Номер 27.7, страница 133 - гдз по алгебре 10 класс сборник задач Арефьева, Пирютко

Алгебра, 10 класс Сборник задач, авторы: Арефьева Ирина Глебовна, Пирютко Ольга Николаевна, издательство Народная асвета, Минск, 2020, белого цвета

Авторы: Арефьева И. Г., Пирютко О. Н.

Тип: Сборник задач

Издательство: Народная асвета

Год издания: 2020 - 2026

Уровень обучения: базовый и повышенный

Цвет обложки: белый, голубой с графиком

Допущено Министерством образования Республики Беларусь

Популярные ГДЗ в 10 классе

Глава 5. Производная. Параграф 27. Геометрический смысл производной. Связь между знаком производной функции и ее возрастанием или убыванием - номер 27.7, страница 133.

№27.7 (с. 133)
Условие. №27.7 (с. 133)
скриншот условия
Алгебра, 10 класс Сборник задач, авторы: Арефьева Ирина Глебовна, Пирютко Ольга Николаевна, издательство Народная асвета, Минск, 2020, белого цвета, страница 133, номер 27.7, Условие

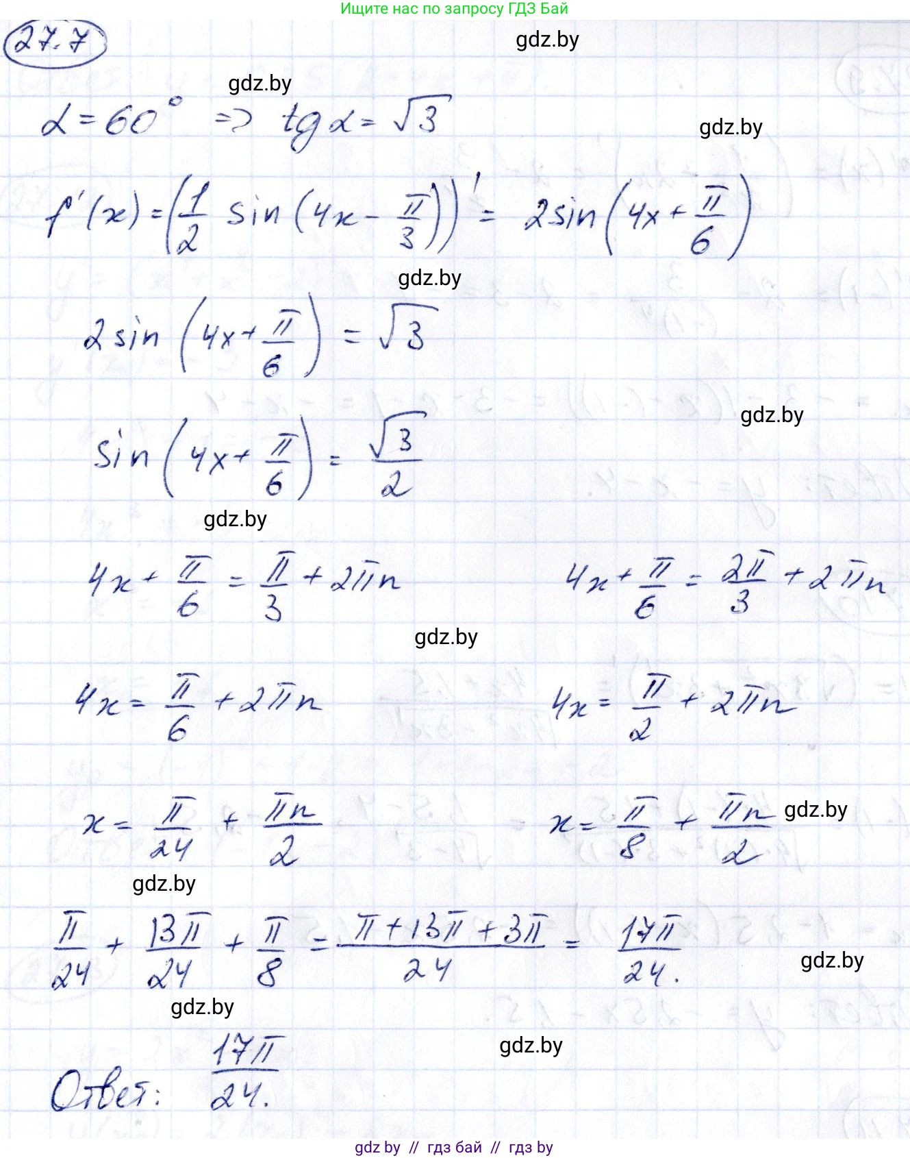
27.7. Найдите сумму абсцисс (из промежутка $[0; 0,6\pi]$) точек касания, в которых касательная к графику функции $f(x) = \frac{1}{2}\sin\left(4x - \frac{\pi}{3}\right)$ составляет с положительным направлением оси абсцисс угол $60^\circ$.

Решение. №27.7 (с. 133)
Алгебра, 10 класс Сборник задач, авторы: Арефьева Ирина Глебовна, Пирютко Ольга Николаевна, издательство Народная асвета, Минск, 2020, белого цвета, страница 133, номер 27.7, Решение
Решение 2. №27.7 (с. 133)

27.7. Геометрический смысл производной заключается в том, что значение производной функции $f'(x)$ в точке $x_0$ равно угловому коэффициенту $k$ касательной к графику функции в этой точке. Угловой коэффициент, в свою очередь, равен тангенсу угла $\alpha$, который касательная составляет с положительным направлением оси абсцисс.

