Проверка левой границы: $ x \ge a \implies \frac{a+4}{2} \ge a \implies a+4 \ge 2a \implies 4 \ge a \implies a \le 4 $.

Проверка правой границы: $ x \le 4 \implies \frac{a+4}{2} \le 4 \implies a+4 \le 8 \implies a \le 4 $.

Оба условия сводятся к $ a \le 4 $, что совпадает с нашим первоначальным условием.

Ответ: при $ a \le 4 $ $ x = \frac{a+4}{2} $; при $ a > 4 $ решений нет.

Помогло решение? Оставьте отзыв в комментариях ниже.

Присоединяйтесь к Телеграм-группе @gdz_by_belarus

Присоединиться

Мы подготовили для вас ответ c подробным объяснением домашего задания по алгебре за 10 класс, для упражнения номер 22.19 расположенного на странице 111 к сборнику задач 2020 года издания для учащихся школ и гимназий.

Теперь на нашем сайте ГДЗ.ТОП вы всегда легко и бесплатно найдёте условие с правильным ответом на вопрос «Как решить ДЗ» и «Как сделать» задание по алгебре к упражнению №22.19 (с. 111), авторов: Арефьева (Ирина Глебовна), Пирютко (Ольга Николаевна), базовый и повышенный уровень обучения учебного пособия издательства Народная асвета.