По условию задачи, угол $\alpha = 60^\circ$. Найдем угловой коэффициент:
$k = \tan(\alpha) = \tan(60^\circ) = \sqrt{3}$.

Следовательно, нам необходимо найти значения $x$, для которых $f'(x) = \sqrt{3}$.

Найдем производную функции $f(x) = \frac{1}{2}\sin(4x - \frac{\pi}{3})$. Используем правило дифференцирования сложной функции:
$f'(x) = \left(\frac{1}{2}\sin\left(4x - \frac{\pi}{3}\right)\right)' = \frac{1}{2}\cos\left(4x - \frac{\pi}{3}\right) \cdot \left(4x - \frac{\pi}{3}\right)' = \frac{1}{2}\cos\left(4x - \frac{\pi}{3}\right) \cdot 4 = 2\cos\left(4x - \frac{\pi}{3}\right)$.

Теперь решим уравнение $f'(x) = \sqrt{3}$:
$2\cos\left(4x - \frac{\pi}{3}\right) = \sqrt{3}$
$\cos\left(4x - \frac{\pi}{3}\right) = \frac{\sqrt{3}}{2}$.

Общее решение этого тригонометрического уравнения:
$4x - \frac{\pi}{3} = \pm \arccos\left(\frac{\sqrt{3}}{2}\right) + 2\pi n$, где $n \in \mathbb{Z}$.
$4x - \frac{\pi}{3} = \pm \frac{\pi}{6} + 2\pi n$.

Это дает две серии решений для $x$:
1) $4x = \frac{\pi}{3} + \frac{\pi}{6} + 2\pi n = \frac{2\pi + \pi}{6} + 2\pi n = \frac{3\pi}{6} + 2\pi n = \frac{\pi}{2} + 2\pi n \implies x = \frac{\pi}{8} + \frac{\pi n}{2}$.
2) $4x = \frac{\pi}{3} - \frac{\pi}{6} + 2\pi n = \frac{2\pi - \pi}{6} + 2\pi n = \frac{\pi}{6} + 2\pi n \implies x = \frac{\pi}{24} + \frac{\pi n}{2}$.

Теперь необходимо выбрать те корни, которые принадлежат промежутку $[0; 0,6\pi]$, то есть $[0; \frac{3\pi}{5}]$.

Для первой серии $x = \frac{\pi}{8} + \frac{\pi n}{2}$:
- при $n=0$, $x_1 = \frac{\pi}{8}$. $0 \le \frac{\pi}{8} \le \frac{3\pi}{5}$ (верно, так как $\frac{1}{8} \le \frac{3}{5} \iff 5 \le 24$).
- при $n=1$, $x = \frac{\pi}{8} + \frac{\pi}{2} = \frac{5\pi}{8}$. Этот корень не подходит, так как $\frac{5}{8} > \frac{3}{5}$ ($25 > 24$).

Для второй серии $x = \frac{\pi}{24} + \frac{\pi n}{2}$:
- при $n=0$, $x_2 = \frac{\pi}{24}$. $0 \le \frac{\pi}{24} \le \frac{3\pi}{5}$ (верно, так как $\frac{1}{24} \le \frac{3}{5} \iff 5 \le 72$).
- при $n=1$, $x_3 = \frac{\pi}{24} + \frac{\pi}{2} = \frac{13\pi}{24}$. Проверим: $\frac{13}{24} \le \frac{3}{5} \iff 13 \cdot 5 \le 3 \cdot 24 \iff 65 \le 72$ (верно).
- при $n=2$, $x = \frac{\pi}{24} + \pi = \frac{25\pi}{24}$. Этот корень больше $\frac{3\pi}{5}$.

Мы нашли три абсциссы на заданном промежутке: $\frac{\pi}{8}$, $\frac{\pi}{24}$ и $\frac{13\pi}{24}$.

Найдем их сумму:
$S = \frac{\pi}{8} + \frac{\pi}{24} + \frac{13\pi}{24} = \frac{3\pi}{24} + \frac{\pi}{24} + \frac{13\pi}{24} = \frac{(3+1+13)\pi}{24} = \frac{17\pi}{24}$.
Ответ: $\frac{17\pi}{24}$.

Помогло решение? Оставьте отзыв в комментариях ниже.

Присоединяйтесь к Телеграм-группе @gdz_by_belarus

Присоединиться

Мы подготовили для вас ответ c подробным объяснением домашего задания по алгебре за 10 класс, для упражнения номер 27.7 расположенного на странице 133 к сборнику задач 2020 года издания для учащихся школ и гимназий.

Теперь на нашем сайте ГДЗ.ТОП вы всегда легко и бесплатно найдёте условие с правильным ответом на вопрос «Как решить ДЗ» и «Как сделать» задание по алгебре к упражнению №27.7 (с. 133), авторов: Арефьева (Ирина Глебовна), Пирютко (Ольга Николаевна), базовый и повышенный уровень обучения учебного пособия издательства Народная асвета.